primer12 (1050939)
Текст из файла
CADFEM GmbH Official ANSYS, ADAMS, STAR-CD, LS-DYNA3D Distributor
Вычисление кинематических параметров
механической системы
Автор: Щукин Андрей Александрович, CADFEM GmbH (Москва, 2000 г.)
Версия пакета ADAMS: 10.0
В данном примере демонстрируется построение по шагам несложной модели плоской механической системы с голономными связями и двумя степенями свободы1, производится ее кинематический и динамический анализ, рассматривается экспорт результатов расчета в текстовый файл и их анализ в программе Microsoft Excel.
К ползунку А, массой m1, свободно перемещающемуся по направляющей OM, прикреплены две пружины жесткостью K каждая. Расположенный в вертикальной плоскости невесомый стержень AB длиной l, на конце которого укреплен груз B, массой m2 и моментом инерции J2, соединен шарнирно с ползуном А. Стержень AB и груз B движутся в вертикальной плоскости. Концы пружин D и E расположены на одной горизонтали, причем DO=OE=a. Когда ползун А находится на линии DE (в точке О), пружины не напряжены. Трение в шарнирах отсутствует.
Определить:
-
Скорость и ускорение точки А.
-
Угловую скорость и ускорение точки B.
-
Построить зависимость XA=X(t), X’A= X’(t), X”A= X”(t).
-
Построить зависимость ’ = ’(t), ”= ”(t).
-
Проверить результаты на соответствие системе дифференциальных уравнений движения данной кинематической системы.
Исходные данные
m1 = m2 = 10 кг J2 = 1 кгм2 K = 670 Н/м l = a = 0.5 м 0 = 300
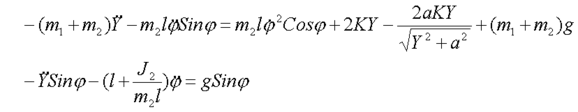
Система дифференциальных уравнений Лагранжа II рода для данной системы2:
Создание расчетной модели
В окне, появляющемся после запуска ADAMS View, выбрать: “Create a new model”. В строке “Units” выбрать систему единиц измерения: MKS – m,kg,N,s,deg.
Построение ползуна А
В
появившемся пиктографическом меню “Main Toolbox” открыть при помощи правой клавиши мыши меню построения примитивов, в нем выбрать arc-circle.
Отметить Circle, Radius. Установить значение радиуса 5.0cm (курсор мыши при вводе данных внутри диалогового окна должен находиться в пределах этого окна), после этого поместить окружность в начало координат, на появившееся предупреждение о том, что у данного элемента отсутствуют свойства массы и инерции, отвечаем “OK”.
Назначение массово-инерциальных свойств (ползун А)
М
ассу элемента задаем следующим образом: правой клавишей мыши кликаем по только что построенной окружности и из появившегося списка выбираем Part: Part_2, далее выбираем пункт меню Modify, в поле mass & inertia defined by: выбрать пункт User input. Закройте появившееся предупреждение и в поле массы установите значение “10” . В полях инерционных свойств установите значения: Ixx=Iyy=Izz=1.0. В поле “CM Ref Coord Sys Name” щелкните правой клавишей, выберете Marker, Pick и укажите курсором на центр окружности. Будет подсвечена надпись: PART_2.MARKER_1, нажмите левую клавишу мыши, в поле появится надпись: .model_1.PART_2.MARKER_1. Таким образом, мы присвоили нарисованной ранее окружности свойства массы, инерции, а также указали положения центра масс.
П
остроение пружин
В Main Toolbox кликаем на пиктограмму с изображением пружины.
В открывшемся диалоговом окне задаем параметры:
K = 670 (Stiffness Coefficient - коэффициент жесткости [N/m])
C = 0.0 (Damping Coefficient - коэффициент демпфирования [N*sec/m]).
Предварительно выведя окно координат (View- Coordinate Window) строим первую пружину, вначале отметив левой клавишей мыши центр окружности А, затем точку с координатами «0.5,0.0,0.0 (meter)». Аналогично строим вторую пружину, между центром окружности и точкой «-0.5,0.0,0.0 (meter)».
З
адание условий перемещения кулисы А
В
главном пиктографическом меню (Main Toolbox) при помощи правой клавиши мыши открываем меню шарниров (Joints), в этом меню выбираем шарнир Translational, который разрешает свободное перемещение только по одному направлению (вращение запрещено).
В полях со стрелками диалога Construction выбираем условия 2 Bod – 1 Loc (в первом), Pick Feature (во втором). Указываем курсором на кулису (подсвечивается надпись PART_2), затем на свободное место в окне, где подсвечивается надпись «ground» (тем самым выбираем объекты, между которыми мы образуем соединение), далее указываем место, в котором будет располагаться шарнир и направление перемещения в нем.
Построение невесомого стержня АВ
Д
ля построения стержня открыть при помощи правой клавиши мыши меню построения примитивов, в нем выбрать Polyline, в открывшемся окне свойств выбрать New Part, One Line, установить «флажки» на Lenght и Angle, задать длину стержня равную 50 см и угол, равный –600. Правой клавишей мыши закрепите верхний конец линии в центре ползуна.
