Simulink (1087389), страница 9
Текст из файла (страница 9)
где
x – вектор состояния,
u – вектор входных воздействий,
y – вектор выходных сигналов,
A, B, C, D - матрицы: системы, входа, выхода и обхода, соответственно,
n – номер шага моделирования.
Размерность матриц показана на рис. 9.4.9 (n – количество переменных состояния, m – число входных сигналов, r – число выходных сигналов).
Рис. 9.4.9. Размерность матриц блока Discrete State-Space
Параметры:
-
A –Матрица системы.
-
B – Матрица входа.
-
C – Матрица выхода
-
D – Матрица обхода
-
Initial condition – Вектор начальных условий.
-
Sample time — Шаг дискретизации по времени.
На рис. 9.4.10 показан пример моделирования динамического объекта с помощью блока Discrete State-Space. Матрицы блока имеют следующие значения:
Рис. 9.4.10. Пример использования блока Discrete State-Space.
9.5. Nonlinear - нелинейные блоки
9.5.1. Блок ограничения Saturation
Назначение:
Выполняет ограничение величины сигнала.
Параметры:
-
Upper limit - Верхний порог ограничения.
-
Lower limit - Нижний порог ограничения.
-
Treat as gain when linearizing (флажок) - Трактовать как усилитель с коэффициентом передачи равным 1 при линеаризации.
Выходной сигнал блока равен входному если его величина не выходит за порог ограничения. По достижении входным сигналом уровня ограничения выходной сигнал блока перестает изменяться и остается равным порогу. На рис. 9.5.1 показан пример использования блока для ограничения синусоидального сигнала. На рисунке приводятся временные диаграммы сигналов и зависимость выходного сигнала блока от входного.
Рис. 9.5.1. Пример использования блока Saturation
9.5.2. Блок с зоной нечувствительности Dead Zone
Назначение:
Реализует нелинейную зависимость типа "зона нечувствительности (мертвая зона)".
Параметры:
-
Start of dead zone - Начало зоны нечувствительности (нижний порог).
-
End of dead zone - Конец зоны нечувствительности (верхний порог).
-
Saturate on integer overflow (флажок) - Подавлять переполнение целого. При установленном флажке ограничение сигналов целого типа выполняется корректно.
-
Treat as gain when linearizing (флажок) - Трактовать как усилитель с коэффициентом передачи равным 1 при линеаризации.
Выходной сигнал блока вычисляется в соответствии со следующим алгоритмом:
-
Если величина входного сигнала находится в пределах зоны нечувствительности, то выходной сигнал блока равен нулю.
-
Если входной сигнал больше или равен верхнему входному порогу зоны нечувствительности, то выходной сигнал равен входному минус величина порога.
-
Если входной сигнал меньше или равен нижнему входному порогу зоны нечувствительности, то выходной сигнал равен входному минус величина порога.
На рис. 9.5.2 показан пример использования блока Dead Zone
Рис. 9.5.2. Пример использования блока Dead Zone
9.5.3. Релейный блок Relay
Назначение:
Реализует релейную нелинейность.
Параметры:
-
Switch on point - Порог включения. Значение, при котором происходит включение реле.
-
Switch off point - Порог выключения. Значение, при котором происходит выключение реле.
-
Output when on - Величина выходного сигнала во включенном состоянии.
-
Output when off - Величина выходного сигнала в выключенном состоянии.
Выходной сигнал блока может принимать два значения. Одно из них соответствует включенному состоянию реле, второе - выключенному. Переход их одного состояния в другое происходит скачком при достижении входным сигналом порога включения или выключения реле. В том случае если пороги включения и выключения реле имеют разные значения, то блок реализует релейную характеристику с гистерезисом. При этом значение порога включения должно быть больше, чем значение порога выключения.
На рис. 9.5.3 показан пример использования блока Relay. На временных диаграммах видно, что включение реле происходит при достижении входным сигналом величины 0.5, а выключение при - 0.5.
Рис. 9.5.3. Пример использования блока Relay
9.5.4. Блок ограничения скорости изменения сигнала Rate Limiter
Назначение:
Блок обеспечивает ограничение скорости изменения сигнала (первой производной).
Параметры:
-
Rising slew rate - Уровень ограничения скорости при увеличении сигнала.
-
Falling slew rate - Уровень ограничения скорости при уменьшении сигнала.
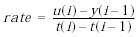
Вычисление производной сигнала выполняется по выражению:
,
где u(i) - значение входного сигнала на текущем шаге,
t(i) - значение модельного времени на текущем шаге,
y(i-1) - значение выходного сигнала на предыдущем шаге,
t(i-1) - значение модельного времени на предыдущем шаге.
Вычисленное значение производной сравнивается со значениями уровней ограничения скорости Rising slew rate и Falling slew rate. Если значение производной больше, чем значение параметра Rising slew rate, то выходной сигнал блока вычисляется по выражению:
,
где R - уровень ограничения скорости при увеличении сигнала.
Если значение производной меньше, чем значение параметра Falling slew rate, то выходной сигнал блока вычисляется по выражению:
,
где F - уровень ограничения скорости при уменьшении сигнала.
