Motivatsia_i_stimulirovanie_personala_KB _Vostochny (1194315), страница 6
Текст из файла (страница 6)
3. РЕЗУЛЬТАТЫ ИССЛЕДОВАНИЕ СИСТЕМЫ МОТИВАЦИИ ТРУДА
3.1. Рекомендации по совершенствованию системы мотивации и стимулирования.
Исходя из анализа работающего персонала , можно сделать вывод, что в настоящее время имеющаяся система мотивации не отвечает требованиям и желаниям работников, и тем самым требует пересмотрение.
Необходимо внедрить новую систему стимулирования и мотивации на основе предпочтений работников, а именно, как показал анализ персонала, это заработная плата а так же социальная поддержка( страхование, льготы и т.д.)
При разработке системы стимулирования рабочей мотивации персонала задаются следующие критерии:
Комплексность:
Деятельность человека побуждается целым комплексом причин (осознаваемых и неосознаваемых), находящихся в сложном переплетении, а зачастую в противоречии. Сумма векторов разнонаправленных тенденций в конечном счете определяет направленность активности. Для стимулирования труда очень важно создать баланс внешних и внутренних стимулов, сочетать материальные и «моральные» (духовные) стимулы к труду.
Определенность:
Система критериев, которые определяют характер стимулирования, должна быть однозначно сформулирована и понятна для всех сотрудников. Сотрудники должны четко понимать, какие их действия являются желательными для организации, какие терпимыми, а какие недопустимыми. Проще говоря, сотрудник должен ясно понимать, за что его в профессиональной деятельности будут поощрять, а за что наказывать, и какова может быть величина этих поощрений и наказаний.
Объективность:
Работник должен быть уверен в том, что его деятельность будет объективно оцениваться. Поощрение или взыскание должно носить персональный и конкретный характер. При этом очень важно, чтобы справедливым было не только наказание, но и поощрение, т.к. незаслуженное поощрение вредит делу еще больше, чем незаслуженное наказание. Поощряться должен каждый конкретный заслуживающий того работник: установлено, что если поощряется коллектив в целом, это носит меньший стимулирующий эффект.
«Неотвратимость» стимулирования:
Система стимулирования труда должна обеспечивать у сотрудников уверенность в том, что их «правильное» или «неправильное» поведение неизбежно приведет к поощрению или наказанию. Вместе с тем, эффективно работающий руководитель хорошо знает, что иногда лучше «не заметить» упущение в работе, чем никак не отреагировать на достижения.
Своевременность:
То, что является сегодня значимым для человека, завтра может потерять свою актуальность. О человеке, который долго ждал чего-то, а затем перестал ждать и смирился, говорят: «он пережил свои желания». Система стимулирования должна работать оперативно, подкрепляя успех или заставляя изменять «неправильное» поведение, с тем, чтобы сотрудник четче согласовывал свои действия с интересами организации.
В некоторых случаях список выделенных критериев может быть дополнен в ходе группового обсуждения с участием руководителей, если этого требует специфика подразделения, для которого вырабатывается система мотивации.
Следующим этапом в работе над совершенствованием системы стимулирования, а как следствие повышение уровня мотивации персонала, которая позволяла бы наращивать объемы услуг, явился переход к прямой увязке роста вознаграждения работника с ростом полученных им денежных средств за оказание услуги.
В основе довольно широко распространенных, особенно в непроизводственной сфере, систем стимулирования банковских работников лежит простой принцип: установление прямой зависимости между размером оплаты (премии), объемом оказанных услуг и конкурентоспособностью работников.
Существует множество разных методов, увязывающих оплату труда работников этой категории с результативностью их деятельности.
Известно, что оплата за труд является одним из важнейших стимулов для работников при реализации намеченных планов предприятия. В последнее время широкое распространение получили гибкие системы оплаты труда, основанные на участии работников в прибылях или доходах предприятия.
