ВОПРОСЫ и ОТВЕТЫ к экзаменудля студентов 1 курса по математике (1019738), страница 4
Текст из файла (страница 4)
Площадь поверхности, описанной ломаной равна:
Эта сумма не является интегральной, но можно показать, что
Тогда
- формула вычисления площади поверхности тела вращения.
-
Некоторые физические приложения определенного интеграла: элементарная работа силы, количество вещества в вертикальном столбе, сила притяжения однородного стержня, сила давления воды на вертикальный круг.
-
Приближенное вычисление определенных интегралов: вывод формулы прямоугольников, формулы трапеций, формулы парабол – формулы Симпсона.
Кратные и криволинейные интегралы. Элементы теории поля.
-
Двойной интеграл. Определение и геометрический смысл.
Пусть
ограниченная замкнутая область плоскости
с кусочно-гладкой границей и пусть функция
определена и ограничена на
. Посредством сетки кусочно-гладких кривых разобьем
на конечное число элементарных областей
с площадями
(разбиение
). Пусть
- наибольший из диаметров областей
, получающийся при разбиении
. В каждой из элементарных областей выберем произвольную точку
. Число
называется интегральной суммой и ставится в соответствие каждому разбиению
и каждому выбору точек
. Если существует
и он не зависит от выбора разбиения
и точек
, то функция называется интегрируемой по Риману в области
, а сам предел называется двойным интегралом от функции
по области
и обозначается
или
. Двойной интеграл существует, если
непрерывна на
. Допустимы точки разрыва первого рода, лежащие на конечном числе гладких кривых в
.
-
Свойства двойного интеграла: линейность, монотонность, теорема о среднем значении, аддитивность.
Свойства двойного интеграла аналогичны свойствам определенного интеграла:
Линейность:
. Аддитивность:
, если S1 и S2 две области без общих внутренних точек.
Если для каждой точки
выполнено неравенство
, то
.
Если
интегрируема на
, то функция
также интегрируема, причем
.
Если
и
наименьшее и наибольшее значения функции
в области, а ее
площадь, то
.
Теорема о среднем значении: если
непрерывна в связной области
, то существует, по крайней мере, одна точка
такая, что
.
-
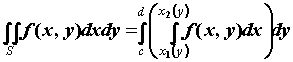
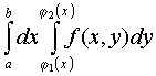
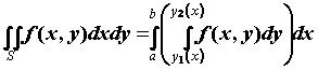
Вычисление двойного интеграла.
Вычисление двойного интеграла.
Если
, где -
непрерывные на
функции, то двойной интеграл может быть вычислен двумя последовательными интегрированиями:
. Аналогично, если
, то
.
-
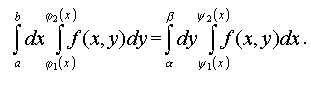
Изменение порядка интегрирования в двойном интеграле.
Пусть задан двукратный интеграл
. Если область интегрирования D (рис. 15), задаваемая неравенствами
является также правильной относительно оси ОУ, т.е. граница области D пересекается прямой y = c (c постаянная) не более чем в двух точках, то область D можно задать другими неравенствами:
.
Здесь α, β - соответственно наибольшее и наименьшее значение y в области D ;
x = ψ1(y) - левая часть границы;
x = ψ2(y) - правая часть границы области D .
Тогда в двукратном интеграле можно изменить порядок интегрирования:
Рис. 15
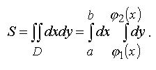
Вычисление площадей плоских фигур
В прямоугольной системе координат площадь ограниченной правильной в направлении оси ОХ области
равна
-
Двойной интеграл в полярных координатах.
Площадь правильной области
в полярных координатах находится так:
.
-
Замена переменных в двойном интеграле. Функциональный определитель – якобиан.
Пусть функции
взаимно однозначно отображают открытое множество, содержащее область
плоскости
на открытое множество, содержащее область
, и пусть
является образом
. Если
и их частные производные непрерывны, а определитель
, то
. Выражение
называется элементом площади в криволинейных координатах, функциональный определитель
- якобианом.
