ВОПРОСЫ и ОТВЕТЫ к экзаменудля студентов 1 курса по математике (1019738), страница 5
Текст из файла (страница 5)
2 точки в цилиндрических координатах
Цилиндрической системой координат называют трёхмерную систему координат, являющуюся расширением полярной системы координат путём добавления третьей координаты (обычно обозначаемой h), которая измеряет высоту точки над плоскостью.
Точка P даётся как (r,θ,h). В терминах прямоугольной системы координат:
-
r - расстояние от O до P', ортогональной проекции точки P на плоскость XY. Или то же самое, что расстояние от P до оси Z.
-
θ - угол между осью X и отрезком OP'.
-
h равно z.
-
Тогда функция преобразования f из цилиндрических координат в прямоугольные будет следующей: f(r,θ,h) = (rcosθ,rsinθ,h).
При использовании в физических науках и технике международный стандарт ISO 31-11 рекомендует использовать нотацию ρ, φ, z.
Некоторые математики используют (r,θ,z).
Цилиндрические координаты удобны при анализе поверхностей, симметричных относительно к.-либо оси, если ось Z взять в качестве оси симметрии. Например, бесконечно длинный круглый цилиндр в прямоугольных координатах имеет уравнение x2 + y2 = c2, а в цилиндрических - очень простое уравнение r = c. Отсюда и идёт для данной системы координат имя «цилиндрическая».
Сферическая система координат
Точка P имеет три декартовых и три сферических координаты
В математике сфери́ческими координатами называют систему координат для отображения геометрических свойств фигуры в трех измерениях посредством задания трёх координат, (ρ, φ, θ), где ρ — расстояние до начала координат, а φ и θ — зенитный и азимутальный угол соответственно.
Определения
Три координаты (r, θ, φ) в соответствии со стандартом (ISO 31-11) Международной Организации Стандартов определены как:
-
r ≥ 0 — расстояние от начала кординат до заданной точки P.
-
0 ≤ θ ≤ 180° — угол между осью Z и отрезком, соединяющим начало координат и точку P.
-
0 ≤ φ ≤ 360° — угол между осью X и проекцией отрезка, соединяющего начало координат с точкой P, на плоскость XY(в Америке углы θ, φ меняются ролями).
Угол θ называется зенитным или полярным, а угол φ — азимутальным. Углы θ и φ не имеют значения при r = 0, а φ не имеет значения при sin(θ) = 0 (то есть θ = 0 или θ = 180°).
Переход к другим системам координат
Поскольку сферическая система координат — только одна из многих трёхмерных систем координат, существуют законы преобразования координат между сферической системой координат и другими системами.
Декартова система координат
Основная статья: Прямоугольная система координат
Закон преобразования координат от сферических к декартовым:
Закон преобразования координат от декартовых к сферическим:
Якобиан равен:
-
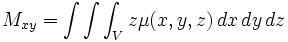
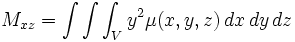
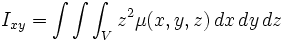
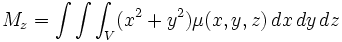
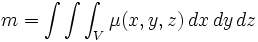
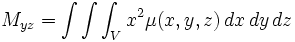
Приложения тройного интеграла: Объем тела, масса тела, статические моменты тела, координаты центра тяжести тела моменты инерции тела.
Пусть μ(z, y, z) - объемная непрерывная плотность тела V. Тогда:
-
масса тела V
-
статические моменты относительно координатных плоскостей:
,
,
-
координаты центра масс тела:
,
,
,
-
моменты инерции тела:
-
-
относительно координатных плоскостей
-
,
,
-
-
относительно координатных
-
,
,
-
-
относительно начала координат
-
-
Криволинейный интеграл I рода (по длине). Свойства.
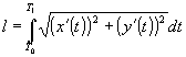
Рассмотрим спрямляемую (т.е. имеющую длину) кривую AB на плоскости (A, B – точки плоскости). Для простоты, считаем что эта кривая задана параметрически
, причем
– непрерывно дифференцируемые на отрезке функции такие, что каждому значению параметра соответствует единственная точка кривой.
Тогда длина кривой выражается формулой
.
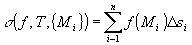
Под разбиением T кривой AB будем понимать множество точек
, лежащих на этой кривой и занумерованных в направлении от A к B. Пусть
- длина кривой
.
Диаметр d(T) определим как
.
Пусть функция
определена на кривой AB. Выберем на каждом участке
кривой точку
и образуем сумму
, называемую интегральной.
Определение. Пусть
. Если
, то величина I называется криволинейным интегралом первого типа по кривой AB и обозначается так:
.
Важное замечание. Если бы мы совершали движение по кривой не от A к B, а от B к A, то в разбиении T с выбранными точками
изменилась бы только нумерация отрезков и точек
, а сама интегральная сумма не изменилась бы, поскольку в ее определении фигурирует лишь длина
участка, которая не зависит от того, в каком направлении проходится участок. Это означает, что
.
В этом важнейшее отличие от обычного определенного интеграла, который менял бы знак при изменении направления обхода кривой.
Сформулируем теорему, сводящую новый пока объект – криволинейный интеграл к обычному определенному интегралу.
Теорема. Пусть
- непрерывная на кривой AB функция (т.е.
- точек кривой таких, что расстояние между
меньше
). Пусть кривая AB параметризована так:
, где
- непрерывные на
функции, причем каждому значению параметра соответствует единственная точка кривой. Тогда
.
