ВОПРОСЫ и ОТВЕТЫ к экзаменудля студентов 1 курса по математике (1019738), страница 3
Текст из файла (страница 3)
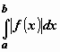
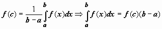
Если f(x) непрерывна на отрезке [a,b], то существует точка
, такая что
.
Док-во. Функция, непрерывная на отрезке, принимает на этом отрезке своё наименьшее m и наибольшее M значения. Тогда
. Число
заключено между минимальным и максимальным значениями функции на отрезке. Одно из свойств функции, непрерывной на отрезке, заключается в том, что эта функция принимает любое значение, расположенное между m и M. Таким образом, существует точка
, такая что
.
Это свойство имеет простую геометрическую интерпретацию: если
непрерывна на отрезке [a,b], то существует точка
такая, что площадь криволинейной трапеции ABCD равна площади прямоугольника с основанием [a,b] и высотой f(c) (на рисунке выделен цветом).
-
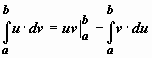
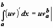
Интегрирование по частям в определенном интеграле.
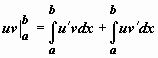
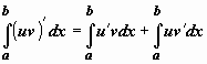
Если u(x), v(x) - непрерывно дифференцируемые функции, то
.
Док-во. Интегрируем равенство
в пределах от a до b:
. Функция в левом интеграле имеет первообразную uv, по формуле Ньютона-Лейбница
, следовательно,
, откуда и следует доказываемое равенство.
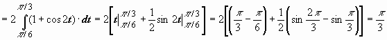
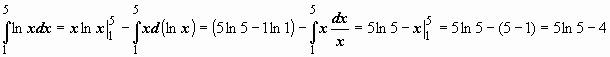
Пример:
.
-
Замена переменной в определенном интеграле.
-
определена, непрерывно дифференцируема и монотонна на отрезке
, -
, -
функция
непрерывна на отрезке [a, b].
Тогда
.
Док-во. Пусть F(x) - первообразная для функции f(x), т.е.
, тогда
- первообразная для функции
.
, что и требовалось доказать.
При решении задач нельзя забывать о том, что при переходе к новой переменной надо обязательно вычислить новые пределы интеграла.
Пример:
.
-
Несобственные интегралы I и II рода.
-
Теоремы сравнения. Критерий Коши сходимости несобственного интеграла I рода. Теоремы 1-3.
-
Абсолютная и условная сходимость несобственных интегралов. Признак Дирихле-Абеля (док-во).
Абсолютная и условная сходимость несобственных интегралов от разрывных функций определяется аналогично тому, как это было сделано для несобственных интегралов по бесконечному промежутку ( 12.1.4) , а именно: несобственный интеграл от неограниченной функций
называется абсолютно сходящимся, если сходится интеграл
, и условно сходящимся, если интеграл
сходится, а интеграл
расходится (если сходится
, то
тоже обязательно сходится).
Пример: Исследовать на сходимость интеграл:
26.
Так как
, то исходный интеграл сходится абсолютно.
При отсутствии абсолютной сходимости установить условную сходимость можно с помощью признаков Абеля и Дирихле:
Признак Дирихле. Интеграл
сходится, если:
1).функция f(x) непрерывна и имеет ограниченную первообразную на (a, b];
2).функция g(x) непрерывно дифференцируема и монотонна на (a, b], причём
.
Признак Абеля. Интеграл
сходится, если:
1).функция f(x) непрерывна на (a, b] и интеграл
сходится;
2).функция g(x) ограничена, непрерывно дифференцируема и монотонна на (a, b], то есть имеет конечный предел:
.
-
Замена переменных под знаком несобственного интеграла.
-
Интегрирование по частям несобственных интегралов.
Приложения определенного интеграла
-
Площадь в прямоугольных координатах.
-
Площадь в полярных координатах.
Площадь в полярных координатах
Напомним, что определением интеграла служит предел интегральных сумм, взятый при условии измельчения разбиения отрезка интегрирования. Этим определением мы воспользуемся для нахождения площади в следующем случае.
Пусть на плоскости фиксирована система полярных координат: полярными координатами точки
служат два числа
(
-- полярный радиус,
-- полярный угол).
Рис.6.4.
Уравнение, задающее зависимость величины
от полярного угла
,
задаёт некоторую линию на плоскости. Будем предполагать, что функция
непрерывна при
. Рассмотрим область
на плоскости, расположенную между выходящими из начала координат лучами
и
и линией
(эта область заштрихована на следующем чертеже).
Рис.6.5.
