ВОПРОСЫ и ОТВЕТЫ к экзаменудля студентов 1 курса по математике (1019738), страница 2
Текст из файла (страница 2)
Рассмотрим
. (2.2)
В таком случае сложная функция
F(u)=F(j(x)) является первообразной для подинтегральной функции интеграла (2.2)
dF(u) = F/(u)du = f(u)du (2.3)
и, следовательно,
. (2.4)
Поэтому
,
где
F/(u)=f(u).
Таким образом, из справедливости (2.1) следует (2.4). На основании этого получаем обобщенную таблицу простейших интегралов.
(m¹-1)
и т.д., где u - любая непрерывная дифференцируемая функция.
И тогда мы можем значительно расширить таблицу простейших интегралов.
Пример: Пусть
.
а) заменим х на Sinx, получим
, то есть
.
б) заменим х на lnх
или
.
Теперь понятно, почему важно уметь проводить f(x)dx=g(u)du, где u есть некоторая функция от х и g - функция, более простая для интегрирования, чем f.
Отметим несколько преобразований, полезных в дальнейшем:
1. dx = d(x + b) , b = const
2.
, a- const ¹ 0
3.
, a,b – const ¹ 0
4.
5.
6.
7. j/(x)dx = dj(x) (*)
Пример.
1.
.
2.
.
-
Основные методы интегрирования: метод разложения, метод подстановки (введение новой переменной), интегрирование по частям.
Понятие об основных методах интегрирования
а). Метод разложения.
Пусть f(x) = f1(x) + f2(x). Тогда на основании свойства 4
.
f1, f2 стараемся подобрать так, чтобы интегралы брались непосредственно.
Пример:
1.
?
Воспользуемся
.
.
2.
=
=
.
б). Метод подстановки (введение новой переменной)
Так как неопределенный интеграл не зависит от выбора аргумента и, учитывая, что
dx = j/(t)dt,
получаем формулу замены переменной в неопределенном интеграле
. (2.5)
То есть интеграл, стоящий в правой части, может оказаться проще интеграла в левой части.
Пример.
1.
.
2.
.
3.
.
в) Метод интегрирования по частям
Пусть u и v - непрерывно дифференцируемые функции от х.
d(u×v) = udv + vdu.
Отсюда
udv=d(u×v)-vdu.
Интегрируя обе части этого уравнения, получим
или
Эта формула называется формулой интегрирования по частям.
Пример.
1.
.
2.
.
-
Интегрирование рациональных дробей. Примеры.
Нужно вычислить интеграл вида
, где
Р(х) - целый многочлен; а,b,c - const, a ¹ 0.
Разделив Р(х) на знаменатель, получаем
.
Теперь все сводится к вычислению
. (2.7)
Примеры.
Выведем два основных интеграла
I.
(a¹0)
II.
(a¹0).
Тогда имеем
(а¹0).
III.
.
Результаты записать в таблицу основных интегралов.
Основной прием вычисления интегралов (2.7) состоит в следующем :
квадратный трехчлен а×х2 + b×x + c дополняют до полного квадрата, если он не является таковым.
Если m = 0, то (2.7) сводится либо к I, либо к II.
Если m ¹ 0, то (2.7) сводится к I и III, либо к II и III.
Рассмотрим это на примерах:
1.
.
2.
.
а). Понятие о методе неопределенных коэффициентов
Если квадратный трехчлен имеет действительные различные корни х1, х2, то для вычисления (2.7) можно воспользоваться разложением подынтегральной функции на простейшие дроби:
º
.
Для определения коэффициентов А и В приведем правую часть тождества к общему знаменателю и, приравнивая числители, получим, что коэффициенты при одинаковых степенях х должны быть равны.
m×x + n = A×(x - x2) + B×(x - x1)
тогда, отсюда следует
.
Пример.
?
.
-
Интегрирование простейших иррациональностей.
1. Если подынтегральная функция содержит лишь линейную иррациональность
(а ¹ 0),
то полезна подстановка
. (*)
2. Интеграл от простейшей квадратной иррациональности
вычисляется с помощью дополнения квадратного трехчлена до полного квадрата и сводится к одному из двух интегралов типа
,
которые вычисляются подстановкой Эйлера:
I.