В данном дипломном проекте мы предлагаем внедрить на предприятии ПАО КБ «Восточный» систему оплаты труда, которая заключается в том, что в ней, по аналогии с гибкой системой оплаты труда, заработная плата работников будет состоять из двух частей: постоянной и переменной. Постоянная часть зарплаты представляет собой базовый оклад работника, который регламентируется запланированным фондом заработной платы, а переменная часть представляет собой доплату, размер которой зависит не только от результатов труда отдельного работника и его конкурентоспособности, но и от результатов труда коллектива, в котором он работает, и доли его участия в общих результатах коллектива. Отличительная особенность предлагаемой системы оплаты заключается в том, что она не только стимулирует труд самих работников, но и обеспечивает для руководства предприятия возможность оперативного управления и стабилизации необходимой эффективности труда работников при неконтролируемых изменениях доходов предприятия.
Известно, что применение гибких систем оплаты труда во многих коммерческих банках позволило значительно повысить производительность труда работников, что способствовало увеличению прибыли предприятия и, соответственно, заработной платы работников.
Ясно, что вклад каждого отдельного работника в получении доходов предприятия за каждый отчетный период времени будет различным. Поэтому одна из главных задач руководителей предприятий заключается в том, чтобы распределить как запланированный, так и дополнительный фонды оплаты труда между всеми работниками предприятия в соответствии с фактической эффективностью труда.
Отличительной особенностью гибких систем оплаты труда является то, что в качестве результирующей эффективности труда каждого работника в ней используется обобщенный коэффициент трудового участия каждого конкретного работника в полученной прибыли предприятии и его конкурентоспособность.
Дополнительные вознаграждения (премии) работники смогут получать только в том случае, если фактически производительность труда на предприятии будет выше, чем запланированная. В данном случае на предприятии образуется дополнительный фонд заработной платы, который может быть распределен между всеми коллективами предприятия в соответствии с эффективностью их работы. Далее дополнительный фонд заработной платы каждого коллектива может быть распределен между работниками данного коллектива в соответствии с эффективностью их труда.
В предлагаемой системе запланированный фонд заработной платы распределяется в коллективе в соответствии с должностными окладами работников. Премиальный фонд предприятия, который образуется в результате увеличения производительности труда, распределяется между коллективами и работниками вышеуказанного предприятия в соответствии с эффективностью труда каждого из них по нижеуказанной схеме (рис. 12).
Рисунок 12- Премиальный фонд банка.
Стимулирование сотрудников, повышая их уровень мотивации посредством гибкой системы оплаты и различных социальных льгот повлечет за собой увеличение производительности труда, поскольку доход работников будет поставлен в зависимость от эффективности их деятельности.
В результате внедрения данного мероприятия оплата труда работника в основном будет зависеть от результатов его непосредственной работы.
Помимо монетарных (денежных) способов вознаграждения необходимо предусмотреть и немонетарные способы вознаграждения (социальные блага, некоторые виды благ из пакета компенсаций, различного вида поощрений).
3.2. Расчет эффективности предлагаемых мероприятий
Анализ эффективности стимулирования труда можно провести с помощью анализа использования фонда заработной платы.
В процессе анализа следует установить соответствие между темпами роста средней заработной платы и производительностью труда. Для расширенного воспроизводства, получения необходимой прибыли и рентабельности важно, чтобы темпы роста производительности труда опережали темпы роста его оплаты. Несоблюдение этого принципа приводит к перерасходу фонда оплаты труда, росту себестоимости и, как следствие, к уменьшению суммы прибыли.
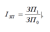
Изменение среднего заработка работающих характеризуется его индексом (IЗП), который определяется отношением средней зарплаты за отчетный период (ЗП1) к средней заработной плате предыдущего периода (ЗП0),по формуле:
Аналогичным образом исчисляется индекс изменения производительности труда (IПТ).
Рассчитаем индекс роста производительности труда и индекс роста заработной платы после совершенствования системы стимулирования персонала.
Данный расчет представим наглядно на рисунке 13.
Рисунок 13 – Соотношение темпов роста производительности труда и заработной платы .
