ВОПРОСЫ и ОТВЕТЫ к экзаменудля студентов 1 курса по математике (1019738), страница 7
Текст из файла (страница 7)
Особый интерес представляют главные изоклины:
dy/dx=0, P(x,y)=0 – изоклина горизонтальных касательных и
dy/dx=¥ , Q(x,y)=0 – изоклина вертикальных касательных.
Построив главные изоклины и найдя точку их пересечения (x,y), координаты которой удовлетворяют условиям:
мы найдем тем самым точку пересечения всех изоклин фазовой плоскости, в которой направление касательных к фазовым траекториям неопределенно. Это – особая точка, которая соответствует стационарному состоянию системы
-
ДУ с разделяющимися переменными. Примеры.
Уравнением с разделяющимися переменными называется уравнение первого порядка вида
где X(x) и Y(y) — непрерывные функции.
Найдем общее решение или общий интеграл дифференциального уравнения первого порядка exp(-y)(x+y')=x
Запишем уравнение в нормальной форме: y'=(exp(y)-1)x
Получили уравнение с разделяющимися переменными. Разделим переменные:
dy/(exp(y)-1)=xdx
Запишем и вычислим выражение для общего интеграла этого уравнения
Знак интеграла вводится щелчком по символу интеграла в панели Calculus
Для того чтобы вывести в рабочий документ результат символьных вычислений, функцию F(x,y), нужно ввести имя функции и знак символьных вычислений ("стрелка вправо").
Знак символьных вычислений вводится щелчком по соответствующей позиции в панели Evaluation или в панели Symbolic
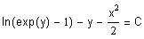
Общий интеграл уравнения записывается в виде F(x, y) = C :
Проверим правильность результата.
Выражение F(x,y) = С задает решение уравнения y=y(x) как функцию переменной x в неявной форме.
Для проверки решения вычислим производную y'(x) по формулам дифференцирования неявной функции и подставим ее в уравнение y' = (exp(y)-1)x, или, что то же самое, в уравнение y' -(exp(y)-1)x=0:
Введите ключевое слово simplify щелчком по соответствующей позиции в панели Symboliic, введите левую часть уравнения в помеченной позиции слева и щелкните по рабочему документу вне выделяющей рамки
После подстановки уравнение обратилось в тождество. Общий интеграл записан верно.
-
Однородные ДУ. Примеры.
Уравнение
, (4.1)
в котором M и N - однородные функции одной и той же степени, называется однород-ным уравнением. Функция f(x,y) называется однородной функцией степени k, если при всех t выполняется тождество
. Например, функция
– однородная второй степени, т.к.
; функция
– однородная первой степени; функция
- однородная третьей степени.
Записываем уравнение (4.1) в виде :
.
Делаем замену
.
Пусть функции
имеют степень однородности k , тогда
-
уравнение с разделенными переменными. Пусть
общее решение последнего уравнения, тогда
- общее решение уравнения (4.1).
П. 4.1.
.
M(x,y)=x(x+2y), N(x,y)=x2-y2. Легко проверить, что функции M и N однородные второй степени. Делаем замену y=zx; находим
:
. С другой стороны из заданного уравнения
или
,
,
. Так как
, то
∫
= =∫(
),
,
подставляя вместо
, получаем общий интеграл:
.
П. 4.2.
Функции M=y и N=y-x однородные первой степени. Поступаем по шаблону: y=zx,
,
∫
∫
, или ∫
∫
,
, подставляя в это уравнение
, находим общий интеграл:
,
,
.
П. 4.3.
.
Выделить интегральную кривую, проходящую через точку
т.е. найти частное решение, удовлетворяющее начальным данным:
.
Уравнение однородное первой степени. Делаем замену y=zx,
,
, или
, ∫
∫
,
, подставляя в это уравнение
, находим
,
, подставляя начальные данные, находим 0+
, с=1
- искомое частное решение.
-
Линейные неоднородные и однородные ДУ. Метод Бернулли. Пример.
-
ЛОДУ и ЛНДУ. Метод Лагранжа (метод вариации произвольной постоянной). Пример.
-
ДУ в полных дифференциалах. Интегрирующий множитель.
-
Уравнения Лагранжа и Клеро. Примеры.
-
ДУ второго порядка. Задача Коши. Общее и частное решения. Общий интеграл как семейство кривых. Теорема существования и единственности (без док-ва).
-
Понижение порядка ДУ: ДУ, содержащие явно искомую функцию, и ДУ, явно не содержащие искомую функцию.
-
Понижение порядка ДУ: ДУ, явно не содержащие независимой переменной.
-
Интегрирование ДУ порядка выше второго. Пример.
-
ЛНДУ и ЛОДУ высшего порядка. Линейно зависимые и линейно независимые функции. Пример.
-
Определитель Вронского (вронскиан). Теоремы 1 и 2. Док-во. Формула Лиувилля. Теорема 3 (без док-ва).
-
Структура общего решение ЛДУ высшего порядка. Теорема 4. Док-во. Фундаментальная система решений. Теорема 5 (без док-ва).
-
ЛОДУ 2 порядка с постоянными коэффициентами. Характеристическое уравнение. Теорема 6.
-
ЛНДУ 2 порядка с постоянными коэффициентами. Метод неопределенных коэффициентов (рассмотреть 2 случая). Теорема 7 (без док-ва).
-
Метод вариации произвольных постоянных для определения частного решения ЛНДУ (метод Лагранжа).
-
ЛДУ с постоянными коэффициентами порядка выше второго: вронскиан, характеристическое уравнение, метод вариации произвольных постоянных.
-
Интегрирование систем ДУ. Нормальная система ДУ. Метод исключения.
-
Интегрирование систем ДУ. Системы ЛДУ с постоянными коэффициентами (рассмотреть решение матричным способом, используя собственные числа и собственные векторы).
















