Глава 04 Теплоемкость идеальных газов (1062504), страница 2
Текст из файла (страница 2)
для К кмоль
Между перечисленными теплоемкостями существует зависимость, которая позволяет определить необходимую теплоемкость по одной из заданных.
Известно, что масса 1 кмоль вещества в килограммах численно равна его молекулярной массе, а объем 1 кмолъ при нормальных физических условиях (0° и 760 мм рт. cm.) Vμ = 22,4 м3/кмолъ. На этом основании массовая теплоемкость
равна киломольной теплоемкости, деленной на массу киломоля данного газа.
Объемная теплоемкость
Выше, при рассмотрении связи между средней и истинной теплоемкостями, а также при введении понятия теплоемкости, предполагалось, что она зависит только_от_температуры и не зависит от других параметров рабочего тела. Однако это справедливо, строго говоря, только для идеальных газов. Для реальных тел, например, для водяного пара, необходимо считаться с зависимостью теплоемкости не только от температуры, но и от давления.
— средняя киломольная теплоемкость
Так как в ряде реальных тепловых двигателей (двигатели внутреннего сгорания, газовые турбины и т. п.) можно принять, что рабочее тело ведет себя как идеальный газ, то рассмотрение теплоемкости идеального газа, т. е. теплоемкости, зависящей только от температуры, имеет большой практический смысл.Остановимся на способах определения теплоемкости смеси идеальных газов. Для этого необходимо знать теплоемкости газов, входящих в смесь, а также состав смеси газов.
Если смесь задана массовыми долями, то формула для определения ее теплоемкости будет иметь вид
где с1( с2, ... , с„ — массовые теплоемкости отдельных газов (компонентов), входящих в смесь.
Смесь может быть задана объемными долями, тогда формула для определения ее теплоемкости запишется так:
где c1’, с2’, ... , с'п — объемные теплоемкости отдельных компонентов смеси. Формула киломольной теплоемкости смеси будет иметь вид
где c, с2, ... сn - киломольные теплоемкости отдельных газов смеси.
Из уравнений (64) и (65) можно получить связь между массовой и объемной теплоемкостями в виде
откуда
§ 19. Теплоемкости газов в процессах, происходящих при постоянном объеме cv и постоянном давлении ср
Установлено, что теплоемкость зависит не только от физических свойств газа и его состояния, но и от характера процесса изменения состояния.
37
будет больше qv на величину, соответствующую работе преодоления внешних сил, т. е.
В каждом процессе теплоемкости газов даже при одинаковых значениях температур будут различны. Ниже будет установлен общий характер зависимости теплоемкости от процесса, сейчас же ограничимся рассмотрением только теплоемкостей газов в процессе при p = const и в процессе при и = const.
Эти процессы и теплоемкости ср и cv газов имеют большое практическое значение.
Пусть в цилиндре, закрытом неподвижным поршнем (рис. 12), находится 1 кг газа с параметрами p1 Tl и газовой постоянной R. Будем нагревать его до T2 при этом давление возрастет от р1 до р2; так как поршень неподвижен, то рассматриваемый процесс будет протекать при v = const. Количество теплоты, пошедшей
на нагревание, определится из выражения
и далее с учетом предыдущих выражений
Но для идеального газа
Теперь пусть в том же цилиндре, но с подвижным поршнем, находится 1 кг того же газа, с теми же начальными параметрами р1 , Т1. Будем так же, как и в первом случае, нагревать газ до Т2, но при р = const, что выполняется в результате свободного перемещения поршня вверх при постоянной внешней силе, действующей на него. Количество теплоты, подведенной к телу при его нагревании, в данном случае определится из выражения
Если рабочим телом является идеальный газ, то подводимая к нему теплота затрачивается частично на увеличение скорости движения его молекул, а в тех случаях, когда происходит увеличение объема, занимаемого телом, с преодолением внешних сил, — на совершение внешней работы. Внешним проявлением увеличения скорости движения молекул является рост температуры тела.
В обоих случаях количество теплоты, затраченное на изменение свойств рабочего тела, проявившегося в увеличении температуры, одинаково, так как одинаково приращение температур AТ = T2 — T1. В опыте, при v = const, на изменение этих свойств будет затрачена вся сообщаемая телу теплота qv, так как внешняя работа не производится. При р = const рабочему телу нужно сообщить еще некоторое количество теплоты qp для совершения внешней работы. Таким образом, общее количество теплоты qv
где l — работа.
