2.6.4. Конспект (1086565), страница 2
Текст из файла (страница 2)
Определение времени выполнения работ в сетевом графике. Могут быть даны следующие оценки времени:
tmin - минимальная (оптимистическая) оценка - время, необходимое для выполнения работы при наиболее благоприятном стечении обстоятельств;
tmax - максимальная (пессимистическая) оценка - время, необходимое для выполнения работы при самых неблагоприятных обстоятельствах;
tн.в. - наиболее вероятная продолжительность работ - продолжительность, имеющая место при нормальных, чаще всего встречающихся условиях выполнения данной работы.
Методы определения ожидаемого времени выполнения работ (tож):
1) метод двух оценок:
tож = (3tmin + 2tmax)/5,
2 = 0,04(tmax - tmin)2;
2) метод трёх оценок:
tож = (tmin + 4tн.в+ tmax)/6,
2 = [(tmax - tmin)/6]2.
Анализ сетевого графика
Цель анализа - выявление возможностей сокращения сроков разработки в целом. Анализ сетевого графика позволяет оценить целесообразность структуры графика, загрузку исполнителей работ на всех этапах выполнения проекта, возможность смещения начала работ некритической зоны.
1. Определение коэффициента напряжённости. Коэффициент напряженности работы - это соотношение продолжительностей несовпадающих, заключенных между одними и теми же событиями отрезков путей, одним из которых является путь максимальной продолжительности, проходящий через данную работу, а другим - критический путь.
Kнij = [t(Lmax) - t′(Lкр)] / [t(Lкр) - t′(Lкр)],
где t(Lкр) - длина критического пути; t(Lmax) - протяженность максимального пути, проходящего через данную работу; t′(Lкр) - величина отрезка пути, совпадающего с критическим путем.
Коэффициент напряжённости характеризует напряжённость сроков выполнения работ. Его величина показывает, насколько свободно можно располагать имеющимися резервами. Чем больше коэффициент напряжённости, тем сложнее выполнить работу в установленный срок. И наоборот, чем меньше коэффициент напряженности, тем большими относительными резервами обладает данный путь в сети.
2. Расчет вероятности свершения события в заданный срок. На практике чаще всего пользуются методикой расчета вероятности свершения завершающего события в заданный срок (рк), основанного на учете работ критического пути.
Из статистики известно, что аргумент нормальной функции распределения вероятностей (функции Лапласа):
z = (Тд –Тк )/ б2tож.кр
И вероятность свершения завершающего события в заданный срок находится по z из таблицы функции Лапласа (см. приложение на с.11). Считается нормальным значение рк в пределах 0,35 рк
Основы оптимизации сетевого графика
Сетевые графики оптимизируют:
а) по срокам;
б) по используемым ресурсам;
в) по стоимости.
Прямая задача: при найденном критическом пути использовать резервы некритических работ и получить сеть с минимальными затратами на весь комплекс работ. Можно поставить и обратную задачу: за счет увеличения затрат на работы критического пути сократить сроки выполнения работ этого пути, а значит, и сроки выполнения всего комплекса работ.
Для выявления возможности сокращения времени разработки используют метод исследования ненапряженных путей. Этот метод может выполняться как без учета, так и с учетом влияния на стоимость разработки.
При определении стоимости учитываются используемые ресурсы. Этот метод получил название «время-затраты ». Он заключается в установлении зависимости между продолжительностью и стоимостью работ с целью их оптимизации.
Для построения графиков «время-затраты » для каждой работы даются:
-
нормальная оценка – минимально возможная величина денежных затрат Сmin на выполнение работы (при этих затратах работа может быть выполнена за максимальное время Тmax);
-
минимальная оценка - минимально возможное время выполнения работы Тmin; этому времени будут соответствовать повышенные размеры денежных затрат Сmax, на выполнение работы.
График с помощью аппроксимирующей прямой (рис.2.6) позволяет определить размеры увеличения расходов при необходимости сокращения срока выполнения работы, или при решении обратной задачи – увеличение времени выполнения работы, если необходимо затраты уменьшить. Искомая величина затрат ΔС, необходимых для выполнения работы в сокращенное время Тиск, равна:
ΔС = (Сmax - Сmin) (Tmax - Tиск)/(Тmax - Тmin), руб.
Рис.2.6. Линейная аппроксимация графика «время-затраты »
Используя линейный закон увеличения затрат при сокращении времени для каждого вида работ, можно вычислить коэффициент возрастания затрат Кs на единицу времени:
Кs = (Сmax - Сmin)/(Тmax - Тmin), руб/ед.времени.
Управление ходом работ с помощью сетевого графика
Управление ходом работ с помощью сетевого графика начинается после того, как исходный план утвержден, доведен до всех ответственных исполнителей и начинаются первые работы, опирающиеся на исходное событие. Заканчивается процесс управления ходом работ в момент свершения завершающего события.
