Simulink (1087389), страница 7
Текст из файла (страница 7)
Выходной порт в системе верхнего уровня используется в двух случаях:
-
Для передачи сигнала в рабочее пространство MATLAB.
-
Для обеспечения связи функций анализа с выходами модели.
Для передачи сигнала в рабочее пространство MATLAB требуется не только установить в модели выходные порты, но и выполнить установку параметров вывода на вкладке Workspace I/O окна диалога Simulation parameters… (должен быть установлен флажок для параметра Output и задано имя переменной для сохранения данных). Тип сохраняемых данных - Array массив, Structure (структура) или Structure with time (структура с полем “время”) задается на этой же вкладке.
Блок Outport может использоваться также для связи модели с функциями анализа, например: linmod или trim.
9.3. Continuous – аналоговые блоки
9.3.1. Блок вычисления производной Derivative
Назначение:
Выполняет численное дифференцирование входного сигнала.
Параметры:
Нет.
Значение входного сигнала блока до начала расчета считается равным нулю. Начальное значение выходного сигнала также полагается равным нулю.
Точность вычисления производной существенно зависит от величины установленного шага расчета. Выбор меньшего шага расчета улучшает точность вычисления производной.
На рис. 9.3.1 показан пример использования дифференцирующего блока для вычисления производной прямоугольного сигнала. В рассматриваемом примере, для повышения наглядности, шаг расчета выбран достаточно большим.
Рис.9.3.1. Использование блока Derivative для дифференцирования сигнала.
Данный блок используется для дифференцирования аналоговых сигналов. При дифференцировании дискретного сигнала с помощью блока Derivative его выходной сигнал будет представлять собой последовательность импульсов соответствующих моментам времени скачкообразного изменения дискретного сигнала.
9.3.2. Интегрирующий блок lntegrator
Назначение:
Выполняет интегрирование входного сигнала.
Параметры:
-
External reset – Внешний сброс. Тип внешнего управляющего сигнала, обеспечивающего сброс интегратора к начальному состоянию. Выбирается из списка:
-
none – нет (сброс не выполняется),
-
rising - нарастающий сигнал (передний фронт сигнала),
-
falling - спадающий сигнал (задний фронт сигнала),
-
either – нарастающий либо спадающий сигнал,
-
level – не нулевой сигнал (сброс выполняется если сигнал на управляющем входе становится не равным нулю);
В том случае, если выбран какой-либо (но не none), тип управляющего сигнала, то на изображении блока появляется дополнительный управляющий вход. Рядом с дополнительным входом будет показано условное обозначение управляющего сигнала.
-
Initial condition source — Источник начального значения выходного сигнала. Выбирается из списка:
-
internal – внутренний
-
external – внешний. В этом случае на изображении блока появляется дополнительный вход, обозначенный x0, на который необходимо подать сигнал задающий начальное значение выходного сигнала интегратора.
-
-
Initial condition — Начальное условие. Установка начального значения выходного сигнала интегратора. Параметр доступен, если выбран внутренний источник начального значения выходного сигнала.
-
Limit output (флажок) — Использование ограничения выходного сигнала.
-
Upper saturation limit — Верхний уровень ограничения выходного сигнала. Может быть задан как числом, так и символьной последовательностью inf, то есть +
. -
Lower saturation limit — Нижний уровень ограничения выходного сигнала. Может быть задан как числом, так и символьной последовательностью inf, то есть -
. -
Show saturation port — управляет отображением порта, выводящего сигнал, свидетельствующий о выходе интегратора на ограничение. Выходной сигнал данного порта может принимать следующие значения:
-
Ноль, если интегратор не находится на ограничении.
-
+1, если выходной сигнал интегратора достиг верхнего ограничивающего предела.
-
-1, если выходной сигнал интегратора достиг нижнего ограничивающего предела.
-
Show state port (флажок) — Отобразить/скрыть порт состояния блока. Данный порт используется в том случае, если выходной сигнал интегратора требуется подать в качестве сигнала обратной связи этого же интегратора. На пример, при установке начальных условий через внешний порт или при сбросе интегратора через порт сброса. Выходной сигнал с этого порта может использоваться также для организации взаимодействия с управляемой подсистемой.
-
Absolute tolerance — Абсолютная погрешность.
На рис. 9.3.2 показан пример работы интегратора при подаче на его вход ступенчатого сигнала. Начальное условие принято равным нулю.
Рис. 9.3.2. Интегрирование ступенчатого сигнала.
Пример на рис. 9.3.3 отличается от предыдущего подачей начального значения через внешний порт. Начальное значение выходного сигнала в данном примере задано равным –10.
Пример на рис. 9.3.4 демонстрирует использование входного порта для сброса выходного сигнала и порта состояния интегратора с целью организации обратной связи. Схема работает следующим образом: входной постоянный сигнал преобразуется интегратором в линейно-изменяющийся, по достижении выходным сигналом значения равного 1 блок Relational Operator вырабатывает логический сигнал, по переднему фронту которого происходит сброс выходного сигнала интегратора до начального значения равного нулю. В результате на выходе интегратора формируется пилообразный сигнал, изменяющийся от 0 до +1.
Рис. 9.3.3. Интегрирование ступенчатого сигнала с установкой начального значения выходного сигнала.
