3 Глава (1084725), страница 4
Текст из файла (страница 4)
Дифференциальные уравнения в частных производных находят широкое применение в научном анализе, так как они описывают процессы течения жидкостей, колебательные процессы, диффузию газов, тепловые и другие процессы.
При исследовании многообразных тепловых процессов в строительстве (водно-тепловой режим дорог, расчеты по охлаждению ограждающих конструкций зданий, пропаривание железобетонных изделий, приготовление асфальтобетонных смесей, теплотехнические расчеты при зимней технологии строительства и др.) обычно применяют систему связанных дифференциальных уравнений в частных производных второго порядка гиперболического вида
(3.18)
где a, a1— коэффициенты температурo- и влагопроводности; b- критерий теплообмена вследствие фазовых превращений (испарение, оттаивание, промерзание и др.) мигрирующего вещества;b1— коэффициент термоградиентный влагопроводности.
В уравнении (3.18) коэффициенты а, Ь,a1, Ь1 постоянны. Если они переменные, то система принимает более сложный вид.
Любые дифференциальные уравнения являются моделью целого класса явлений, т. е. совокупностью явлений, характеризуемых одинаковыми процессами. При интегрировании уравнений получают большое количество решений, удовлетворяющих исходному дифференциальному уравнению.
Чтобы получить из множества возможных решений одно, удовлетворяющее только рассматриваемому процессу, необходимо задать дополнительные условия к дифференциальному уравнению. Они должны четко выделить изучаемое явление из всего класса явлений. Условия, которые характеризуют все особенности данного уравнения, называются условиями однозначности и характеризуются следующими признаками: геометрией системы (форма и размеры тела); физическими свойствами тела (теплопроводность, влагопро-водность, упругость, вязкость и т. д.); временными условиями, т. е. состоянием системы в начальный момент или распределением
56
переменных величин по всему объему системы; граничными условиями, т. е. взаимодействия системы на границах с окружающей средой. При решении задач типа (3.9) — (3.15) необходимо знать условия однозначности. Начальные и граничные условия называют краевыми. Задачи тепломассообмена и им подобные, относимые к задачам математической физики, эффективно решать операционными методами или методами интегрального преобразования Лапласа, Фурье, Бесселя и др.
Суть операционного преобразования заключается в переводе функции f(t) переменного t, называемой начальной или оригиналом, в функцию f*(p) другого переменного р, называемую изображением. Это преобразование позволяет операции дифференцирования и интегрирования с оригиналом заменить простыми алгебраическими операциями с изображением. Изучают не саму функцию (оригинал), а ее измененное значение (изображение).
Преобразование осуществляется путем умножения начальной функции на другую и интегрирования ее. Так, преобразование Лапласа от функции f{t) имеет вид
(3.19)
где р — комплексное число.
Функция f*(p) называется изображением функции f(t) или преобразованием Лапласа. Использование f*(р) позволяет сложные операции дифференцирования и интегрирования f(t) заменить простыми алгебраическими операциями с f*(р).
Выполнив простые операции с /*(р), производят обратный переход к f(t).
Применение интегральных преобразований Лапласа имеет ряд преимуществ — простота, возможность решения задач с различными краевыми условиями и др.
Однако с помощью этого метода можно решать линейные задачи со сравнительно простыми краевыми условиями. При решении нелинейных задач со сложными краевыми условиями, точные аналитические методы встречают значительные трудности. В таких случаях для' анализа моделей применяют численные методы. Например, в настоящее время широко используют метод конечных разностей (метод сеток). Суть его заключается в том, что производную заменяют приближенным выражением в виде разности значения функции у = f(x) в отдельных точках сетки. В результате этого, дифференциальное уравнение заменяют эквивалентным соотношением конечных разностей, которое решают с помощью простейших алгебраических выражений. Этот метод основан на замене непрерывного процесса изменения функции скачкообразным во времени и пространстве.
57
С помощью метода конечных разностей можно решать сложные задачи с постоянными и переменными коэффициентами. Особенно эффективен этот метод при использовании ЭВМ, существенно облегчающих вычислительные операции.
В строительстве ряд задач исследуется с помощью интегральных уравнений, содержащих искомую функцию ф(s) под знаком интеграла:
(3.20)
где h(x), ф)(х) — известные функции х; л — постоянный параметр, который называют собственным числом; k(x, s) — заданная функция, которую называют ядром интегрального уравнения.
Если h(x) = 0 или h(x) = 1, то уравнение (3.20) преобразуется соответственно в уравнения Фредгольма первого или второго рода. Если при s > х ядро к(х, .s) = 0, то верхний предел интегрирования равен х. Такие интегральные уравнения называют уравнениями Вольтерра. В современной теории ползучести строительных материалов широко используют интегральные уравнения Вольтерра и Фредгольма.
Общего метода решения интегральных уравнений даже линейного типа h(x) = 0, ф)(х) = 0 не существует. Интегральное уравнение является решением дифференциального. Например, решением дифференциального уравнения (3.1)
(3.21)
является интегральное уравнение
Если р = р0 = const, имеем
Это позволяет сводить решение дифференциальных уравнений к решению интегральных и наоборот.
