All_Exercises (1050922), страница 2
Текст из файла (страница 2)
Характеристики материала: E1, V1, SIG02 (предел пластичности), ET (касательный модуль).
О
сновные приемы: примитивы (сплайны), построение области по КТ, общий размер элемента, регулярная разбивка, ограничения степеней свободы, таблицы нелинейных свойств (BKIN), выделение, установка типа анализа (статический, с учетом геометрической нелинейности), установка числа подшагов; постпроцессинг: описание и заполнение массива в цикле главного постпроцессора, перенос массива в таблицу временного постпроцессора, графическое отображение результатов (построение кривой зависимости силы от перемещения).
| H1 | 0.03 |
| H | 0.05 |
| R0 | 0.01 |
| R1 | 0.03 |
| R2 | 0.02 |
| R3 | 0.025 |
| AL1 | 70 |
| AL2 | 85 |
| UMAX | 10e-3 |
| E1 | 72.e9 |
| V1 | 0.32 |
| SIG01 | 14e7 |
| ET | 20e7 |
ВАРИАНТ 9
В
длинной двухслойной стене проложены трубы отопления с периодом 2*B. Трубы покрыты слоем гидроизоляционного материала толщиной T3. Температура в помещении – TB2, снаружи – TB1. На обеих свободных поверхностях имеет место конвективный теплообмен (г.у. 3-го рода) с коэф. теплопередачи AL2 и AL1 соответственно. Температура воды в трубе – TTR.
Свойства материалов: TPLi (теплопроводность), PLOTi (плотность), TEMKi (теплоемкость), i=1,3, все не зависят от температуры.
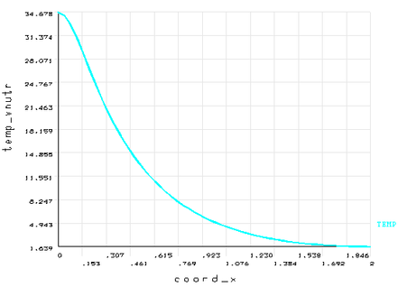
Вывести график распределения температуры по внутренней поверхности стены и определить, промерзает ли она при заданном периоде размещения труб.
О
сновные приемы: примитивы (прямоугольники, полукольцо), оверлэппинг, удаление областей, размер элемента (общий и на линиях со сгущением), назначение атрибутов элементов на области, свободная разбивка, ограничения степеней свободы, г.у. конвективного теплообмена, выделение, статический анализ, постпроцессинг: графическое отображение результатов, заданных по пути (распределение температуры по внутренней поверхности стены).
| T | 0.64 |
| T2 | 0.5 |
| T3 | 0.005 |
| R | 0.05 |
| T1 | 0.2 |
| B | 2 |
| TPL1 | 10 |
| PLOT1 | 2200 |
| TEMK1 | 1200 |
| TPL2 | 3 |
| PLOT2 | 1600 |
| TEMK2 | 1500 |
| TPL3 | 0.5 |
| PLOT3 | 900 |
| TEMK3 | 1600 |
| TB1 | -20 |
| AL1 | 100 |
| TB2 | 20 |
| AL2 | 10 |
| TTR | 70 |
Пермский государственный технический университет. Кафедра вычислительной математики и механики.
Пермь, 2000
12