Очевидно, что внешняя работа, производимая при подъеме поршня, равна работе расширения газа при постоянном давлении, т. е.
где Vi и vz — объемы цилиндра соответственно в начале и конце
опыта в м 3/кг (количество газа равно 1 кг).
Подставив значение I из уравнения (74) в уравнение (73), получим
В этом соотношении для дальнейших преобразований целесообразно выразить работу расширения через температуры. Для этого напишем его следующим образом:
Очевидно, что выражение (75) будет справедливо и для истинных теплоемкостей.
Зависимость (75) является одной из важнейших в термодинамике. Впервые она была получена немецким ученым Майером. Поэтому выражение (75) называется уравнением Майера.
Зависимость, аналогичная выражению (7о), может быть получена и для киломольиых теплоемкостей:
Из уравнения (76) следует, что разность киломольных тепло-емкостей ср и сv всех идеальных газов есть величина постоян-
39
ная. Нетрудно найти соответствующую зависимость и для объемных теплоемкостей:
При дальнейшем изложении будет часто встречаться коэффициент, представляющий собой отношение теплоемкости ср к сv, т. е.
§ 20. Вычисление теплоемкости идеальных газов
При решении практических задач необходимо знать величины теплоемкостей газов.
В настоящее время наиболее точные значения теплоемкостей получены на основе квантовой теории теплоемкости с использованием данных спектроскопического анализа. Эти значения обычно приводятся в специальных руководствах в виде подробных таблиц.
Однако в ряде случаев можно использовать приближенные значения теплоемкостей газов, полученных на основе молекулярно-кинетической теории теплоемкости. Согласно этой теории кило-мольные теплоемкости идеальных газов зависят только от атомности газа и не меняются с изменением температуры.
Киломольные теплоемкости газов в процессе при постоянном объеме в этом случае имеют следующие значения:
Если для одноатомных газов приведенное значение теплоемкости хорошо совпадает с точными, то для двухатомных совпадение получается только при невысоких температурах. Для трех- и многоатомных газов величина теплоемкости, полученной на основании молекулярно-кинетической теории, даже при комнатных температурах имеет сильно заниженное значение. Поэтому приведенными величинами cv можно пользоваться в расчетах только для одно- и двухатомных газов. Для трех- и многоатомных газов приближенное значение cv будет равно примерно 29 кдж/(кмолъ•град).
Величина киломольной теплоемкости газа в процессе при постоянном давлении cp, согласно уравнению (76) будет больше cv на 8,3 кдж/(кмоль•град).
Таким образом, приближенные расчетные значения теплоемкостей, если их считать постоянными, не зависящими от температуры, даны в табл. 1.
41
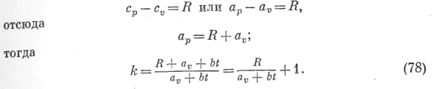
Для идеального газа этот коэффициент зависит от температуры.
Действительно, если принять в первом приближении линейную зависимость теплоемкости от температуры, т. е.
cv = av + bt; ср = ар + bt,
то
но из уравнения (75)
Из выражения (78) видно, что с ростом температуры коэффициент k будет уменьшаться.
Если воспользоваться приближенными значениями постоянных теплоемкостей, то коэффициент k для газов различной атомности будет иметь следующие величины: для одноатомного газа k = 1,67; для двухатомного газа k = 1,40; для трех- и многоатомных газов k = 1,29.
Пример 1. 12,5 м3 окиси углерода СО при постоянном давлении 1 мм/м3 (10,2 ат) и температуре 10оС подогреваются до 110оС. Найти количество подведенной при этом теплоты, считая теплоемкость постоянной.
Решение:
Пример 2. Газы в топе котельного агрегата имеют температуру t1=1100oC, а на выходе из него t2=350oC.
Найти, какое количество теплоты передается 1 м2 этих газов, приведенных к нормальным физическим условиям, воде в котле. Объемный состав газов следующий:
углекислого газа r1 = 0,11;
кислорода r2 = 0,045;
водяных паров r3 = 0,08;
окиси углерода r4 = 0,025;
азота r5 = 0,74.
Вопросы для самопроверки.
1 От каких параметров зависит величина теплоемкости?
2 Почему изобарная теплоемкость больше изохорной?
3 Как определить мольную теплоемкость по известной массовой теплоемкости?
43
