Если значение производной лежит в пределах между нижним и верхним уровнями ограничения, то выходной сигнал блока равен входному:
.
На рис. 9.5.4 показан пример использования блока Rate Limiter, при подаче на его вход прямоугольного периодического сигнала.
Рис. 9.5.4. Пример использования блока Rate Limiter
9.5.5. Блок квантования по уровню Quantizer
Назначение:
Блок обеспечивает квантование входного сигнала с одинаковым шагом по уровню.
Параметры:
Quantization interval - шаг квантования по уровню.
На рис. 9.5.5 показан пример использования блока Quantizer, выполняющего квантование по уровню синусоидального сигнала. Шаг квантования задан равным 0.5.
Рис. 9.5.5. Пример использования блока Quantizer
9.5.6. Блок сухого и вязкого трения Coulomb and Viscous Friction
Назначение:
Моделирует эффекты сухого и вязкого трения.
Параметры:
-
Coulomb friction value (Offset)– Величина сухого трения.
-
Coefficient of viscous friction (Gain) – Коэффициент вязкого трения.
Блок реализует нелинейную характеристику, соответствующую выражению:
,
где u – входной сигнал,
y – выходной сигнал,
Gain – коэффициент вязкого трения ,
Offset – Величина сухого трения.
На рис. 9.5.6 показан пример использования блока Coulomb and Viscous Friction. Оба параметра блока заданы равными 1.
Рис. 9.5.6. Пример использования блока Coulomb and Viscous Friction
9.5.7. Блок люфта Backlash
Назначение:
Моделирует нелинейность типа “люфт”.
Параметры:
-
Deaband width – Ширина люфта.
-
Initial output – Начальное значение выходного сигнала.
Сигнал на выходе будет равен заданному значению Initial output, пока входной сигнал при возрастании не достигнет значения (Deaband width)/2 (где U – входной сигнал), после чего выходной сигнал будет равен U-(Deaband width)/2. После того как, произойдет смена направления изменения входного сигнала, он будет оставаться неизменным, пока входной сигнал не изменится на величину (Deaband width)/2, после чего выходной сигнал будет равен U+(Deaband width)/2.
На рис. 9.5.7 показан пример работы блока Backlash. Входной сигнал блока гармонический с линейно возрастающей амплитудой.
Рис. 9.5.7. Пример использования блока Backlash
9.5.8. Блок переключателя Switch
Назначение:
Выполняет переключение входных сигналов по сигналу управления.
Параметры:
Threshold – Порог управляющего сигнала.
Блок работает следующим образом:
Если сигнал управления, подаваемый на средний вход меньше, чем величина порогового значения Threshold, то на выход блока проходит сигнал с первого (верхнего) входа. Если сигнал управления превысит пороговое значение, то на выход блока будет поступать сигнал со второго (нижнего) входа.
На рис. 9.5.8 показан пример работы блока Switch. В том случае, когда сигнал на управляющем входе ключа равен 1, на выход блока проходит гармонический сигнал, если же управляющий сигнал равен нулю, то на выход проходит сигнал нулевого уровня от блока Ground. Пороговое значение управляющего сигнала задано равным 0.5.
Рис. 9.5.8. Применение переключателя Switch
9.5.9. Блок многовходового переключателя Multiport Switch
Назначение:
Выполняет переключение входных сигналов по сигналу управления, задающему номер активного входного порта.
Параметры:
Number of inputs – Количество входов.
Блок многовходового переключателя Multiport Switch, пропускает на выход сигнал с того входного порта, номер которого равен текущему значению управляющего сигнала. Если управляющий сигнал не является сигналом целого типа, то блок Multiport Switch производит отбрасывание дробной части числа, при этом в командном окне Matlab появляется предупреждающее сообщение.
На рис. 9.5.9 показан пример работы блока Multiport Switch. Управляющий сигнал переключателя имеет три уровня и формируется с помощью блоков Constant, Step, Step1 и Sum. На выход блока Multiport Switch, в зависимости от уровня входного сигнала, проходят гармонические сигналы, имеющие разные частоты.
Количество входов блока Multiport Switch можно задать равным 1. В этом случае на вход блока необходимо подать векторный сигнал, а сам блок будет пропускать на выход тот элемент вектора, номер которого совпадает с уровнем управляющего сигнала.
На рис. 9.5.10 показан пример использования блока Multiport Switch при векторном сигнале. Временные диаграммы работы для данного примера совпадают с рассмотренными в предыдущем примере.
Рис. 9.5.9. Применение переключателя Multiport Switch.
Рис. 9.5.10. Применение переключателя Multiport Switch при векторном входном сигнале.
9.5.10. Блок ручного переключателя Manual Switch
Назначение:
Выполняет переключение входных сигналов по команде пользователя.
Параметры:
Нет.
Командой на переключение является двойной щелчок левой клавишей “мыши” на изображении блока. При этом изображение блока изменяется, показывая, какой входной сигнал в данный момент проходит на выход блока. Переключение блока можно выполнять как до начала моделирования, так и в процессе расчета.
На рис. 9.5.11 показан пример использования блока Manual Switch.
