Одним из методов решения интегральных уравнений является метод последовательных приближений, который может быть иллюстрирован примером.
Пусть дано дифференциальное уравнение у = Ь(х, у) с начальными условиями при х = Хо, у = Уо. Его можно представить в виде интегрального уравнения:
(3.22)
58
Подставляя под знак интеграла вместо у его начальное значение уо, получаем
Таким же образом можно получить вторые и более высокие приближения, соответствующие у = y1; у = y2 и т. д.
Для решения интегральных уравнений применяется метод полуобращения, суть которого заключается в том, что ядро разбивается на две функции. Первая функция позволяет представить интегральное уравнение в виде системы алгебраических уравнений, что упрощает ее решение. Вторая позволяет получить решение интегрального уравнения методом последовательных приближений.
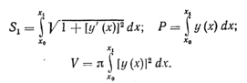
Многие задачи исследуются с помощью вариационного исчисления. Чтобы сформулировать задачу вариационного исчисления, вводят понятие функционала. Пусть имеем плоскую кривую у = f(x) с областью определения x0<x<x1(рис. 3.6). Нетрудно видеть, что длина кривой S1, площадь Р криволинейной трапеции, объем тела вращения V зависят от вида заданной кривой
Рис. 3. 6. Схема к понятию. функционала.
У = f(x):
(3.23)
Таким образом, функция у = f(x) однозначно определяет величину S1, Р, V, т. е. она играет роль своеобразного «аргумента».
В этом случае величины S1, Р, V называют функционалом относительно функции у = f(x).
Суть задачи вариационного исчисления состоит в том, что если задан функционал F(y') в области x0<x< x1 то требуется найти такую функцию у = f{x) в заданной области определения функционала F(y), при которой этот функционал принимает минимальное или максимальное значение.
При исследовании процессов методами вариационного исчисления находят такие закономерности, при которых их развитие энергетически наиболее экономно. Очень часто они описываются экспоненциальными функциями, удовлетворяющими принципам вариационного исчисления.
В области строительных наук широко используется теория функций комплексной переменной. В основе этой теории лежит положение о комфорном преобразовании, согласно которому две пересекающиеся кривые z1z2 и z1z3 из области z всегда можно перенести в область W соответственно кривым w1w2 и w1w3, сохраняя равенство углов между кривыми в каждой паре. Это позволяет изменить коор
59
динаты таким образом, чтобы упростить громоздкие математические преобразования. Теория функций комплексной переменной используется, например, в теории упругости для определения концентраций напряжений в плоскости или пространстве, содержащем различные включения.
Выше были названы лишь основные методы аналитических исследований, применяющихся в строительстве. В случае необходимости их использования, следует обратиться к специальной литературе.
§ 4. Аналитические методы исследований с использованием экспериментов
Физические процессы можно исследовать аналитическими или экспериментальными методами.
Аналитические зависимости позволяют изучать процессы в общем виде на основе функционального анализа уравнений и являются математической моделью класса процессов. Математическая модель может быть представлена в виде функции, уравнения, в виде системы уравнений, дифференциальных или интегральных уравнений. Такие модели обычно содержат большое количество информации. Характерной особенностью математических моделей является то, что они могут быть преобразованы с помощью математического аппарата. Так, например, функции можно исследовать на экстремум;
дифференциальные или интегральные уравнения можно решить. При этом исследователь получает новую информацию о функциональных связях и свойствах моделей.
Использование математических моделей является одним из основных методов современного научного исследования. Однако, ему свойственны существенные недостатки. Для того чтобы из всего класса найти частное решение, присущее лишь данному процессу, необходимо задать условия однозначности. Установление краевых условий требует проведения достоверного опыта и тщательного анализа экспериментальных данных. Неправильное принятие краевых условий приводит к тому, что подвергается теоретическому анализу не тот процесс, который планируется, а видоизмененный.
Кроме указанного недостатка аналитических методов, во многих случаях отыскать аналитические выражения с учетом условий однозначности, наиболее реально отображающими физическую сущность изучаемого процесса, или вообще невозможно или чрезвычайно затруднительно.
Иногда, исследуя сложный физический процесс при хорошо обоснованных краевых условиях, упрощают исходные дифференциальные уравнения из-за невозможности или чрезмерной громоздкости их решения, что искажает его физическую сущность. Таким образом, очень часто реализовать аналитические зависимости сложно.
Экспериментальные методы позволяют глубоко изучить процессы в пределах точности техники эксперимента и сконцентрировать внимание на тех параметрах процесса, которые представляют наиболь
60
ший интерес. Однако результаты конкретного эксперимента не могут быть распространены на другой процесс, даже близкий по физической сущности, потому что результаты любого эксперимента отображают индивидуальные особенности лишь исследуемого процесса. Из опыта еще невозможно окончательно установить, какие из параметров оказывают решающее влияние на ход процесса и как будет протекать процесс, если изменять различные параметры одновременно. При экспериментальном методе каждый конкретный процесс должен быть исследован самостоятельно.
В конечном счете эксприментальные методы позволяют установить частные зависимости между отдельными переменными в строго определенных интервалах их изменения. Анализ переменных характеристик за пределами этих интервалов может привести к искажению
















