Контрольные вопросы и задания (1086572)
Текст из файла
12
Контрольные вопросы и задания для факультета ВИТ
Тема 2.4. Конструкторская подготовка производства
Задача 1. В конструкции изделия 1000 наименований деталей. Предложены варианты унификации и стандартизации: (1) Nу = 250, Nc = 133; (2) Nу = 180, Nс = 170; (3) Nу = 300, Nс = 100. Повышение kу и kс на 0,1 обеспечивает соответственно экономию 10 000 и 20 000 рублей. Определить наиболее выгодный вариант унификации и стандартизации.
Задача 2. Проводится унификация агрегата четырех моделей машин аналогичного эксплуатационного назначения. Технические параметры агрегата каждой модели соответствуют ТУ и позволяют выбрать его в качестве базового. Унификация не приводит к изменению эксплуатационных характеристик машины, и общий объем выпуска остается неизменным. Изменение затрат на материалы, вызываемое унификацией, не учитывается. Условно принимается, что унификация не требует дополнительных капитальных вложений и пропорциональные затраты не меняются. Исходные данные: пропорциональные затраты на один агрегат соответственно для четырех моделей машин Sп = 2000, 3000, 2500, 3500 руб.; условно-постоянные затраты (на объем выпуска) Sуп = 400, 250, 300, 200 тыс. руб., годовой объем выпуска Nг = 200, 250, 300, 400 шт.
Необходимо: (1) выбрать экономически оптимальную базовую модель для проведения унификации и доказать ее эффективность; (2) установить, будет ли эффективен этот вариант, если пропорциональные затраты уменьшить в 2 раза, а условно-постоянные увеличить в 4 раза?
Задача 3. Разработанный на предприятии альбом стандартов позволил повысить обобщенный коэффициент унификации и стандартизации на 0,2.
Себестоимость выпускаемой продукции составляет S = 860 000 руб. Аннулировано 560 документов, затраты на подготовку каждого из них составляли бы в среднем 120 руб.
Определить полученную экономию.
Задача 4. Годовой объем проектных работ в КБ составляет 23 млн р. В расчетном году предполагается внедрить первую очередь САПР, что позволит автоматизировать 9% проектных работ. Выработка конструкторов в расчетном году составит 460 тыс.руб/год, а конструкторов, выполняющих проектных работы с применением САПР – 500 тыс.руб/год. Определить общий коэффициент роста производительности труда и численность условно высвобождаемых конструкторов в КБ.
Тема 2.6. Организация освоения производства
Задача 1. В период освоения выпуска нового изделия что выгоднее – иметь показатель, характеризующий крутизну кривой снижения удельных затрат, bi = 0,4 или bi = 0,3 – и почему?
Задача 2. После наблюдения 50 циклов изготовления изделия установлена норма времени в 0,2 часа на единицу продукции. Вычислите среднее время изготовления единицы продукции после 100, 200 и 400 циклов при 90%-ой готовности.
Задача 3. Компания по обслуживанию автомобилей недавно приняла на работу Славу механиком со специализацией по центровке передних колес. Хотя он и опытный механик, но никогда раньше не пользовался оборудованием этой фирмы. Норма времени на выполнение операции составляла 30 мин. Первый раз он выполнил работу за 50 мин., второй раз – за 47,5 мин.
(а) За какое время Слава выполнит центровку в 10-й раз?
(б) За какое время Слава выполнит 100-ю центровку?
Задача 4. Петр Иванов, менеджер по контрактам компании АВС, в настоящее время привлечен к разработке цены по будущему правительственному контракту. При сборе данных по производству первых трех единиц изделий, которые компания АВС изготовила в соответствии с контрактом на НИОКР, г-н Иванов обнаружил, что на изготовление первого изделия ушло 2000 рабочих часов, на второе – 1800 рабочих часов и на третье – 1682 часа.
Сколько рабочего времени должен запланировать г-н Иванов в контракте на изготовление еще трех изделий?
