Глава 10 Компрессоры (1062510), страница 3
Текст из файла (страница 3)
Процесс сжатия газа в турбокомпрессоре в идеальном случае можно считать адиабатным. Нагляднее всего этот процесс изображается в координатах Т — s (рис. 78). Идеальное адиабатное сжатие происходит по адиабате 1—2. Но так как в турбокомпрессоре сжатие протекает весьма быстро и сопровождается трением газа о стенки каналов и диски, то в результате температура сжатого газа T2' несколько выше температуры конца адиабатного сжатия Т2. Этим обусловливается и то, что работа, затрачиваемая на привод реального турбокомпрессора, всегда больше работы, необходимой для обратимого адиабатного сжатия. Учитывая все это,
131
реальный процесс сжатия условно представляют линией 1—2', идущей с отклонением вправо, т. е. с возрастанием энтропии, как и должно быть при необратимом адиабатном процессе.
Так как реальный процесс, так же как и теоретический, является адиабатным, то работа, затрачиваемая на получение сжатого газа в нем, выражается также через разность энтальпий, т. е.
Для идеального газа i = сpТ, и тогда
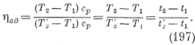
Экономичность турбокомпрессора оценивается его адиабатным к. п. д.:
Этим к. п. д. учитывают только так называемые внутренние потери, поэтому он и называется внутренним относительным. Если же учесть потери на трение в движущихся частях, т. е. затрачиваемую работу определять на валу компрессора, то следует ввести понятие эффективного к. п. д. турбокомпрессора.
Вопросы для самопроверки
-
Какие при изучении идеального компрессора делают допущения,
отличающие его от действительного? -
Почему в действительном компрессоре воздух поступает в цилиндр
не на всем ходе впуска? -
Как влияет на величину показателя политропы сжатия охлаждение
стенок? -
Для чего применяют многоступенчатые компрессоры и каковы их
преимущества? -
Каковы устройство и принцип работы компрессора?
















