3 Глава (1084725), страница 5
Текст из файла (страница 5)
зависимости, грубым ошибкам.
Таким образом, и аналитические, и экспериментальные методы имеют свои преимущества и недостатки, которые часто затрудняют эффективное решение практических задач. Поэтому чрезвычайно плодотворным является сочетание положительных сторон аналитических и экспериментальных методов исследования.
Явления, процессы изучаются не, изолированно друг от друга, а комплексно. Различные объекты с их специфическими переменными величинами объединяются в комплексы, характеризуемые едиными законами. Это позволяет распространить анализ одного явления на другие или целый класс аналогичных явлений. При таком принципе исследований уменьшается число переменных величин, они заменяются обобщенными критериями. В результате, упрощается искомое математическое выражение. На этом принципе основаны методы сочетания аналитических способов исследования с экспериментальными методами аналогии, подобия, размерностей, являющихся разновидностью методов моделирования.
Суть метода аналогии рассмотрим на примере. Тепловой поток зависит от температурного перепада (закон Фурье)
Здесь л — коэффициент теплопроводности.
Массоперенос или перенос вещества (газа, пара, влаги) определяется перепадом концентрации вещества с (закон Фика):
м — коэффициент массопереноса.
Перенос электричества по проводнику с погонным сопротивлением обусловливается перепадом напряжения (закон Ома):
где р — коэффициент электропроводности.
61
Все три рассматриваемые явления характеризуются различными физическими процессами, но имеют идентичные математические выражения, т. е. их можно исследовать методом аналогий.
В зависимости от того, что принимается за оригинал и модель, могут быть различные виды моделирования методом аналогии. Так, если тепловой поток qт изучают на модели с движением жидкости qэ то моделирование называют гидравлическим; если тепловой поток исследуют на электрической модели, моделирование называют электрическим. Моделирование может быть механическим, акустическим и др.
Целесообразность выбора вида моделирования зависит от сложности изучаемого процесса и модели, ее стоимости и эксплуатации, возможности постановки различных экспериментов, точности результатов и др.
Идентичность математических выражений процессов оригинала и модели не означает, что эти процессы абсолютно аналогичны. Для того чтобы на модели максимально моделировать изучаемый процесс оригинала, необходимо соблюдать критерий аналогий. Так, сравнивать qт и qэ коэффициенты теплопроводности К и электропроводности р, температуру t и напряжение и нет смысла. Для устранения этой несопоставимости оба уравнения необходимо представить в безразмерных величинах: каждую переменную величину П представить в виде произведения постоянной размерности Пп на переменную безразмерную Пб:
После простых преобразований имеем
Оба выражения записаны в безразмерном виде и их можно сравнивать.
Уравнения будут идентичны, если
Это равенство называют критерием аналогий. С его помощью устанавливают параметры модели по исходному уравнению объекта.
Количество критериев аналогии на единицу меньше числа членов изучаемого исходного выражения. Поскольку число неизвестных больше числа уравнений, то некоторыми параметрами модели задаются. Обычно это время наблюдения или протекания процесса на модели. Оно должно быть удобным для наблюдения оператору.
В настоящее время широко распространено электрическое моделирование. Рассмотрим пример его.
62
Необходимо изучить закономерности колебания массы т, подвешенной параллельно упругой пружиной и демпфером к плоскости. Для этой системы дифференциальное уравнение имеет вид
где а — коэффициент демпфирования; s —механическое перемещение; B — коэффициент, характеризующий упругость пружины (деформация пружины при действии единицы силы); F(T) — сила, прилагаемая к системе.
Чтобы определить параметры m, а, B, уравнение (3.25) можно
исследовать методом электрических аналогий. Для электрической модели цепи уравнение имеет вид
где c1—емкость конденсатора; f—магнитный поток; t1 время процесса в электросети; R, I — резистор, индуктивность; i — ток электросети.
После соответствующих преобразований (см. выше пример)
безразмерные уравнения запишем так:
Выбор критериев (3.27) представляет определенные трудности. Чтобы упростить построение модели, пользуются системой масштабных уравнений.
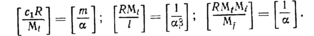
Поскольку механический (оригинал) и электрический (модель)
процессы аналогичны, то переменные величины этих систем изменяются во времени закономерно в определенном соотношении — масштабе. Масштабный коэффициент той или иной переменной величины представляет собой отношение переменных величин модели
и оригинала
где Mf, Mt, Мi—масштабы переменных величин.
