ВОПРОСЫ и ОТВЕТЫ к экзаменудля студентов 1 курса по математике (1019738), страница 6
Текст из файла (страница 6)
В отличие от действительных чисел, числа вида 0 + ib называются чисто мнимыми. Часто просто пишут bi, например, 0 + i3 = 3i. Чисто мнимое число i1 = 1i = i обладает удивительным свойством:
| |
Таким образом,
|
|
С учётом этого замечательного соотношения легко получаются формулы сложения и умножения для комплексных чисел. Нет нужды запоминать сложную формулу для произведения комплексных чисел – если на комплексные числа смотреть как на многочлены с учётом равенства
то и перемножать эти числа можно как многочлены. В самом деле,
| |
то есть как раз получается нужная формула.
Операции над комплексными числами
Арифметические операции над комплексными числами были определены в предыдущем пункте. Эти операции обладают следующими свойствами:
-
Коммутативность сложения:
z1 + z2 = z2 + z1
-
для любых
. -
Ассоциативность сложения:
(z1 + z2) + z3 = z1 + (z2 + z3)
-
для любых
. -
Существует такое число z = 0, которое обладает свойством
z + 0 = z
-
для любого z
. -
Для любых двух чисел z1 и z2 существует такое число z, что z1 + z = z2. Такое число z называется разностью двух комплексных чисел и обозначается z = z2 – z1.
-
Коммутативность умножения:
z1z2 = z2z1
-
для любых
. -
Ассоциативность умножения:
(z1z2)z3 = z1(z2z3)
-
для любых
. -
Дистрибутивность сложения относительно умножения:
z1(z2 + z3) = z1z2 + z1z3
-
для любых
. -
Для любого комплексного числа z:
z · 1 = z.
-
Для любых двух чисел
и
существует такое число z, что
Такое число z называется частным двух комплексных чисел и обозначается
Деление на 0 невозможно.
Действия над комплексными числами
-
Сложение
(a + bi) + (c + di) = (a + c) + (b + d)i
-
Вычитание
(a + bi) − (c + di) = (a − c) + (b − d)i
-
Умножение
(a + bi)(c + di) = ac + bci + adi + bdi2 = (ac − bd) + (bc + ad)i
-
Деление
-
Алгебраическая, тригонометрическая, показательная формы комплексного числа. Формула Муавра. Логарифмирование комплексного числа.
Алгебраическая форма
Запись комплексного числа z в виде x + iy,
, называется алгебраической формой комплексного числа.
Сумма и произведение комплексных чисел может быть вычислена непосредственным суммированием и перемножением таких выражений, с учётом тождества i2 = − 1.
Тригонометрическая и показательная формы
Если вещественную x и мнимую y части комплексного числа выразить через модуль r = | z | и аргумент
(
,
), то комплексное число z можно записать в тригонометрической форме
.
Также может быть полезна следующая форма записи комплексных чисел, тесно связанная с тригонометрической через формулу Эйлера
,
где
- расширение экспоненты для случая комплексного показателя степени.
Геометрическое представление
Если на плоскости по оси абсцисс расположить действительную часть, а по оси ординат — мнимую, то комплексному числу будет соответствовать точка с декартовыми координатами x и y (или её радиус-вектор, что тоже самое), а модуль и аргумент будут полярными координатами этой точки.
В геометрическом представлении сумма комплексных чисел соответствует векторной сумме соответствующих векторов. При перемножении комплексных чисел их модули перемножаются, а аргументы складываются. Отсюда, в частности, получается Формула Муавра.
Формула Муавра
Формула, позволяющая возводить в степень комплексное число, представленное в тригонометрической форме. Формула Муавра имеет вид:
,
где r — модуль, а
— аргумент комплексного числа. В современной символике она опубликована Эйлером в 1722 г.
Эта формула применима при вычислении корней n-ой степени из комплексного числа.
Логарифмированием называют операцию, обратную потенцированию. Так, если верно равенство
,
то верно равенство
Как и в случае комплексных чисел, логарифм кватерниона неоднозначен и сферично - периодичен. Отбрасывая сферично-периодичную составляющую в ln(p), и зная покомпонентное представление
, найдем ln(p).