Найдём площадь области
, вначале приблизив область ступенчатой фигурой следующего устройства. Область изменения угла
, то есть отрезок
, разобьём на части точками деления
и выберем на каждом участке
некоторую отмеченную точку
. Получаем размеченное разбиение
отрезка
. Приближённо будем считать площадь
сектора области
, лежащего между лучами
и
, равной площади
кругового сектора с тем же центральным углом
и радиусом, равным
(см. рис.):
Рис.6.6.
Площадь кругового сектора подсчитывается по формуле
Значит, площадь всей области приближённо равна интегральной сумме
построенной по выбранному размеченному разбиению отрезка
для функции
При неограниченном измельчении разбиения
, то есть при условии
, эта интегральная сумма будет стремиться к площади области
. С другой стороны, предел интегральных сумм для функции
даст определённый интеграл от этой функции. Таким образом, получаем формулу площади:
Более кратко эту формулу можно записать так:
| | (6.3) |
где имеется в виду, что вместо полярного радиуса
нужно подставить его выражение через полярный угол
для зависимости, график которой ограничивает область снаружи.
Пример 6.3 Найдём площадь
области, ограниченной частью спирали
(
) при
и отрезком
оси
(см. рис.).
Рис.6.7.
Применяя формулу (6.3), получаем:
Если область
имеет границу, состоящую из двух отрезков лучей
и
(эти отрезки могут вырождаться в одну точку) и двумя линиями, заданными уравнениями в полярных координатах:
и
, причём
при всех
(см. рис.), то площадь
области
можно представить как разность двух площадей:
-- площади области, лежащей между лучами
,
и линией
, -- и
-- площади области, лежащей между лучами
,
и линией
.
Рис.6.8.
Каждую из площадей
и
можно подсчитать по формуле (6.3), так что получаем в итоге
| | (6.4) |
-
Длина дуги в прямоугольных координатах. Теорема о гладкой кривой.
-
Длина дуги в полярных координатах.
-
Вычисление объема тела по известным поперечным сечениям. Площадь поверхности вращения.
Вычисление объема тела по известным площадям его параллельных сечений.
Пусть имеется тело объема V. Площадь любого поперечного сечения тела Q, известна как непрерывная функция Q = Q(x). Разобьем тело на “слои” поперечными сечениями, проходящими через точки хi разбиения отрезка [a, b]. Т.к. на каком- либо промежуточном отрезке разбиения [xi-1, xi] функция Q(x) непрерывна, то принимает на нем наибольшее и наименьшее значения. Обозначим их соответственно Mi и mi.
Если на этих наибольшем и наименьшем сечениях построить цилиндры с образующими, параллельными оси х, то объемы этих цилиндров будут соответственно равны MiDxi и miDxi здесь Dxi = xi - xi-1.
Произведя такие построения для всех отрезков разбиения, получим цилиндры, объемы которых равны соответственно
и
.
При стремлении к нулю шага разбиения l, эти суммы имеют общий предел:
Таким образом, объем тела может быть найден по формуле:
Недостатком этой формулы является то, что для нахождения объема необходимо знать функцию Q(x), что весьма проблематично для сложных тел.
Пример: Найти объем шара радиуса R.
В поперечных сечениях шара получаются окружности переменного радиуса у. В зависимости от текущей координаты х этот радиус выражается по формуле
.
Тогда функция площадей сечений имеет вид: Q(x) =
.
Получаем объем шара:
.
Пример: Найти объем произвольной пирамиды с высотой Н и площадью основания S.
При пересечении пирамиды плоскостями, перпендикулярными высоте, в сечении получаем фигуры, подобные основанию. Коэффициент подобия этих фигур равен отношению x/H, где х – расстояние от плоскости сечения до вершины пирамиды.
Из геометрии известно, что отношение площадей подобных фигур равно коэффициенту подобия в квадрате, т.е.
Отсюда получаем функцию площадей сечений:
Находим объем пирамиды:
Площадь поверхности тела вращения.
А
Определение: Площадью поверхности вращения кривой АВ вокруг данной оси называют предел, к которому стремятся площади поверхностей вращения ломаных, вписанных в кривую АВ, при стремлении к нулю наибольших из длин звеньев этих ломаных.
Разобьем дугу АВ на n частей точками M0, M1, M2, … , Mn. Координаты вершин полученной ломаной имеют координаты xi и yi. При вращении ломаной вокруг оси получим поверхность, состоящую из боковых поверхностей усеченных конусов, площадь которых равна DPi. Эта площадь может быть найдена по формуле:
Здесь DSi – длина каждой хорды.
Применяем теорему Лагранжа к отношению
.
Получаем:
Тогда
















