2.6.4. Конспект (1086565)
Текст из файла
11
2.6.4. Вероятностный метод планирования ИП (Основы СПУ)
Основные термины и определения
Графом называется множество точек (вершин) {P0, P1, ..., Pn} и множество ориентированных дуг {(Pi, Pj)}, соединяющих некоторые пары этих точек; при этом дуга (Pi, Pj) имеет начало в Pi и конец в Pj. На схеме дугу (Pi, Pj) обозначают в виде направленного отрезка.
Сетевой график (стрелочная диаграмма, сетевая модель, логическая сеть) - наглядное изображение проекта в виде графа, отображающее технологическую взаимосвязь между работами.
Работами называются любые процессы, действия, приводящие к достижению определённых результатов (событий). Работа - это трудовой процесс.
Событиями называются результаты произведённых работ, или они показывают факт получения работы. Событие не является процессом, не имеет продолжительности во времени, оно “свершается”.
Три вида работы:
а) действительная работа - процесс, требующий затрат времени и ресурсов (энергетических, трудовых, финансовых и т.п.).
б) ожидание - работа, которая требует затрат времени, но не требует ресурсов.
в) фиктивная работа - не требует ни затрат времени, ни ресурсов. Показывает логическую связь между отдельными работами, т.е. зависимость начала одной или нескольких работ от других.
Кодировка событий:
i - начальное событие;
j - конечное событие;
I - исходное событие;
C - завершающее событие.
Правила построения сетевой модели
1. Ни одно событие не может произойти до тех пор, пока не будут закончены все входящие в него работы.
2. Ни одна работа, выходящая из данного события, не может начаться до тех пор, пока не произойдет данное событие
3. Ни одна последующая работа не может начаться раньше, чем будут закончены все предшествующие ей работы.
-
Все работы в сетевом графике должны быть простыми (т.е. только выполнение всей работы может повлечь за собой начало выполнения следующих работ).
-
В сети не должно быть замкнутых контуров, «хвостов» и тупиков.
Параметры сетевой модели
К основным параметрам сетевого графика относятся: критический путь, резервы времени событий и резервы времени работ.
Любая последовательность работ в сетевом графике, в которой конечное событие одной работы совпадает с начальным событием следующей за ней работы, называется путём.
Различают следующие пути:
-
Полный путь – от исходного события до завершающего (I-С).
-
Путь, предшествующий данному событию, – от исходного до данного (I-i(j)).
-
Путь, последующий за данным событием, – от данного события до завершающего (i(j)-C).
-
Путь между событиями i и j – между двумя какими-либо промежуточными событиями (i-j). Продолжительность работы i-j равна tij.
-
Критический путь – между исходным и завершающим событием, имеющий наибольшую продолжительность (полный путь с максимальной длительностью) (I-C)max.
Резерв времени события - это такой промежуток времени, на который может быть отсрочено свершение этого события без нарушения сроков завершения разработки/проекта в целом:
Ri = Tпi – Tpi.
где Тпi - наиболее поздний из допустимых сроков свершения события; это такой срок свершения события, превышение которого вызовет аналогичную задержку наступления завершающего события;
Тpi - наиболее ранний из возможных сроков свершения события; срок, необходимый для выполнения всех работ, предшествующих данному событию.
Правило определения Тр и Тп для любого события цепи: ранний срок Тр и поздний срок Тп свершения события определяется по максимальному из путей, проходящих через данное событие, причем Тр равно продолжительности максимального из предшествующих данному событию путей, а Тп является разностью между продолжительностями критического пути и максимального из последующих за данным событием путей, т.е.:
Tpi = t [L (Ii)max],
Tпi = t [Lкр] – t [L (iC)max].
| Ранний срок начала i-j работы: | Tпнij = Tрi. |
| Поздний срок начала i-j работы: | Tпнij = Tпj - tij. |
| Ранний срок окончания i-j работы: | Tроij = Tрi + tij. |
| Поздний срок окончания i-j работы: | Tпоij = Tпj. |
| Резерв события: | Ri = Tпi - Tрi |
| Резерв пути: | RL = t(Lкр) - t(Li); здесь t(Li) - длительность данного пути |
Полный резерв - максимальное количество времени, на которое можно увеличить продолжительность данной работы, не изменяя при этом продолжительности критического пути: Rпij = Tпj - Tрi - tij.
Свободный резерв - максимальное количество времени, на которое можно увеличивать продолжительность данной работы, не изменяя при этом ранних сроков начала последующих за ней работ: Rсij = Tрj - Tрi - tij.
Независимый резерв - максимальное количество времени, на которое можно увеличить продолжительность данной работы, при условии, что все предшествующие работы имеют поздний срок окончания, не изменяя при этом ранних сроков начала последующих за ней работ: Rнij = Tрj - Tпi - tij.
Структура системы СПУ
Жизненный цикл системы СПУ состоит из следующих стадий:
1. Предпроектная стадия, на которой оценивается целесообразность применения системы в данном конкретном случае; определяются цели ее использования; устанавливаются важнейшие ограничения, связанные со сроками, финансированием и использованием ресурсов; в заключение разрабатывается техническое задание на проектирование;
2. Проектирование системы – разработка технического и рабочего проектов, включающих следующие основные разделы: сетевые модели и математическое обеспечение, информационное обеспечение и функциональные процедуры, организационно-экономическое и техническое обеспечение, технико-экономическая эффективность; назначение руководителей и ответственных исполнителей, утверждение норм ответственности и принципов стимулирования и т. д.