(a¹0)
, где t- новая переменная.
То есть
х2 + a = t2 - 2×t×x + x2 или a = t2 - 2×t×x.
Возьмем дифференциал от обеих частей, получим
da = 0 = 2tdt - 2xdt - 2tdx или
tdx = (t - x)dt, тогда
, то есть
.
Таким образом,
.
.(a¹0). (2.9)
II.
. (2.10)
З а м е ч а н и е. Необходимо (2.9) и (2.10) дописать в таблицу интегралов.
-
Интегрирование тригонометрических функций.
1. Универсальная замена
Рассмотрим интеграл вида
. (2.11)
Подстановка
сводит интеграл (3.1) к интегралу от рациональной дроби.
,
,
то есть х = 2×arctgu,
,
поэтому
. (2.11\)
Пример.
.
З а м е ч а н и я.
1. С принципиальной точки зрения интегралы вида (3.1) всегда можно привести к интегралам от рациональной дроби указанным способом, но практическое применение иногда приводит к громоздким вычислениям.
2. Иногда гораздо полезнее делать замены вида
u = Sinx, u = Cosx, u = tgx.
Рассмотрим эти методы на примерах.
1.
=
.
2.
.
3. Другие примеры с использованием
Sin2x + Cos2x = 1
.
Сравните 2 и 3.
2. Интеграл вида:
. (2.12)
Пусть m и n - рациональные числа. Тогда (2.12) с помощью подстановки (см. замечание 2) сводится к интегралу от дифференциального бинома.
Пусть u = Sinx, тогда
du = Cosxdx,
, и тогда
. (2.13)
а) В частном случае, когда m и n - целые (даже не обязательно положительные), то тогда целесообразно делать подстановки ( замечание 2). Например, если m = 2×n + 1 (соответственно n = 2×k+1), то есть нечетное число, то можно делать подстановку вида u = Cosx (u = Sinx):
(получаем рациональную дробь).
Аналогично, если
.
б) m>0, n>0, четные (или одно из них 0).
Тогда целесообразно применить
,
.
Пример.
.
3. Интегралы вида
,
,
. (2.14)
При вычислении интегралов (3.4) нужно вначале воспользоваться формулами
.
Пример.
.
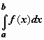
Определенный интеграл
-
Определенный интеграл. Формула Ньютона-Лейбница. Теорема о независимости интеграла от выбора первообразной (док-во). Следствие. Теорема существования.
Пусть функция f(х) определена на отрезке
и a=x0<x1<…<xn=b – произвольное разбиение этого отрезка на n частей. Сумма вида
где
называется интегральной суммой функции f(x) на отрезке [а, b].
Предел интегральной суммы Sn при условии, что число разбиений отрезка [а, b] неограниченно увеличивается,
, а наибольшая из разностей
(длин частичных отрезков разбиения) стремится к нулю, называется определенным интегралом от функции f(х) на отрезке [а, b] и обозначается символом
т.е.
где f(x) – подынтегральная функция;
а – нижний предел интегрирования;
b - верхний предел интегрирования.
Формулой Ньютона - Лейбница называется равенство вида:
При этом предполагается, что подынтегральная функция f(x) непрерывна при всех значениях x, удовлетворяющих условиям
a £ x £ b.
Теорема существования определённого интеграла. Если функция f(x) непрерывна на отрезке [a,b], то она интегрируема по этому отрезку.
Примем это утверждение без доказательства, поясним только его смысл. Интегрируемость функции означает существование конечного предела последовательности интегральных сумм, т.е. такого числа
, что для любого
найдётся такое число
, что как только разбиение отрезка удовлетворяет неравенству
, то, независимо от выбора точек
выполняется неравенство
. Требование непрерывности f(x) достаточно для интегрируемости, но не является необходимым. Интегрируемы функции, имеющие конечное или даже счётное число точек разрыва на [a,b] при условии их ограниченности (т.е. все точки разрыва должны быть точками разрыва первого рода). Неограниченная функция не может быть интегрируемой (идея доказательства этого утверждения: если f(x) неограничена на [a,b], то она неограничена на каком-либо [xi-1 , xi], т.е. на этом отрезке можно найти такую точку
, что слагаемое
, а следовательно, и вся интегральная сумма, будет больше любого наперед заданного числа).