Рис. 9.3.4. Генератор пилообразного сигнала на основе интегратора.
Следующая схема (рис. 9.3.5) использует установку начального значения интегратора с помощью его выходного сигнала. В первый момент времени начальное значение выходного сигнала интегратора с помощью блока IC (Initial Condition) устанавливается равным нулю. По достижении выходным сигналом значения равного 1 блок Relational Operator подает сигнал сброса выходного сигнала интегратора на начальный уровень, при этом сигналом, задающим начальный уровень, оказывается инвертированный выходной сигнал интегратора (т.е. -1). Далее цикл работы схемы повторяется. В отличие от предыдущей схемы выходным сигналом генератора является двуполярный сигнал.
Рис. 9.3.5. Генератор двуполярного пилообразного сигнала
на основе интегратора.
9.3.3. Блок Memory
Назначение:
Выполняет задержку входного сигнала на один временной такт.
Параметры:
-
Initial condition – начальное значение выходного сигнала.
-
Inherit sample time (флажок) – Наследовать шаг модельного времени. Если этот флажок установлен, то блок Memory использует шаг модельного времени (Sample time) такой же, как и в предшествующем блоке.
На рис. 9.3.6 показан пример использования блока Memory для задержки дискретного сигнала на один временной такт.
Рис. 9.3.6. Применение блока для задержки сигнала на один временной такт
9.3.4. Блок фиксированной задержки сигнала Transport Delay
Назначение:
Обеспечивает задержку входного сигнала на заданное время.
Параметры:
-
Time Delay — Время задержки сигнала (не отрицательное значение).
-
Initial input — Начальное значение выходного сигнала.
-
Buffer size — Размер памяти, выделяемой для хранения задержанного сигнала. Задается в байтах числом, кратным 8 (по умолчанию 1024).
-
Pade order (for linearization) — Порядок ряда Паде, используемого при аппроксимации выходного сигнала. Задается целым положительным числом.
При выполнении моделирования значение сигнала и соответствующее ему модельное время сохраняются во внутреннем буфере блока Transport Delay. По истечении времени задержки значение сигнала, извлекается из буфера и передается на выход блока. В том случае, если шаги модельного времени не совпадают со значениями моментов времени для записанного в буфер сигнала, блок Transport Delay выполняет аппроксимацию выходного сигнала.
В том случае, если начального значения объема памяти буфера не хватит для хранения задержанного сигнала, Simulink автоматически выделит дополнительную память. После завершения моделирования в командном окне MATLAB появится сообщение с указанием нужного размера буфера.
На рис. 9.3.7 показан пример использования блока Transport Delay для задержки прямоугольного сигнала на 0.5 с.
Рис. 9.3.7. Пример использования блока Transport Delay для задержки сигнала.
Рис. 9.3.8. Пример использования блока Variable Transport Delay.
9.3.5. Блок управляемой задержки сигнала Variable Transport Delay
Назначение:
Выполняет задержку входного сигнала, заданную величиной сигнала управления.
Параметры:
-
Maximum delay — Максимальное значение времени задержки сигнала (не отрицательное значение).
-
Initial input — Начальное значение выходного сигнала.
-
Buffer size — Размер памяти, выделяемой для хранения задержанного сигнала. Задается в байтах числом, кратным 8 (по умолчанию 1024).
-
Pade order (for linearization) — Порядок ряда Паде, используемого при аппроксимации выходного сигнала. Задается целым положительным числом.
Блок управляемой задержки Variable Transport Delay работает аналогично блоку постоянной задержки сигнала Transport Delay.
В том случае, если значение управляющего сигнала задающего величину задержки превышает значение, заданное параметром Maximum delay, то задержка выполняется на величину Maximum delay.
На рис. 9.3.8 показан пример использования блока Variable Transport Delay. Величина времени задержки сигнала изменяется от 0.5c до 1с в момент времени равный 5с.
9.3.6. Блок передаточной функции Transfer Fcn
Назначение:
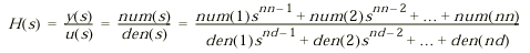
Блок передаточной характеристики Transfer Fcn задает передаточную функцию в виде отношения полиномов:
,
где
nn и nd – порядок числителя и знаменателя передаточной функции,
num – вектор или матрица коэффициентов числителя,
den – вектор коэффициентов знаменателя.
Параметры:
-
Numerator — вектор или матрица коэффициентов полинома числителя
-
Denominator -вектор коэффициентов полинома знаменателя
-
Absolute tolerance — Абсолютная погрешность.
Порядок числителя не должен превышать порядок знаменателя.
Входной сигнал блока должен быть скалярным. В том случае, если коэффициенты числителя заданы вектором, то выходной сигнал блока будет также скалярным (как и входной сигнал). На рис. 9.3.8 показан пример моделирования колебательного звена с помощью блока Transfer Fcn.
Если коэффициенты числителя заданы матрицей, то блок Transfer Fcn моделирует векторную передаточную функцию, которую можно интерпретировать как несколько передаточных функций имеющих одинаковые полиномы знаменателя, но разные полиномы числителя. При этом выходной сигнал блока является векторным и количество строк матрицы числителя задает размерность выходного сигнала.
Рис. 9.3.8. Пример моделирования колебательного звена.
