Задача 5. При организации массового выпуска нового изделия процесс освоения планируется завершить за 15 месяцев. Для периода освоения характерно значение b = 0,3. Себестоимость одного изделия в первом месяце освоения – 6 тыс. руб., трудоемкость – 210 н-ч. Затраты по заработной плате (с начислениями) – 13 руб/ч. Планируется снижение удельных условно-постоянных расходов за время освоения на 10%. Определить значение проектной трудоемкости и себестоимости.
Тема 2.7. Планирование инновационных процессов (ИП)
Задача 1. Определить трудоемкость, длительность цикла, построить календарный график проектирования и изготовления технологической оснастки для изделия, имеющего 1200 наименований оригинальных деталей.
Изготовление технологической оснастки начинается через полгода после начала ее проектирования. Число наименований специальной технологической оснастки на одну оригинальную деталь (коэффициент технологической оснащенности) составляет 2,1. Средняя трудоемкость проектирования единицы технологической оснастки – 100 ч, изготовления – 160 ч. Численность исполнителей по проектированию оснастки – 80 человек, по изготовлению – 150 человек. Среднее выполнение норм при проектировании технологической оснастки составляет 120%, при ее изготовлении – 140%. Продолжительность рабочего дня 8 ч, в месяце 20 рабочих дней.
Задача 2. Определить общую календарную длительность (в неделях) выполнения следующих этапов технической подготовки производства: этап I – конструкторская разработка чертежей; этап II - производственный контроль чертежей; этап III – разработка технологических процессов.
Изделие имеет 500 оригинальных деталей. Средняя норма времени на разработку чертежа одной детали 12 часов, на его контроль 2,4 часа, на разработку технологического процесса на деталь 16 часов. На выполнении работ по этапу I занято 22 человека, по этапу II – 6 человек, по этапу III – 9 человек. Рабочая неделя – 40 часов. Приведенные нормы перевыполняются в среднем на 30%.
Составить план-график подготовки производства при последовательном и параллельно-последовательном выполнении работ по этапам. Коэффициент параллельности выполнения смежных этапов kпар = 0,3.
Задача 3. Определить количество исполнителей на этапе «Разработка технологических процессов ». Средняя трудоемкость разработки одного технологического процесса 28 н-ч. Директивная продолжительность выполнения этапа – 2 мес. За этот период необходимо разработать 56 единиц техпроцессов. Режим работы технологического отдела односменный, длительность смены 8 ч, в месяце 22 рабочих дня. Производственные задания технологами выполняются на 110%.
Задача 4. Определить, какое число конструкторов по оснастке необходимо выделить, чтобы закончить в течение 6 месяцев проектирование специальной оснастки для изделия, имеющего 1800 оригинальных деталей.
Коэффициент оснащенности равен:
по приспособлениям …………………………………………………..1,5
по штампам холодной и горячей штамповки ………………………. 0,1
по модельной и литейной оснастке ..…………………….…………...0,2
по специальному инструменту режущему и измерительному ……. 2,0
Средняя трудоемкость проектирования (в ч):
одного приспособления ……………………………………………….30
одного штампа …………………………………………………………40
единицы модельной и литейной оснастки …………………………...35
единицы специального инструмента …………………………………..8
Объем дополнительных работ, поручаемых конструкторам, равен 400 н-ч. Нормативы перевыполняются в среднем на 35%. Работа ведется в течение 22 рабочих дней в месяц по 8 ч в день.
Задача 5. Определить на стадии проектирования методов балльной оценки себестоимость радиоэлектронного устройства, имеющего более высокие параметры. Себестоимость ранее изготавливаемого аналогичного устройства на данном предприятии 4800 р/шт.
Балловые оценки сопоставляемых радиоэлектронных устройств (РЭУ), полученные экспертным методом, приведены в таблице.