Теорему оставим без доказательства.
Отметим, что изменение направления обхода кривой означает одновременную смену пределов интегрирования и знака величины dt, что не изменяет величину интеграла в правой части этого равенства.
Из свойств криволинейного интеграла отметим следующие 2 остальных:
-
при условии, что существуют
и
. -
Если AB, BC – кривые, удовлетворяющие условиям теоремы, то
.
Свойство 2 позволяет определить криволинейные интегралы 1-го типа для кусочно-гладких кривых (т.е. кривых, состоящих из конечного числа частей, каждая из которых удовлетворяет условиям теоремы). В частности, можно определить криволинейный интеграл и для замкнутых кривых.
1) Значение криволинейного интеграла по длине дуги не зависит от направления кривой АВ.
2) Постоянный множитель можно выносить за знак криволинейного интеграла.
3) Криволинейный интерал от суммы функций равен сумме криволинейных интегралов от этих функций.
4) Если кривая АВ разбита на дуга АС и СВ, то
5) Если в точках кривой АВ
то
6) Справедливо неравенство:
7) Если f(x, y, z) = 1, то
S – длина дуги кривой, l - наибольшая из всех частичных дуг, на которые разбивается дуга АВ.
8) Теорема о среднем.
Если функция f(x, y, z) непрерывна на кривой АВ, то на этой кривой существует точка (x1, y1, z1) такая, что
Для вычисления криволинейного интеграла по длине дуги надо определить его связь с обыкновенным определенным интегралом.
Пусть кривая АВ задана параметрически уравнениями x = x(t), y = y(t), z = z(t),
a £ t £ b, где функции х, у, z – непрерывно дифференцируемые функции параметра t, причем точке А соответствует t = a, а точке В соответствует t = b. Функция f(x, y, z) – непрерывна на всей кривой АВ.
Для любой точки М(х, у, z) кривой длина дуги АМ вычисляется по формуле
Длина всей кривой АВ равна:
Криволинейный интеграл по длине дуги АВ будет находиться по формуле:
Таким образом, для вычисления криволинейного интеграла первого рода (по длине дуги АВ) надо, используя параметрическое уравнение кривой выразить подынтегральную функцию через параметр t, заменить ds дифференциалом дуги в зависимости от параметра t и проинтегрировать полученное выражение по t.
-
Вычисление криволинейного интеграла I рода.
Криволинейный интеграл 1-го рода не зависит от направления движения по кривой , то есть
. Это единственное свойство, которое не совпадает с обычными свойствами интегралов, определеямых через предел интегральной суммы. Если
- отрезок кусочно-гладкой кривой, заданной параметрически:
, то криволинейный интеграл вычисляется по формуле:
. Если плоская кривая задана в явном виде, то криволинейный интеграл вычисляется по формуле:
.
-
Приложения криволинейного интеграла I рода: Длина кривой, площадь цилиндрической поверхности, статические моменты материальной кривой, моменты инерции материальной кривой. Физический смысл криволинейного интеграла I рода.
-
Криволинейный интеграл II рода (по координатам).
-
Вычисление криволинейного интеграла II рода.
-
Приложения криволинейного интеграла II рода. Физический смысл криволинейного интеграла II рода. Криволинейный интеграл по замкнутому контуру. Условие Грина.
-
Потенциал поля. Формула Грина.
-
Поверхностный интеграл I рода (по площади поверхности).
-
Приложения поверхностного интеграла I рода
-
Поверхностный интеграл II рода (по координатам).
-
Связь поверхностных интегралов I и II рода. Поток векторного поля через поверхность.
-
Скалярные и векторные поля. Линии и поверхности уровня. Векторные линии.
-
Градиент, дивергенция и ротор. Их физический смысл.
-
Операторы Гамильтона и Лапласа и их применение к скалярным и векторным полям.
-
Поток векторного поля. Физический смысл потока. Теорема Остроградского-Гаусса.
-
Циркуляция векторного поля. Теорема Стокса.
-
Связь формул Грина, Стокса, Остроградского-Гаусса и формулы Ньютона-Лейбница.
-
Потенциальные и соленоидальные поля.
Дифференциальные уравнения
-
Комплексные числа. Определение и алгебраические операции над комплексными числами: сложение, вычитание, умножение и деление.
| Комплексным числом называется выражение вида a + ib, где a и b – любые действительные числа, i – специальное число, которое называется мнимой единицей. Для таких выражений понятия равенства и операции сложения и умножения вводятся следующим образом:
| | ||||
| | | | |||
Комплексные числа часто обозначают одной буквой, например, z = a + ib. Действительное число a называется действительной частью комплексного числа z, действительная часть обозначается a = Re z. Действительное число b называется мнимой частью комплексного числа z, мнимая часть обозначается b = Im z. Такие названия выбраны в связи со следующими особыми свойствами комплексных чисел.
Заметим, что арифметические операции над комплексными числами вида z = a + i · 0 осуществляются точно так же, как и над действительными числами. Действительно,
| |
| |
Следовательно, комплексные числа вида a + i · 0 естественно отождествляются с действительными числами. Из-за этого комплексные числа такого вида и называют просто действительными. Итак, множество действительных чисел содержится в множестве комплексных чисел. Множество комплексных чисел обозначается
. Мы установили, что
, а именно
















