Моё ДЗ про Дила Гроува (1072236)
Текст из файла
Модель роста оксида Дила-Гроува (Deal-Grove)
Выводы предыдущего раздела позволяют рассмотреть в процессе термического окисления три потока молекул кислорода (рис. ).
1. Поток молекул из газовой среды к внешней поверхности пластины, на которой в начальной стадии происходит реакция (кислорода с кремнием), а затем – адсорбция кислорода на формирующемся оксиде - поток F1
2. Поток молекул, диффундирующих через оксид SiO2 к кремнию Si - поток F2
3. Поток молекул O2, вступающих в реакцию с Si на границе раздела SiO2 /Si - поток F3
В равновесных условиях три рассмотренных потока равны между собой, при этом скорость формирования оксида определяется самым медленным из них.
Поток F1 определяется разностью между максимальной и реальной поверхностной концентраций окислителя:
F1=h(C*-C0), где
C0 - поверхностная концентрация окислителя,
h - коэффициент переноса.
C*- максимальная концентрация окислителя в газе для данного значения давления P
Значение концентрации окислителя C0 зависит от температуры, скорости газового потока и растворимости окислителя в SiO2.
Для того чтобы определить скорость роста окисла, рассмотрим потоки окислителя в объеме окисла (F2) и на его границе с кремнием (F3).
Согласно закону Фика, поток через объем окисла определяется градиентом концентрации окислителя:
F2=-D(dC/dz)=D(C0-Ci)/z0, ( 1 )
где Ci - концентрация окислителя в молекулах на кубический сантиметр при z=z0,
D - коэффициент диффузии при данной температуре,
z0 - толщина окисла.
Величина потока (F3) на границе окисла с полупроводником зависит от постоянной K скорости поверхностной реакции и определяется как:
F3=kCi ( 2 )
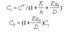
При стационарных условиях эти потоки равны, так что F3 = F2 = F1 = F. Следовательно, приравняв соотношения ( 1 ) и ( 2 ), можно выразить
величины Ci и C0 через C*:
Характеристики
Тип файла документ
Документы такого типа открываются такими программами, как Microsoft Office Word на компьютерах Windows, Apple Pages на компьютерах Mac, Open Office - бесплатная альтернатива на различных платформах, в том числе Linux. Наиболее простым и современным решением будут Google документы, так как открываются онлайн без скачивания прямо в браузере на любой платформе. Существуют российские качественные аналоги, например от Яндекса.
Будьте внимательны на мобильных устройствах, так как там используются упрощённый функционал даже в официальном приложении от Microsoft, поэтому для просмотра скачивайте PDF-версию. А если нужно редактировать файл, то используйте оригинальный файл.
Файлы такого типа обычно разбиты на страницы, а текст может быть форматированным (жирный, курсив, выбор шрифта, таблицы и т.п.), а также в него можно добавлять изображения. Формат идеально подходит для рефератов, докладов и РПЗ курсовых проектов, которые необходимо распечатать. Кстати перед печатью также сохраняйте файл в PDF, так как принтер может начудить со шрифтами.
