С учетом масштабных переменных уравнения для модели
и оригинала следующие:
Эти уравнения тождественны, если
Масштабные системы (3.28) идентичны критериям аналогов (3.27), но в более простой форме.
63
С помощью системы масштабных уравнений (3.28) вычисляют параметры модели, а на основе предельных отклонений переменных величин оригинала и модели — масштабные коэффициенты. Задаваясь средними значениями параметров оригинала, по (3.28) вычисляют средние значения параметров модели и проектируют электрическую цепь. Далее оригинал исследуют на модели. Варьируя /, R, с, на модели изучают параметры т, а, B оригинала.
С помощью электрического моделирования можно изучать, анализировать различные физические процессы, которые описываются математическими зависимостями. Это моделирование универсально, простое в эксплуатации, не требует громоздкого оборудования.
При электрическом моделировании применяют аналоговые вычислительные машины (АВМ). Под АВМ понимают определенное сочетание различных электрических элементов, в которых протекают процессы, описывающиеся математическими зависимостями, аналогичными для изучаемого объекта (оригинала). При этом должны соблюдаться масштабные коэффициенты независимых и переменных величин аналога и оригинала.
АВМ применяют для исследования определенного класса задач. Решение задач производится так, что можно одновременно получить значение искомых величин в различных зонах (точках) системы. С помощью АВМ можно решать задачи в различном масштабном времени, в том числе и ускоренном, что в ряде случаев представляет большой научный интерес. Простота решения задач, быстрая обработка информации, возможность решения сложных задач обусловливают широкое применение АВМ. Различают АВМ общего и специального назначения. АВМ общего назначения решают дифференциальные уравнения высоких порядков (более 50) и предназначены для различных целей: расчета сетевых графиков, напряжений в основаниях и т. д:
При решении задач с уравнениями до 10-го порядка используют машины малой мощности МН-7; МН-10; ЭМУ-6 и др.; до 20-го порядка — средней мощности МН-14, ЭМУ-10 и др.
Для простых задач применяют обычно метод сплошных сред с использованием электропроводящей бумаги (плоская задача) или электролитических ванн (объемная задача). Модель изготовляют из токопроводной бумаги одинаковой электропроводимости. Геометрию объекта моделируют в определенном масштабе. К концам фигуры присоединяют электроды, моделирующие краевые условия. При моделировании процессов с токопроводными жидкостями (электролитами) ванны заполняют слабыми растворами солей, кислот, щелочей и др. Неоднородное поле моделируют с применением электролита разной концентрации. Метод сплошных сред предназначен для решения задач теплопроводности, распределения напряжений и др. Он прост, но ограничен решением краевых задач Лапласа.
В методе электрических сеток дифференциальные уравнения преобразуют в систему линейных, решаемых способом конечных разностей. С помощью сеточных моделей на электроинтеграторах можно исследовать стационарные и нестационарные задачи.
64
Широко распространенным методом моделирования является электрогидродинамическая аналогия. Она основана на электрическом моделировании движении жидкости, пара или газа и широко применяется для исследования водного режима оснований зданий, сооружений, плотин и т. д.
Часто также пользуются методом гидравлического моделирования на гидроинтеграторах. Гидроинтеграторы — это приборы, в которых вода передвигается по системе соединенных между собой
Рис. 3. 7. Схема гидроинтегратора (а) и изменение уровня жидкости в сосудах во времени (б): М. — сосуд с переменным сечением; 1, 2... k—сосуды, соединенные с сосудом М через узел т; Sim — сечение сосуда М на высоте h1; рim — сопротивление течения жидкости в сосуде i; gm — расход жидкости в сосуде mа.
трубок и узлов. Изучаемые постоянные и переменные величины моделируются напорами, уровнями и расходами воды в сосудах.
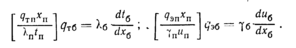
Интегратор состоит из множества узлов т (рис. 3.7). В каждом таком узле баланс воды равен
где Smi— площадь сечения сосуда; hi...hm— уровни воды в сосудах;
Рi— гидравлическое сопротивление (разность напора для пропуска единичного расхода); qi—расход воды.
При постоянном уровне воды в сосуде hi или постоянстве площади этого сосуда имеет место
65
















