Краткие ответы на всю теорию за 1 семестр по матану (1017920), страница 8
Текст из файла (страница 8)
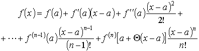
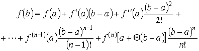
A0 = f(a), A1 = f'(a), A2 = f''(a), ..., An-1 = f(n-1)(a),
а из уравнения (2) коэффициент An: An = f(n)(c) и подставим их значения в последнее уравнение системы (1):
,
где 0 < < 1
Заменяя b на x, получим формулу Тейлора:
где 0 < < 1
Последнее слагаемое
называется остаточным членом в форме Лагранжа.
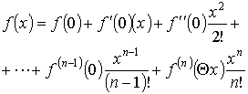
При a = 0 получается так называемая формула Маклорена:
где 0 < < 1, а остаточный член записывается в виде
В29.Условие монотонности функции на промежутке. Условие постоянства функции на промежутке и его свойства.
Пусть f(x) определена и непрерывна на [a;b] и имеет конечную производную во всех точках.Для того, чтобы функ-я была постоянной достаточно чтобы производная=0 в каждой точке отрезка.
Док-во по теореме лангранжа есть хоть одно С из (x0,x) для которого f(c)=f(x0)+f’(c)(=0)(x-x0) (f’(x)-f(x))/(x’-x0)=f’(c) f(x)=f(x)
Следствие: f(x) и g(x) непрер, имеют производн и если производн совпад., то фун-и отличаются на постоянную величину.
Док-во: h(x)=f(x)-g(x) h’(x)=f’(x)-g’(x)=0 f-g=c f=g+c
В30.Достаточные признаки экстремума функции 1 переменной
Экстремумы функции.
М
ожно указать О(х1) в которой все значения функции
f(x)<f(x1) b и О1(х1) анологично для точки х2
f(x)>f(x1) b и О2(х1). Значенгие функции в точке М1, М3 и М5 –
max; M2 и М4 – min – такие точки назавыются точкками
экстремума или точками локального max и min.
Определение: (точки экстремума)
Пусть функия f(x) определена в некоторой О(х0) и f(x)>f(x0) в
О(х0) или f(x)<f(x0) в этом случае точка х0 – называется точкой локального max (min).
f(x)f(x1) в О1(х1)
f(x)f(x2) в О2(х2)
говорят, что точки х1 и х2 точки не строгого локального
экстремума.
Теорема: (Ферма) (о необходимости условия экстремума дифференцируемой функции)
Пусть y=f(x) дифференцируема в точки х0 и точка х0 – точка экстремума, тогда f(x0)=0
Доказательсто: Заметим, что х0 точка экстремума, то в её окрестности f(x) – f(x0) сохраняет знак. Запишем условие ∆f(x0)=f(x)-f(x0)(x-x0)+o(x-x0)
f(x)-f(x0)=(x-x0)[f(x0)+(x-x0)] то при х – достаточно близких к х0 знак выражения стоящего в квадратных скобках совпадает со знаком f’(x0)0 (x-x0) – меняет знак при переходе черех точку х0 f’(x0)=0
Функция u=f(Р) имеет максимум (минимум) в точке P0(x01,...,x0n), если существует такая окрестность точки P0, для всех точек Р (x1,...,xn)которой, отличных от точки P0, выполняется неравенство f(Р0)>f(Р) (соответственно f(Р0)<f(P)). Максимум или минимум функции наз. её экстремумом. Необходимое условие экстремума: Если дифференцируемая функция f(Р) достигает экстремума в точке P0, то в этой точке
f'xk(P0)=0 для всех k=1,2,...,n {1} или df(P0,x1,...,xn)=0 тождественно относительно ,x1,...,xn. Точки, в которых выполняются условия {1} наз. стационарными точками функции u=f(Р). Таким образом, если P0 – точка экстремума функции u=f(P), то либо P0 – стационарная точка, либо в этой точке функция не дифференцируема. Достаточные условия экстремума. Пусть P0(x01,...,x0n) – стационарная точка функции u=f(P), причем эта функция дважды дифференцируема в некоторой окрестности точки P0 и все её вторые частные производные непрерывны в точке P0. Тогда: (1) если второй дифференциал d2u(P0(x1,...,xn)) как функция x1,...,xn имеет постоянный знак при всевозможных наборах значений x1,...,xn не равных одновременно нулю, то функция u=f(P) имеет в точке P0 экстремум, а именно – максимум при d2u(P0(x1,...,xn))<0 и минимум при d2u(P0(x1,...,xn))>0; (2) если d2u(P0(x1,...,xn)) является знакопеременной функцией x1,...,xn, т.е. принимает как положительные, так и отрицательные значения то точка P0 не является точкой экстремума функции u=f(P); (3) если d2u(P0(x1,...,xn))0 или d2u(P0(x1,...,xn))0, причем, существуют такие наборы значений x1,...,xn не равных одновременно нулю, для которых значение второго дифференциала обращается в нуль, то функция, u=f(P) в точке P0 может иметь экстремум, но может и не иметь его (в этом случае для выяснения вопроса требуется дополнительное исследование). В частном случае функции двух переменных достаточные условия экстремума можно сформулировать следующим образом. Пусть P0(x0,y0) – стационарная точка функции z=f(x,y) причем эта функция дважды дифференцируема в некоторой окрестности точки P0 и все её вторые частные производные непрерывны в точке P0. Введем обозначения: A=f''xx(x0,y0), B=f''xx(x0,y0), C=f''xx(x0,y0) D=AC–B2. Тогда: [1] если D>0, то функция z=f(х,у) имеет в точке Р0(x0,y0) экстремум, а именно – максимум при А<0 (С<0) и минимум при А>0 (С>0); [2] если D<0, то экстремум в точке Р0(x0,y0) отсутствует; [3] если D=0, то требуется дополнительное исследование.