Периодически повторяющиеся этапы оперативного управления включают:
-
Сбор промежуточных отчетов о ходе работ от ответственных исполнителей;
-
Обработку полученной информации и анализ изменений, внесенных ответственными исполнителями по сравнению с первоначальными оценками;
-
Подготовку решений и проверку их с помощью расчетов нового сетевого графика вручную или на ЭВМ с целью сведения к минимуму расхождений и оптимизации плана работ;
-
Принятие окончательных решений, перестройку исходного графика, разработку календарных план-графиков для ответственных исполнителей;
-
Выработку выходной информации и доведение ее до всех уровней руководства, в т.ч. до ответственных исполнителей.
Преимущества СПУ
1) Концентрация внимания руководства на решающих работах.
2) В любой момент руководство располагает исчерпывающей информацией.
3) Реализуется принцип непрерывности планирования хода работ и управления ими.
4) Система обеспечивает возможность рационального маневрирования выделенными для данной разработки ресурсами.
5) Устанавливается чёткая взаимосвязь между ответственными исполнителями отдельных работ.
Вопросы и задания для контроля и обсуждения
Задача 1. Объясните разницу между графиком Гантта и сетевой моделью.
Задача 2. Построить фрагмент сетевого графика при следующих условиях: работы 1 и 2 выполняются одновременно; для начала работы 3 необходимо знать результаты работ 1 и 2, а для начала работы 4 – только результат работы 2.
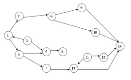
Задача 3. Найти ошибки построения и кодирования сетевого графика, приведенного на рис.1. Построить правильный график, если результаты работ 3-1, 5-8 и 11-12 не используются при выполнении последующих работ.
Рис.1. Сетевая модель к задаче 5
Задача 4. Определить tож, если tmin = 10, tmax = 30, tн.в = 17 дней. Определить tож, если tн.в - неизвестно.
Задача 5. Какая из двух оценок имеет большую неопределенность? Проверить это по показателю дисперсии, рассчитанному на основе оценок времени:
| tmin, дн. | tmax, дн. | tн.в, дн. | |
| Первая оценка | 10 | 30 | 17 |
| Вторая оценка | 5 | 28 | 15 |
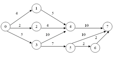
Задача 6. В сетевом графике пронумеровать события (методом вычеркивания дуг), рассчитать его параметры (графическим способом).
Рис.2. Сетевой график комплекса работ
Задача 7. Компания с ограниченной ответственностью «МР» разрабатывает проект небольшого масштаба. Основные операции проекта, непосредственно предшествующие им операции и время их выполнения приведены в табл.1.
Таблица 1. Исходные данные
| Операция | Непосредственно предшествующая операция | Продолжительность, недель |
| А Б В Г Д Е Ж | - - А, Б Б В Г Д, Е | 4 6 7 3 4 5 3 |
Требуется: (1) дать иллюстрацию проекта с помощью сетевого графика; (2) определить общую продолжительность выполнения проекта; (3) определить влияние на ход выполнения проекта задержки операции Г на четыре недели.
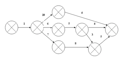
Задача 10. Определить коэффициенты напряженности работ 1-4, 2-4 и 3-5 на сетевом графике, изображенном на рис.3. Рассчитать параметры сетевого графика табличным способом.
Рис.3. Сетевой график комплекса работ
Задача 8. Среднее квадратическое отклонение по работам критического пути составляет ±1. Директивный срок Тд свершения завершающего события равен 30 дням, а по сетевому графику – 25 дням. Определить, на сколько дней можно сократить Тд, чтобы быть уверенным в свершении завершающего события с вероятностью 97%.
Задача 9. 1. Построить сетевой график по кодам работ, приведенным в табл.2.
2. Определить ожидаемую продолжительность tожij и дисперсию σ2ij для каждой работы.
3. Рассчитать параметры сетевой модели.
4. Определить вероятность выполнения комплекса работ в установленный договором срок, равный 200 дням (Тд = 200 дн.).
Таблица 2. Индекс, продолжительность и численность исполнителей работ
| Показатели ij-х работ | Коды работ ij | |||||||
| 0,1 | 0,2 | 1,5 | 2,3) | 2,4) | 3,6 | 4,6) | 5,6 | |
| tmin, дн. | 20 | 60 | 30 | 70 | 16 | 28 | 50 | 16 |
| tmax, дн. | 45 | 85 | 55 | 95 | 26 | 58 | 75 | 26 |
| Pij, чел. | 04 | 06 | 05 | 05 | 06 | 05 | 05 | 04 |
) Для выполнения работ 2,3 и 2,4 необходимы результаты работы 0,1.
) Для выполнения работы 4,6 необходимы результаты работы 2,3.
