Создание груза В
Груз В создается аналогично ползуну: строим окружность из центра в точке, располагающемся на конце отрезка АВ и задаем для нее массово-инерционные характеристики: М=10, Ixx=Iyy=Izz=1.0, центр масс - в центре окружности.
Закрепление груза В на отрезке АВ
В
главном пиктографическом меню (Main Toolbox) при помощи правой клавиши мыши открываем меню шарниров (Joints), в этом меню выбираем закрепление “Fixed” в свойствах указать: 1 Location, Normal To Grid, затем указать курсором центр окружности В.
Создание шарнирного соединения между ползуном А и стержнем АВ
В
главном пиктографическом меню (Main Toolbox) при помощи правой клавиши мыши открываем меню шарниров (Joints), в этом меню выбираем шарнир Revolute, в свойствах построения указываем: 2 Bod – 1 Loc, Normal To Grid, затем отмечаем ползун (PART_2), отрезок (PART_3) и указываем центр шарнира (центр окружности А).
П
роверить работу механизма можно, запустив Simulation двойным щелчком мыши.
Построение механизма завершено. Теперь перейдем к исследованию его характеристик.
Для запуска задачи необходимо вызвать окно решателя Interactive Simulation Controls (пиктограмма с изображением калькулятора) В окне Simulation установить вид расчета - динамический (Dynamic), конечное время счета (End Time) – 5 сек., число шагов (Steps) - 500. По окончании счета, для исследования результатов запускаем постпроцессор (Plotting).
Для построения графиков функций необходимо выбрать объекты, для которых эти функции должны быть построены. В окне Object приведено древо элементов, из которых состоит модель, в нашем случае:
Выберем в окне “Object”- PART_2, отметим параметры в окне “Characteristic” (CM_Position, CM_Velocity, CM_Acceleration) и ось “Y” в окне “Component”, построим графики функций (положения ЦМ ползуна, его скорости и ускорения по оси Y) при помощи кнопки “Add Curves”.
Открыв новую страницу из меню View- Page- New, аналогичным образом получаем графики функций положения центра масс груза 2 относительно оси X, его угловую скорость и угловое ускорение относительно оси Z.
Отразить полученные данные можно в виде текстового файла, который впоследствии может быть обработан в любом табличном процессоре. Покажем это на следующем примере: экспортируем численные данные в текстовый файл, затем данные из текстового файла поместим в рабочий лист Microsoft Excel. При помощи Microsoft Excel проверим полученные в ADAMS результаты, выразив ускорение ползуна через другие характеристики, соотношения между которыми определяет система уравнений Лагранжа второго рода, полученная для данного механизма, затем произведем сравнение полученных результатов.
Система уравнений Лагранжа второго рода для данного механизма имеет следующий вид:
Э
кспортировать данные можно следующим образом: Меню- File- Export- Numeric Data… - появится следующее окно:
В строке File Name укажите имя текстового файла (например, data.txt); для того, чтобы не вписывать вручную путь файла, можно воспользоваться меню, которое появляется при щелчке правой клавиши мыши на поле ввода имени файла – выберите пункт Browse…
В
строке Results Data, щелчком правой клавиши мыши отметьте пункт Result_Set_Component, в нем: Browse… Появится окно Database Navigator, в котором выберем нужные компоненты для вывода текстового файла, затем нажимаем «ОК» в каждом окне. Экспорт данных закончен.
Текстовый файл выглядит следующим образом:
A. .plot_1.curve_1.TIME (sec)
B. .plot_1.curve_1.y_data (meter)
C. .plot_1.curve_2.y_data (meter/sec)
D. .plot_1.curve_3.y_data (meter/sec**2)
E. .plot_2.curve_1.y_data (meter)
A B C D E
0.000000E+000 0.000000E+000 0.000000E+000 -9.806650E+000 2.500000E-001
1.000000E-002 -4.940100E-004 -9.806650E-002 -9.806650E+000 2.500000E-001
Характеристики
Тип файла документ
Документы такого типа открываются такими программами, как Microsoft Office Word на компьютерах Windows, Apple Pages на компьютерах Mac, Open Office - бесплатная альтернатива на различных платформах, в том числе Linux. Наиболее простым и современным решением будут Google документы, так как открываются онлайн без скачивания прямо в браузере на любой платформе. Существуют российские качественные аналоги, например от Яндекса.
Будьте внимательны на мобильных устройствах, так как там используются упрощённый функционал даже в официальном приложении от Microsoft, поэтому для просмотра скачивайте PDF-версию. А если нужно редактировать файл, то используйте оригинальный файл.
Файлы такого типа обычно разбиты на страницы, а текст может быть форматированным (жирный, курсив, выбор шрифта, таблицы и т.п.), а также в него можно добавлять изображения. Формат идеально подходит для рефератов, докладов и РПЗ курсовых проектов, которые необходимо распечатать. Кстати перед печатью также сохраняйте файл в PDF, так как принтер может начудить со шрифтами.