В31.Вогнутость, выпуклость, точки перегиба графика функции. Условиях их существования
Определение: Пусть функция f(x) – дифференцируема в
точке х0, то она называется выпуклой (вогнутой) в верх
в точке х0, если f(x)-yкас<0 в О(х0)
Определение: Пусть функция f(x) – дифференцируема в
точке х0, то она называется выпуклой (вогнутой) вниз в
точке х0, если f(x)-yкас>0 в О(х0)
Определение: Пусть функция f(x) – дифференцируема в
точке х0, то она называется выпуклой (вогнутой) в верх
(вниз) на интервале (a,b), если она выпукла в верх (вниз)
в каждой точке этого интервала.
Определение: (точки перегиба) Пусть функция f(x) диф-
ференцируема в О(х0) и непрерывна в О(х0). Точка х0 –
называется точкой перегиба графика f(x), если при пере-
ходе через точку меняется знак выпуклости.
Теорема: (о достаточном условие выпуклости функции).
Пусть функция f(x) дважды дифференцируема в точке х0 и f’’(x0)<0 (f’’(x0)>0), тогда f(x) – выпукла вверх (вниз) в тоске х0.
Доказательство: Напишем формулу Тейлора с остаточным членом в форме пеано:
Если х близко к х0, то знак квадрата скобки определяется знаком f(x0). Если f’’(x0)<0, то f(x)-yкас>0 в О(х0).
Если f’’(x0)>0, то f(x)-yкас>0 в О(х0)
Теорема: Путь функция f(x) непрерывна в О(х0) и дважды дифференцируема в О(х0), причём f’(x) меняет знак при переходе через точку х0, тогда точка х0 – точка перегиба.
Доказательство:
f’’(x) - +
( ) x
x0
f’’(x)<0 в O-(x0) f(x) – выпукла вверх в О-(х0)
f’’(x)>0 в O+(x0) f(x) – выпукла вниз в О+(х0)
Следствие: Если f(x) дважды дифференцируемы в точке х0. Если точке х0 точка перегиба, то f’’(x0)=0
Путь точка х0 точка перегиба и существует f’’(x0)>0, тогда
то есть при переходе через точку х0 левая часть равенства f(x)-yкас не меняет знак. Аналогично получаем для f(x)>0 f’’(x0)=0
Замечание: Условие равенства f’’(x0)=0 необходимо, но недостаточно.
В32.Вертикальные и наклонные асимптоты графика функции.
Асимптоты.
-
Вертикальные
-
Наклонные асимптоты
2.1 Пусть функция f(x) определена в
, тогда прямая y=kx+b называется правой наклонной асимптотой для функции f(x). (Если k=0, то говорят, что y=b – горизонтальная асимптота).
2.2 Пусть функция f(x) определена в
, тогда прямая y=kx+b называется левой наклонной асимптотой для функции f(x).
Необходимые и достаточные условия существования наклонной асимптоты.
Пусть функция f(x) определена в О(+) и
тогда прямая y=kx+b правая наклонная асимптота
Замечание: если условие 1) не выполнено, то нужно посчитать предел lim(f(x)), чтобы выяснить поведение
х+
функции на бесконечности.
В33.Функции нескольких переменных: открытые множества, окресности, области.Пределы и непрерывность функции.
Предел и непрерывность ф-ции нескольких переменных.
Величина U наз-ся ф-цией переменных (x1,x2...xn), если каждой, рассматриваемой в совокупности этих величин соотв-ет 1 определенное значение величины U.
Пусть f(M)=M0(x10, x20,... xn0), M(x1, x2,... xn)
Ф-ция f(M)=f(x1, x2,... xn) имеет предел А при М0М, если каждому значению как угодно малого числа (дельта) соотв-ет, как угодно малое заданное число >0, если |M0M|=, то |f(M)-A|<
Ф-ция f(M) наз-ся непрерывной в точке М0, если б.м. приращению любого аргумента соответствует б.м. приращение ф-ции.
limf(x10, x20,... xn0)=limf(x1, x2,... xn)
x10 x1
x20 x2
1 (x-x0)-бесконечно малое при хх0
1 (∆x) – бесконечно малое при ∆х0, а (∆x)∆х – есть о∆х
1 Y – ордината касательной
a – x-x0 =∆x
1 (x-x0)=∆x
