Оценка параметров РЭУ
| Параметры устройства | Баллы | |
| Существующий образец | Проектируемый образец | |
| Избирательная способность | 2,0 | 3,5 |
| Помехоустойчивость | 2,5 | 4,0 |
| Мощность | 1,5 | 2,0 |
| Эстетическое оформление | 1,0 | 1,5 |
Снижение трудоемкости изготовления нового изделия за счет лучшей отработки на технологичность планируется на 20%. Доля затрат на материалы и комплектующие изделия в себестоимости по обоим вариантам 65%, размер величины накладных расходов, составляющих 220% от основной заработной платы, не изменяется. Дополнительная заработная плата и отчисления на социальные нужды учтены в размере основной заработной платы.
Тема 2.8. Сетевые методы планирования и управления (СПУ)
Задача 1. Имеются 5 взаимосвязанных между собой работ. Работу 4 можно начинать после окончания работ 1 и 2, работу 5 – после окончания работ 2 и 3. Построить сетевой график.
Задача 2. Работы 1 и 2 имеют одно начальное событие и выполняются параллельно. Работа 4 может начаться только после окончания работ 2 и 3. Отобразить логическую взаимосвязь данных работ на сетевом графике.
Задача 3. Определить tож, если tmin = 10, tmax = 30, tн.в = 17 дней. Определить tож, если tн.в - неизвестно.
Задача 4. Какая из двух оценок имеет большую неопределенность? Проверить это по показателю дисперсии, рассчитанному на основе оценок времени:
| tmin, дн. | tmax, дн. | tн.в, дн. | |
| Первая оценка | 10 | 30 | 17 |
| Вторая оценка | 5 | 28 | 15 |
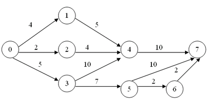
Задача 5. В сетевом графике пронумеровать события (методом вычеркивания дуг), рассчитать его параметры (графическим способом).
Рис.1.
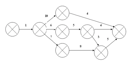
Задача 6. Определить коэффициенты напряженности работ 1-4, 2-4 и 3-5 на сетевом графике, изображенном на рис.2. Рассчитать параметры сетевого графика табличным способом.
Рис.2.
Задача 7. Для выполнения работ сетевого графика, параметры которого представлены в табл.1, имеется 9 рабочих-смежников. Предположив, что трудоемкость работ изменяется пропорционально количеству рабочих, определить, можно ли выполнить весь комплекс работ с данной численностью рабочих, не изменяя при этом длительность критического пути.
Таблица 1
| Код работ | 0-1 | 1-2 | 1-3 | 2-4 | 3-4 |
| Продолжительность, мес. | 8 | 6 | 3 | 4 | 2 |
| Число рабочих, чел. | 9 | 7 | 4 | 5 | 8 |
Задача 8. В таблице приведены характеристики выполнения комплекса работ при нормальной и минимальной продолжительности каждой из них. Для всех работ определить коэффициент изменения затрат. Определить, в каких пределах может изменяться длительность выполнения всего комплекса работ и какова при этом будет стоимость их выполнения.
Коды работ tн Cmin tmin Cmax
0-1 8 9 5 14
0-2 10 6 8 9
1-2 6 3 5 6
Характеристики
Тип файла документ
Документы такого типа открываются такими программами, как Microsoft Office Word на компьютерах Windows, Apple Pages на компьютерах Mac, Open Office - бесплатная альтернатива на различных платформах, в том числе Linux. Наиболее простым и современным решением будут Google документы, так как открываются онлайн без скачивания прямо в браузере на любой платформе. Существуют российские качественные аналоги, например от Яндекса.
Будьте внимательны на мобильных устройствах, так как там используются упрощённый функционал даже в официальном приложении от Microsoft, поэтому для просмотра скачивайте PDF-версию. А если нужно редактировать файл, то используйте оригинальный файл.
Файлы такого типа обычно разбиты на страницы, а текст может быть форматированным (жирный, курсив, выбор шрифта, таблицы и т.п.), а также в него можно добавлять изображения. Формат идеально подходит для рефератов, докладов и РПЗ курсовых проектов, которые необходимо распечатать. Кстати перед печатью также сохраняйте файл в PDF, так как принтер может начудить со шрифтами.
















