FUL_VEN (1126172)
Текст из файла
ФУЛЬВЕНЫ, непредельные углеводороды, содержащие циклопентадиенильную группировку с экзоциклич. двойной связью. Могут быть представлены двумя резонансными структурами:
О вкладе структуры П свидетельствует наличие у фульвенов диполь-ного момента (для диалкил- и диарил-фульвены m = 4,7·10-30 Кл·м); вклад этой структуры возрастает при наличии у атома С-6 электронодонорных заместителей.
Фульвены- жидкие или твердые в-ва, глубоко окрашенные в цвета от желтого до пурпурного. Термически неустойчивы. По хим. св-вам близки к полиенам; они склонны к автоокислению, вступают в р-цию Дильса-Альдера (как диены и как диено-филы), присоединяют галогены, с O2 образуют пероксиды, легко полимеризуются.
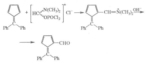
Фульвены способны к злектрофильному замещению, напр. 6,6-дифенил-фульвены формилируется в циклопентадиеновый цикл комплексом Вильсмейера (хлороксид фосфора в ДМФА):
Нуклеофильная атака на фульвены идет по экзоциклич. атому углерода (напр., присоединение литийорг. соед., гидридов металлов и др.):
фульвены протонируются, алкилируются, нитрозируются; образующиеся фульвениевые соли устойчивы лишь при -80оС и легко полимеризуются:
С дихлоркарбеном фульвены образуют 1,2-аддукты, к-рые перегруппировываются в производные бензола:
При действии на фульвены LiAlH4 восстанавливается экзоциклич. двойная связь. 6-Метилзамещенные фульвены вступают с альдегидами в конденсацию, подобную альдольной.
Получают фульвены конденсацией циклопентадиена с альдегидами и кетонами в присут. оснований. Для синтеза фульвенов, замещенных у атома С-6 на группу, содержащую гетероатом, используют иминиевые или карбоксониевые соли, напр.:
Незамещенный фульвены образуется с хорошим выходом при взаимод. хлор- или бромметилацетата с циклопентадиенил-натрием с послед, отщеплением уксусной к-ты:
Близки к фульвенам бициклич. сопряженные системы, циклы к-рых соединены экзоциклич. двойной связью: фульвалены (III), сесквифульвалены (IV) и колицины (V); III и IV синтезированы в виде их производных.
Известны также тетратиа- и тетраселенафульвалены, напр, ф-лы VI, используемые как компоненты ион-радикальных солей (см. Металлы органические).
Лит.: Керн фульвены, Сандберг Р., Углубленный курс органической химия, пер. с англ., кн. 1, M., 1981, с. 340-43; Lloyd D., в кн.: Studies in organic chemistry, v. 16, AmsL, 1984, p. 46-66. H. H. Магдесиева.
Характеристики
Тип файла документ
Документы такого типа открываются такими программами, как Microsoft Office Word на компьютерах Windows, Apple Pages на компьютерах Mac, Open Office - бесплатная альтернатива на различных платформах, в том числе Linux. Наиболее простым и современным решением будут Google документы, так как открываются онлайн без скачивания прямо в браузере на любой платформе. Существуют российские качественные аналоги, например от Яндекса.
Будьте внимательны на мобильных устройствах, так как там используются упрощённый функционал даже в официальном приложении от Microsoft, поэтому для просмотра скачивайте PDF-версию. А если нужно редактировать файл, то используйте оригинальный файл.
Файлы такого типа обычно разбиты на страницы, а текст может быть форматированным (жирный, курсив, выбор шрифта, таблицы и т.п.), а также в него можно добавлять изображения. Формат идеально подходит для рефератов, докладов и РПЗ курсовых проектов, которые необходимо распечатать. Кстати перед печатью также сохраняйте файл в PDF, так как принтер может начудить со шрифтами.
