Несложно заметить, что кватернион является в некотором роде 3-х мерным комплексным числом. Приведенные формулы переходят в соответствующие формулы для комплексных чисел при сокращении базиса мнимых единиц до любой одной.
-
Дифференциальные уравнения (ДУ) первого порядка. Определение, решение, общее решение ДУ первого порядка. Задача Коши. Частное решение.
Зада́ча Коши́ — одна из основных задач теории дифференциальных уравнений (обыкновенных и с частными производными); состоит в отыскании решения (интеграла) дифференциального уравнения, удовлетворяющего так называемым начальным условиям (начальным данным).
Задача Коши обычно возникает при анализе процессов, определяемых дифференциальным законом и начальным состоянием, математическим выражением которых и являются уравнение и начальное условие (откуда терминология и выбор обозначений: начальные данные задаются при t = 0, а решение отыскивается при t > 0).
От краевых задач задача Коши отличается тем, что область, в которой должно быть определено искомое решение, здесь заранее не указывается. Тем не менее, задачу Коши можно рассматривать как одну из краевых задач.
Основные вопросы, которые связаны с задачей Коши, таковы:
-
Существует ли (хотя бы локально) решение задачи Коши?
-
Если решение существует, то какова область его существования?
-
Является ли решение единственным?
-
Если решение единственно, то будет ли оно корректным, то есть непрерывным (в каком-либо смысле) относительно начальных данных?
Говорят, что задача Коши имеет единственное решение, если она имеет решение y=f(x) и никакое другое решение не отвечает интегральной кривой, которая в сколь угодно малой выколотой окрестности точки (x0,y0) имеет поле направлений, совпадающее с полем направлений y=f(x). Точка (x0,y0) задаёт начальные условия.
Различные постановки задачи Коши
-
ОДУ первого порядка, разрешённая относительно старшей производной
-
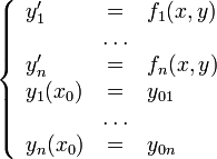
Система n ОДУ первого порядка, разрешённая относительно старших производных
-
ОДУ n-го порядка, разрешённая относительно старшей производной
Свойства задачи Коши
-
Теорема (о единственности решения).
Пусть
, пускай также
— решение задачи Коши (1), определённые на отрезке
, причём
, тогда
на всём [x1,x2].
Теорема носит глобальный характер: решения совпадают везде, где существуют.
-
Теорема (о существовании).
Пусть
, пускай также
, тогда
, зависящее от x0,y0,D,f такое, что
— решение задачи Коши (1), определённое на отрезке [x0 − h,x0 + h].
Теорема носит локальный характер: решение существует лишь в небольшой окрестности x0.
Частным решением дифференциального уравнения на интервале
называется каждая функция y(x), которая при подстановке в уравнение вида
обращает его в верное тождество на интервале
.
-
Теорема существования решения ДУ первого порядка. Метод изоклин.
Метод изоклин
Для построения фазового портрета пользуются методом изоклин – на фазовой плоскости наносят линии, которые пересекают интегральные кривые под одним определенным углом. Уравнение изоклин легко получить из (4.2). Положим
где А – определенная постоянная величина. Значение А представляет собой тангенс угла наклона касательной к фазовой траектории и может принимать значения от –¥ до +¥. Подставляя вместо dy/dx в (4.2) величину А получим уравнение изоклин:
. (4.3)
Уравнение (4.3) определяет в каждой точке плоскости единственную касательную к соответствующей интегральной кривой за исключением точки, где P (x,y) = 0, Q (x,y) = 0, в которой направление касательной становится неопределенным, так как при этом становится неопределенным значение производной:
.
Эта точка является точкой пересечения всех изоклин – особой точкой. В ней одновременно обращаются в нуль производные по времени переменных x и y.
Таким образом, в особой точке скорости изменения переменных равны нулю. Следовательно, особая точка дифференциальных уравнений фазовых траекторий (4.2) соответствует стационарному состоянию системы (4.1), а ее координаты – суть стационарные значения переменных x, y.
















