Экологический мониторинг (1094308), страница 6
Текст из файла (страница 6)
§2. Классические системы
В этих типах систем используют 2 способа получения информации о загрязнении воды:
1) организация сети датчиков по поверхности водоема
2) использование трубопроводных коммуникаций для доставки проб воды из требуемых точек к датчику
Блок-схема системы
Функционально система состоит:
1 – многоканальный анализатор, который позволяет определить до 17 параметров воды
2 – УСО – устройство сопряжения с объектом, включает микропроцессор, блок аналогово-цифровых и цифро-аналоговых преобразователей (АЦП, ЦАП), память большого объема, средства передачи/приема данных.
I – блок общего назначения, в котором собраны датчики: t, pH, , D (дозатор пробы)
II – ионно-метрический блок
III – фотометрический блок, в котором есть датчики определения коэффициента поглощения в УФ части спектра (Куф) и мутности.
ПНЧ – преобразователи «напряжениечастота»
Режимы работы системы:
-
штатный: режим измерений
-
штормовой: режим сигнализации о превышении концентрации вредных веществ
-
режим калибровки датчика
Станция может работать автономно в течение 20 дней.
В систему мониторинга больших водоемов входит до 20 станций.
§3. Геоинформационные системы
Это комплекс программных средств и аппаратного обеспечения (анализаторы, установленные на спутниках, самолетах, вертолетах, на очень высоких башнях, зданиях).
Основная идея: загрязненная поверхность воды различно отражает солнечное излучение или излучение от специальных источников (контраст).
Группы оптических методов:
1) Пассивные – регистрация отраженных солнечных лучей в широком спектре, ИК, УФ
Недостаток: возможность измерения только днем в ясную солнечную погоду
2) Активные – используются лазеры, их отраженное излучение
: 1) в любое время суток
2) возможно люминесцентное излучение (вторичное).
Точность 0,01%, 0,1%
Особенности программного обеспечения:
-
содержит шаблоны или модели незагрязненных участков, с которыми и сравнивается полученная «картинка»
-
широкая разрешающая способность
-
возможность 3D изображения в любом спектре
-
привязка координат
ГЛАВА 4. МОНИТОРИНГ ПОЧВ
Особенности: вещества, загрязняющие почву (тяжелые металлы) входят в состав почв
Параметры: тяжелые металлы, кислотность, содержание пестицидов и других ядохимикатов, циклические углеводороды.
Проводится 2 раза в год: 1) весной после таяния снегов в 64 точках по 16 румбам
2) осенью после уборки урожая в 16 точках по 4 румбам
Периодически: отбор проб снега и воды
Используются автоматизированные системы. Их производительность 2000 образцов в смену; количество параметров до 10 штук.
Структурная схема
I – блок подготовки исходных проб (образцов)
II – блок подготовки проб к измерениям
III – подсистема измерений
IV – подсистема отображения информации
1 – дозирование пробы
2 – разбавление пробы
3 – фильтрация пробы
4 – озоление пробы (сжигание)
5, 6 – дозирование реагента
7 – дозатор дистиллированной воды
8 – дозаторы реагента
9 – фотоколориметры
10 – устройство отображения и регистрации
Система полностью работизирована.
ГЛАВА 5. СИСТЕМЫ ДЕТЕКТИРОВАНИЯ УТЕЧЕК
-
из магистральных трубопроводов
-
из технологических трубопроводов
ШФЛУ (широкая фракция легких углеводородов)
Требования:
1) высокая скорость определения больших утечек
2) высокая надежность в статистическом смысле (большая вероятность) определения малых утечек
3) минимальное число ложных срабатываний
Физические явления и эффекты, происходящие при проявлении утечки:
-
выбросы газа (загазированность окружающего производства)
-
акустический эффект
-
изменение электропроводности грунта вблизи утечек
-
изменение цвета грунта, электромагнитного поля
§1. Периодический контроль утечек
- визуальный (с вертолетов)
- электронные «носы» (портативные ГА со встроенными устройствами отбора пробы)
- УЗ приборы
- тепловизионный контроль
- внутритрубные снаряды – устройства, которые двигаются по трубопроводу, требующие отключения линии, по которой они двигаются (стоимость ~1000000$).
В состав снаряда входит: видеокамеры, УЗ и вихретоковые дефектоскопы для определения состояния стен трубопровода, система питания, система передачи/приемы данных.
Недостатки периодического контроля:
а) очень высокая стоимость
б) ненадежность получаемой информации
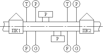
§2. Стационарный контроль за утечками из магистралей
Используются системы, которые устанавливаются на защищенных участках трубопровода, т.е. с обеих сторон установлены датчики контроля (Т, Р, F)
Р – резервуар для отбора и добавления продукта
Виды:
1) Системы, основанные на использовании объемного баланса Qоб >
Недостаток: невозможность учета температурных изменений трубопровода
2) Системы, основанные на определении массового баланса
G – устройство для измерения плотности
3) Комбинированные системы (1 и 2)
: высокая скорость обнаружения больших утечек
Недостаток: большое число ложных срабатываний, связанное с отбором/добавкой продуктов при транспортировке
4) Системы, основанные на использовании изменения волны давления (~70000$)
Основан на измерении разности давления от места утечки до двух датчиков D1 и D2, которые установлены на концах трубопровода.
: позволяет определить положение утечки с высокой точностью.
5) Системы, основанные на нестационарных моделях течения среды в трубопроводах
Все современные системы имеют интеллектуальные пороги сигнализации – Smart Points, они позволяют свести к минимуму ложные срабатывания.
При наличии утечки 1) F1; 2) P; 3) F2
6) Волоконно-оптические системы
Оптический кабель закладывается вместе с трубопроводом
7) Вдоль трубопровода проложен кабель из металла со специальной изоляцией, которая химически разрушается при утечке продукта
8) Сеть УЗ датчиков, установленных на поверхности трубопровода с определенным интервалом.
Недостаток: очень дорого
9) Тепловизионная система контроля водных переходов
Устанавливаются в местности, где нет мошкары, чтобы не забивали оптику.















