Глава 08 -Диаграмма температура - энтропия (1062508), страница 2
Текст из файла (страница 2)
Вертикальные линии be и da представляют соответственно адиабаты расширения и сжатия.
Работа за цикл определится площадью abed:
его термический к. п. д.
Циклы Карно для различных рабочих тел, но при одних и тех же температурах T1и T2, могут отличаться один от другого только величинами st. Это следует из уравнения (146):
Газовые постоянные R и отношения объемов — для различ-
ных веществ будут различными Но нетрудно видеть, что как бы ни менялось st, к. п. д. цикла Карно при этом сохранит свое неизменное значение, если остаются постоянными температуры.
Таким образом, использование координат Т — s делает более простым и наглядным анализ цикла Карно. Вывод уравнения к. п. д. цикла значительно упрощается по сравнению с тем, что имело место при представлении этого цикла в координатах р — v. Дальше будет показано на конкретных примерах, что вообще любые циклы и процессы могут быть проанализированы более наглядно и просто в тепловых диаграммах.
С помощью координатной системы Т—s можно показать следующее весьма важное свойство цикла Карно.
Пусть в системе с двумя источниками теплоты постоянной температуры T1 и Т2 осуществляется цикл Карно abcda (рис. 52). В другой системе с бесконечно большим числом источников теплот и холодильников протекает некоторый произвольный обратимый цикл А1В2А, причем максимальная температура рабочего тела в этом цикле Тmax = T1, а минимальная Тmin = Т2 . Проведем сравнение экономичности этих циклов. Для цикла Карно
для произвольного цикла
Если учесть, что правые части этих выражений представляют собой правильные дроби, то нетрудно установить, что tk > t . Такой вывод вытекает из следующего. Вторая дробь получается из первой после уменьшения и числителя, и знаменателя на некоторую величину, вычитаемую из знаменателя. Из свойств дробей известно, что в этом случае дробь уменьшается.
Поэтому экономичность обратимого цикла Карно всегда выше экономичности любого произвольного обратимого цикла, имеющего максимальную и минимальную температуры рабочего тела, соответственно равных температурам верхней и нижней изотермы в цикле Карно.
§ 43. Обобщенный (регенеративный) цикл Карно
Рассмотрим цикл, состоящий из двух изотерм АВ и CD и двух произвольных процессов, представляемых эквидистантными кривыми DA и ВС. (рис. 53).
В этом цикле в изотермическом процессе АВ (Т1 = const) рабочее тело получает от источников теплоту q1(T) = T1s1 и в
изотермическом процессе (T2 = const) отдает холодильникам теплоту q2(T) = T2s2. В течение же процессов ВС и DA происходит регенерация теплоты: в первом из них рабочее тело отдает некоторым телам, вводящим в систему где протекает цикл, теплоту q2(p), соответствующую площадке В'ВСС', и во втором такое же количество теплоты q1(p), определяемое площадкой D'DAA', от этих тел возвращается к рабочему телу. Тела, воспринимающие в процессе ВС теплоту от рабочего тела и возвращающие ему эту теплоту в процессе DA, называют регенераторами. Таким образом, теплота qp , минуя внешние источники тепла, передается рабочим телом в процессе ВС через регенераторы рабочему телу в процессе DA. Равенство количеств теплоты ql(p) = q2(p) обусловли-
101
согласно предыдущему ql(p) = q2(p) количество подведенного тепла не должно входить тепло процесса DA, т. е. ql(p), тогда
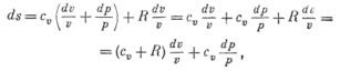
Зависимость s от давления и объема в начальной и конечной точках процесса получим на основе следующих соображений. Дифференцируя уравнение состояния газа, имеем
Так как линии DA и ВС эквидистантны, то s1 = s2 и окончательно
Таким образом, к. п. д. обратимого цикла, состоящего из двух изотерм и двух произвольных процессов, представляемых эквидис-тантными линиями, в точности равен к. п. д. цикла Карно. На этом основании такой цикл называют обобщенным циклом Карно.
Регенеративные циклы имеют большое значение для теплотех-ники. Если в теплосиловой установке предусмотреть такие устройства, при помощи которых ее идеальный цикл может быть регенеративным, то ее экономичность возрастает.
В заключение укажем, что регенеративные циклы могут быть не только прямыми, но и обратными. Последние имеют большое распространение в холодильной технике, особенно для получения очень низких температур.
§ 44. Изменение энтропии идеального газа при постоянной теплоемкости
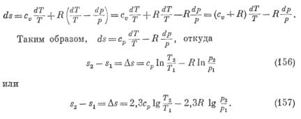
Изменение энтропии в произвольном процессе можно выразить через любые два параметра состояния.
из уравнения состояния
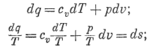
Пусть известны температуры и удельные объемы в начале и юнце процесса. Тогда из уравнения первого закона термодинамики
Деля это выражение на pv, преобразовываем его к следующему виду:
но
поэтому
но
Подставляя значение dT / T в уравнение (149), получаемпоэтому
откуда
Наконец, можно получить зависимость s от давления и температуры в конечной и начальной точках процесса.
103
Из уравнения (152) получаем
Подставляя значение — в уравнение (149), имеем
105
