3. Функционирование системы в режиме исходного планирования – предоставление исходной информации по работам, закрепление за каждым ответственным исполнителем, «сшивание», анализ и оптимизация моделей различных уровней и формирование календарных планов;
4. Функционирование системы в режиме оперативного управления – сравнение фактического состояния комплексов работ с принятым планом, оценка отклонений, корректировка и анализ сетевых моделей на всех уровнях руководства, доведение до исполнителей оперативно-календарных планов.
Функционирование системы СПУ в режиме исходного планирования
-
Определение структуры разработки, числа уровней руководства, назначение руководителей и ответственных исполнителей, установление директивного срока;
-
Выявление и описание ответственными исполнителями всех событий и работ, необходимых для выполнения запланированного им задания;
-
Определение ответственными исполнителями времени выполнения каждой работы;
-
Составление («сшивание ») первичных сетей ответственными исполнителями, частных и комплексных сетей – службами СПУ;
-
Определение параметров сетевого графика;
-
Анализ сетей и их оптимизация;
-
Утверждение показателей исходного плана и доведение их до исполнителей.
Структура разработки в системах СПУ. Весь комплекс работ по данному проекту надо расчленить на составные части, каждая из которых закрепляется за определенным руководителем или ответственным исполнителем. Ответственные исполнители в системе СПУ – специалисты, осуществляющие руководство по отдельным небольшим комплексам работ и несущие за них персональную ответственность.
Расчленение всего комплекса работ может быть проведено двумя путями:
-
построение укрупненной сети - система делится на подсистемы, изделия, блоки, механизмы, агрегаты, узлы и на основе этого деления строится укрупненный сетевой график. Составление сетевых графиков на узлы, механизмы, небольшие комплексы работ поручается ответственным исполнителям.
-
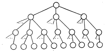
составление иерархической структуры системы - число уровней руководства устанавливается путем построения иерархической структуры системы («дерева системы », пирамидальной схемы). Схематично это можно представить себе в виде дерева, перевернутого кроной вниз, где каждая новая ответвляющаяся ветка характеризует собой дальнейшую детализацию работ.
Руководство технической
подготовкой производства
Руководство КПП, ТПП, материальной подготовкой производства
Руководство этапами КПП, ТПП, МПП
Руководство отдельными комплексами работ
по каждому этапу подготовки производства
Перечень событий и работ. В перечне указываются кодовые номера событий, наименования событий в последовательности от исходного к завершающему, кодовые номера работ, причем целесообразно указывать подряд сразу все работы, которые можно начать после свершения данного события.
| № | Перечень событий | № | Перечень работ |
| 0 | Техническое задание выдано | 01 | Разработка ТУ на стенд |
| 1 | ТУ на стенд разработано | 12 | Общая компоновка |
| 13 | Размещение заказа на индивидуальные узлы | ||
| 2 | Поставщики узлов утверждены. Заказ на изготовление приобретаемых на стороне узлов принят | 27 | Согласование ТУ на узлы и приемка узлов |
| 3 | Общая компоновка стенда готова | 34 | Отливка заготовки для стола стенда |
| 35 | Проектирование механизма передачи вибраций | ||
| 4 | Заготовка для стола готова | 46 | Механическая обработка стола |
| 5 | Проект механизма передачи готов | 56 | Изготовление механизма передачи вибраций |
| 6 | Стол и механизм передачи вибраций готовы | 67 | Монтаж механизма передачи вибраций в столе стенда |
| 7 | Механизм передачи вибраций смонтирован; покупные узлы получены | 78 | Общая сборка и испытание стенда |
| 8 | Стенд испытан и готов к эксплуатации |
Сшивание сетей. Различают следующие виды сетей: первичные, частные и комплексные.
Первичная сеть включает в себя комплекс работ, закрепляемый за данным ответственным исполнителем.
Частная сеть включает в себя комплекс работ, закрепляемый за данной конкретной организацией.
Комплексная сеть включает в себя весь комплекс работ по данному проекту, выполняемых всеми участвующими организациями.
Составление (или, как говорят, «сшивание») графиков идет снизу вверх. т.е. от ответственных исполнителей вплоть до сетевого графика, представляющего собой план работ по всей разработке в целом.
Характеристики
Тип файла документ
Документы такого типа открываются такими программами, как Microsoft Office Word на компьютерах Windows, Apple Pages на компьютерах Mac, Open Office - бесплатная альтернатива на различных платформах, в том числе Linux. Наиболее простым и современным решением будут Google документы, так как открываются онлайн без скачивания прямо в браузере на любой платформе. Существуют российские качественные аналоги, например от Яндекса.
Будьте внимательны на мобильных устройствах, так как там используются упрощённый функционал даже в официальном приложении от Microsoft, поэтому для просмотра скачивайте PDF-версию. А если нужно редактировать файл, то используйте оригинальный файл.
Файлы такого типа обычно разбиты на страницы, а текст может быть форматированным (жирный, курсив, выбор шрифта, таблицы и т.п.), а также в него можно добавлять изображения. Формат идеально подходит для рефератов, докладов и РПЗ курсовых проектов, которые необходимо распечатать. Кстати перед печатью также сохраняйте файл в PDF, так как принтер может начудить со шрифтами.
