-
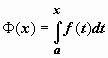
Определенный интеграл с переменным верхним пределом.
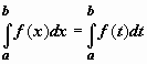
Интеграл с переменным верхним пределом. Значение определённого интеграла не зависит от того, какой буквой обозначена переменная интегрирования:
(чтобы убедиться в этом, достаточно выписать интегральные суммы, они совпадают). В этом разделе переменную интегрирования будем обозначать буквой t, а буквой x обозначим верхний предел интегрирования. Будем считать, что верхний предел интеграла может меняться, т.е. что x - переменная, в результате интеграл будет функцией Ф(x) своего верхнего предела:
. Легко доказать, что если f(t) интегрируема, то Ф(x) непрерывна, но для нас важнее следующая фундаментальная теорема:
Теорема об интеграле с переменным верхним пределом. Если функция f(t) непрерывна в окрестности точки t = x, то в этой точке функция Ф(x) дифференцируема, и
.
Другими словами, производная определённого интеграла от непрерывной функции по верхнему пределу равна значению подынтегральной функции в этом пределе.
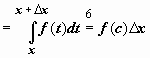
Док-во. Дадим верхнему пределу x приращение
. Тогда
, где c - точка, лежащая между x и
(существование такой точки утверждается теоремой о среднем; цифры над знаком равенства - номер применённого свойства определённого интеграла).
. Устремим
. При этом
(c- точка, расположенная между x и
). Так как f(t) непрерывна в точке t = x, то
. Следовательно, существует
, и
. Теорема доказана.
Отметим первое важное следствие этой теоремы. По существу, мы доказали, что любая непрерывная функция f(x) имеет первообразную, и эта первообразная определяется формулой
. Другим важным следствием этой теоремы является формула Ньютона-Лейбница, или основная формула интегрального исчисления.
-
Геометрический смысл определенного интеграла.
Геометрический смысл определённого интеграла. Как следует из пункта 11.1.1, если f(x) >0 на отрезке [a,b], то
равен площади криволинейной трапеции ABCD, ограниченной снизу отрезком [a,b], слева и справа - прямыми x = a и x = b, сверху – функцией y = f(x).
-
Физический смысл определенного интеграла.
-
Основные свойства определенного интеграла: общие свойства, свойство аддитивности, свойства линейности, свойства монотонности.
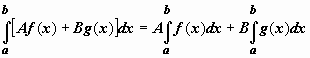
1. Линейность. Если функции y = f(x), y = g(x) интегрируемы по отрезку [a,b] , то по этому отрезку интегрируема их линейная комбинация A f(x) + B g(x) (A, B = const), и
.
Док-во: для любого разбиения отрезка и любого выбора точек
выполняется
. Перейдем в этом равенстве к пределу при
. Так как существуют пределы интегральных сумм, стоящих в левой части равенства, то существует предел линейной комбинации этих сумм, следовательно, существует предел правой интегральной суммы, откуда следует истинность и утверждения, и равенства.
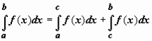
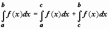
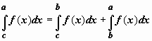
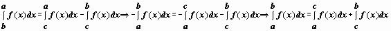
2. Аддитивность. Если y = f(x) интегрируема по отрезку [a,b] и точка c принадлежит этому отрезку, то
.
Док-во. Если f(x) удовлетворяет условиям интегрируемости по отрезку [a,b], то она удовлетворяет условиям интегрируемости по отрезкам [a,c] и [c,b]. Будем брать такие разбиения отрезка [a,b] , чтобы точка c являлась одним из узлов xi: c = xi0, . Тогда
. В этом равенстве первая сумма справа - интегральная сумма для
, вторая - для
. Переходим к пределу при
. Пределы для всех трёх сумм существуют, и
.
Свойство аддитивности остаётся верным при любом расположении точек, если только функция интегрируема по самому широкому интервалу. Пусть, например, c < b < a, и f(x) интегрируема по [c, a]. Тогда, по доказанному,
. Отсюда и из определения интеграла для случая, когда нижний предел больше верхнего, следует, что
.
При формулировании и доказательстве следующих свойств предполагаем, что b > a.
-
Теорема о среднем. Доказательство. Следствие.
















