Глава 09 -Политропный процесс (1062509), страница 2
Текст из файла (страница 2)
Отсюда и вытекает способ определения показателя политропы через отношение площадей с12d и а12b.
Часто возникает необходимость выяснить, насколько тот или иной процесс близок к политропному.
Для этого очень удобно построить процесс в осях координат lg v — lg p, в которых все политропные процессы будут изображены прямыми линиями. Действительно, если прологарифмировать уравнение политропы pvn = const, то получим следующее выражение:
а оно при переменных lg р и lg v будет уравнением прямой линии. Основные процессы в этих осях координат приведены на рис. 60. При решении некоторых практических задач оказывается необходимым построение политропы в координатах р — v по известным координатам одной точки I (р1, v1) (рис. 61) и показателю политропы п. Такое построение можно выполнить после вычисления координат нескольких точек политропы (не меньше трех) по её уравнению
ки политропы II. Если из точек bud провести параллельно осям координат линии bII и dll, то их пересечение определит точку II.
Третья и последующие точки политропы получают подобным же образом. Например, точка III будет лежать на пересечении линий b'III и d'lll, которые проводят параллельно осям координат и выходят из точек d' и b''. Точки d' и b' определятся после проведения линий а'b' (под углом 45° к оси ординат), 11с' (параллельно оси ординат) и c'd' (под углом 45° к оси абсцисс).
из треугольников bа'а и ced
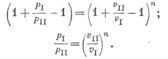
Справедливость такого способа определения точек политропы может быть доказана из рассмотрения прямоугольных треугольников Оа'b и Оес (точка е находится на пересечении прямых Od и cI). Из этих треугольников имеем
115
Заменяя отрезки a'd, ed, Оа' и Ое соответственно через объемы и давления, получим
Подставляя полученные значения tg и tg в исходное уравнение, найдем
Таким образом связь между координатами точек I и II устанавливается уравнением политропы:
Пример 3. Начальные параметры воздуха: p1=0.981 бар; Т1=340оК; конечное давление сжатия р2=3,43 бар. Показатель политропы n=1.21. Определить конечные параметры воздуха и построить политропу в координатах T – s.
