Якобиан, функциональный определитель ½aik½1n с элементами
, где yi = fi (X1,..., Xn), l £ i £ n, — функции, имеющие непрерывные частные производные в некоторой области А; обозначение:
.
Введён К. Якоби (1833, 1841). Если, например, n = 2, то система функций
y1 = f1 (. x1, x2), y2 = f2 (x1, x2) (1)
задаёт отображение области D, лежащей на плоскости x1, x2, на часть плоскости y1, y2. Роль Якобиан для этого отображения во многом аналогична роли производной для функции одной переменной. Например, абсолютное значение Якобиан в некоторой точке М равно коэффициенту искажения площадей в этой точке (т. е. пределу отношения площади образа окрестности точки М к площади самой окрестности, когда размеры окрестности стремятся к нулю). Якобиан в точке М положителен, если отображение (1) не меняет ориентации в окрестности точки М, и отрицателен в противоположном случае. Если Якобиан не обращается в нуль в области D и j (y1, у2) — функция, заданная в области D1 (образе D), то
(формула замены переменных в двойном интеграле). Аналогичная формула имеет место для кратных интегралов. Если Якобиан отображения (1) не обращается в нуль в области Д, то существует обратное отображение
x1 = j1 (y1, y2), x1 = j2(y1, y2),
причём
(аналог формулы дифференцирования обратной функции). Это утверждение находит многочисленные применения в теории неявных функций. Для возможности явного выражения в окрестности точки М (x1(0),..., xn (0, y1(0),..., ym (0)) функций y1,..., ут, неявно заданных уравнениями Fk (x1,..., xn, y1,..., ум) = 0, (2)
1 £ k £ m,
достаточно, чтобы координаты точки М удовлетворяли уравнениям (2), функции Fk имели непрерывные частные производные и Якобиан
был отличен от нуля в точке М.
-
Применение двойного интеграла: вычисление геометрических величин – площади области, объема тела, площади поверхности тела.
-
Применение двойного интеграла: вычисление физических величин – массы пластины, моментов инерции плоской материальной пластины, координат центра тяжести материальной пластины, статических моментов пластины.
-
Тройной интеграл. Определение. Геометрический и физический смысл тройного интеграла.
Пусть
- ограниченная замкнутая пространственная область, границей которой является кусочно-гладкая поверхность, и пусть функция
определена и ограничена в
. Посредством сетки кусочно-гладких поверхностей разобьем
на конечное число элементарных областей
с объемами
(разбиение
). Пусть
. наибольший из диаметров областей
, получающийся при разбиении
. В каждой из элементарных областей выберем произвольную точку
. Число
ставится в соответствие каждому разбиению
и каждому выбору точек
и называется интегральной суммой. Если существует
и он не зависит от выбора разбиения
и точек,
то функция называется интегрируемой по Риману в области
, а сам предел называется тройным интегралом от функции
по области
и обозначается
. Свойства тройных интегралов такие же, как и у двойных интегралов.
-
Вычисление тройного интеграла.
Пусть
является цилиндрическим телом, проекция которого на плоскость
есть область
и которое ограничено снизу поверхностью
, а сверху v поверхностью
, где
- непрерывные функции в . Тогда
, то есть интегрированием по z тройной интеграл сводится к двойному интегралу по области
. Для областей более сложной формы вычисление двойных и тройных интегралов производится разбиением областей на конечное число простых областей с уже рассмотренными свойствами.
-
Замена переменных в тройном интеграле. Цилиндрические координаты. Сферические координаты.
Пусть посредством функций
производится взаимно однозначное отображение открытого множества, содержащего область
пространства
на открытое множество, содержащее область
пространства
и
есть образ
. Если эти три функции непрерывны вместе со своими первыми частными производными в области
и якобиан
, то
. Выражение
называется элементом объема в криволинейных координатах .
Цилиндрическая система координат
