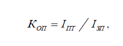
Приведенные данные свидетельствуют о том, что в ПАО КБ «Восточный»после проведения мероприятий по совершенствованию системы стимулирования темпы роста производительности труда стали опережать темпы роста оплаты труда. Коэффициент опережения (КОП) определяется по формуле:
Тогда, КОП= 1,22: 1,07=1,07.
Высокие темпы роста производительности труда по сравнению с темпами роста оплаты труда способствуют экономии фонда заработной платы, что приводит к снижению себестоимости продукции и увеличению прибыли.
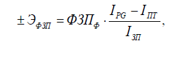
Для определения суммы экономии (-Э) фонда заработной платы в связи с изменением соотношений между темпами роста производительности труда и его оплаты можно использовать следующую формулу:
Эфзп=145942500*((1,29 – 1,32)/1,29)= -3394 тыс.р.
В данном случае более высокие темпы роста производительности труда по сравнению с темпами роста оплаты труда способствовали экономии фонда заработной платы в размере 3394 тыс.р.
Исходя из вышеприведенного анализа, можно сделать следующий вывод, что анализируемое предприятие ПАО КБ «Восточный» в основном успешно осуществляет свою деятельность. Поэтому стимулирование сотрудников, повышая их уровень мотивации посредством гибкой системы оплаты и различных социальных льгот повлечет за собой увеличение производительности труда, поскольку доход работников будет поставлен в зависимость от эффективности их деятельности.
В результате внедрения данного мероприятия оплата труда работника в основном будет зависеть от результатов его непосредственной работы.
ЗАКЛЮЧЕНИЕ
В дипломном проекте освещены теоретические аспекты мотивации и стимулирования персонала, рассмотрена характеристика ПАО КБ «Восточный» проведен анализ финансово-экономической деятельности предприятия, изучена мотивационная структура персонала, а также разработаны рекомендации по совершенствованию системы стимулирования, направленные на устранение недостатков, повышая уровень мотивации.
В первой главе дипломной работы установлена необходимость и значимость управления персоналом на предприятии, его цели и задачи. Описана теоретическая часть мотивации персонала.
Во второй главе изучается деятельность коммерческого банка «Восточный», дается его краткая характеристика, анализируется его финансовое положение.
Из анализа производительности можно сделать следующее заключение. С каждым годом растут потери рабочего времени, что влечет за собой снижение производительности труда. Темпы роста заработной платы опережают темпы роста производительности, что недопустимо и приводит к перерасходу фонда оплаты труда, росту себестоимости продукции и, как следствие, к уменьшению суммы прибыли.
Действующая в коммерческом банке система простой повременной оплаты отличается разнообразием, настроенностью на конечный результат и требуемое поведение работников банка. Сотрудники получают фиксированный оклад, величина которого зависит от умения работника «выбивать» себе повышение зарплаты, т.е. субъективного фактора, не связанного с результативностью труда. Поскольку предприятие имеет такую форму собственности, как частная, то здесь вознаграждения и социальная поддержка персонала практически не используется. Отсутствие ясных и понятных принципов в заработной политике, субъективизм и произвольность, все эти факторы привели к проблемам в кадровой политике предприятия.
В следствии проведенного исследования деятельности торгового предприятия мы пришли к пониманию того факта, что базисная проблема лежит в сфере мотивации и стимулирования работы сотрудников, и приняли решение провести реорганизацию системы стимулирования труда в ПАО КБ «Восточный», которая рассматривается в третьей главе дипломной работы.
Важнейшим условием достижения целей предприятия является заинтересованность всех категорий работников в высоком качестве труда.
Для изменения существующего на предприятии положения была применена технология разработки и оптимизации системы стимулирования, состоящая из следующих элементов: диагностика трудовой мотивации, и определение основных форм стимулирования.
Изучив мотивационные типы трудового коллектива ПАО КБ «Восточный» было сделано следующее заключение, что стимулирование сотрудников должно базироваться на материальных (денежных) и нематериальных формах стимулирования, при которых будет обеспечена максимальная отдача. Новая система стимулирования труда призвана создать новый мотивационный механизм трудовой активности персонала в коммерческом банке с целью повышения производительности труда.
















