Краткие ответы на всю теорию за 1 семестр по матану (1017920), страница 5
Текст из файла (страница 5)
Теорема кантора Если функция непрерывна на [a,b] , то она равномерно непрерывна на [a,b] .
Равномерная непрерывность — одно из важнейших понятий математического анализа. Функция называется равномерно непрерывной на некотором множестве E, если:
Очевидно, что если функция равномерно непрерывна на E, то она непрерывна на нём, только в данном случае дельта не зависит от эпсилон. Но обратное верно далеко не всегда. Например, функция y=1/x в интервале (0, 1) не равномерно непрерывна, т. к. при любом эпсилон можно указать отрезок сколь угодно малой длины такой, что на его концах значения функции будут различаться больше, чем на эпсилон.Однако если функция «обычно» непрерывна на отрезке, то она и равномерно на нём непрерывна, об этом говорит теорема Кантора.
В16.Теорема Больцмана-Коши и Вейрштрасса о свойствах непрерывности на отрезке функции
Теорема Больцано-Вейерштрасса Из любой огран. посл-ти можно выбрать сход. подпосл-ть.
Док-во
1. Поскольку посл-ть ограничена, то m и M, такое что mxnM, n.
1=[m,M] – отрезок, в котором лежат все т-ки посл-ти. Разделим его пополам. По крайней мере в одной из половинок будет нах-ся бесконечное число т-к посл-ти.
2 – та половина, где лежит бесконечное число т-к посл-ти. Делим его пополам. По краней мере в одной из половинок отр. 2 нах-ся бесконечное число т-к посл-ти. Эта половина - 3. Делим отрезок 3 … и т.д. получаем посл-ть вложенных отрезков, длинны которых стремятся к 0. Согластно о т-ме о вложенных отрезках, единств. т-ка С, кот. принадл. всем отрезкам 1, какую-либо т-ку n1. В отрезке 2 выбираю т-ку xn2, так чтобы n2>n1. В отрезке 3 … и т.д. В итоге пол-ем посл-ть xnkk.
Теорема Больцано-Коши Пусть ф-ция непр-на на отрезке [a,b] и на концах отрезка принимает зн-ния равных знаков, тогда т-ка с (a,b) в которой ф-ция обращается в 0.
Док-во
Пусть Х – мн-во таких т-к х из отрезка [a,b], где f(x)<0. Мн-во Х не пустое. Х [a,b], значит х ограничено, поэтому оно имеет точную верхнюю грань. c=supx. acb покажем a<c<b по т-ме об уст. знака, поэтому ca, cb. Предположим f(c)=0, что это не так, тогда окрестность т-ки с в пределах которой ф-ция сохраняет знак, но это не можетбыть, т.к. по разные стороны т-ки с ф-ция имеет разный знак. f(с)=0.
Теорема Вейерштрасса Непрерывная ф-ция на отрезке ограничена.
Док-во Предположим что ф-ция не ограничена. Возьмем целое пол-ное n, т.к. ф-ция не ограничена, то найдется xn[a,b], такое что f(xn)>n. Имеем посл-ть т-к xn. По т-ме Больцано-Коши из посл-ти xn можно выбрать сходящиюся подпосл-ть xnkx0. По т-ме о предельном переходе к неравенству.
axnkb ax0b x0[a,b]
Если посл-ть xnk сходится к x0, то f(xnk) будет сходится f(x0)
f(xnk)>nk, a nkf(xnk), т.е. f(xnk) б/б посл-ть.
С одной стороны f(xnk) стремится к опр. числу, а с др. стороны стремится к , пришли к противоречию, т.к. мы предположим, что ф-ция не ограничена. Значит наше предположение не верно.
В17.Производная и ее свойства.
1. cp.=S/t, =lim(S/t), где t0
2. pcp.=m/l, pT=lim(m/l), где l0
y=f(x+x)-f(x), y=f(x)
lim(y/x)=lim((f(x+x)-f(x))/x)
x0 x0
О
пределение. Если отношение
имеет предел при
этот предел называют производной функции
при заданном значении
и записывают
Замечание. Если при некотором значении
, существует производная функции
при этом значении, то в этой точке функция непрерывна.
Смысл производной - это скорость изменения ф-ции при изменении аргумента.
y=f(x+x)-f(x), y=f(x). производной в точке а называется предел отношения приращения ф-ции к приращению аргумента:
lim(y/x)=lim((f(x+x)-f(x))/x)=dy/dx
x0 x0
Вычисление производной: lim(y/x)=y` x0
1) если y=x, y=x, y`=x=lim(y/x)=1.
2) если y=x2, y=(x+x)2-x2=x2+2xx+x2-x2=x(2x-x),
(x2)`=lim((x(2x+x))/x)=lim(2x+x)=2x
x0 x0
Геометрический смысл производной.
K
N=y, MK=x
MNK/tg2=y/x
вычислим предел левой и правой части:
limtg=lim(y/x) x0
tg0=y`
0
При x0 секущая MNзанять положение касательной в точке M(tg0=y`, 0)
Геометрический смысл производной заключается в том, что есть tg угла наклона касательной, проведенной в точке x0.
Теорема: (связи между непрерывностью функции и существование производной)
Пусть f’(x) функция f(x) – непрерывна.
Доказательство: Пусть f(x) определена в О(х0) и lim[f(x)-f(x0)]/(x-x0)=f’(x0)< [f(x)-f(x0)]/(x-x0)=f(x0)+(x-x0)1
∆xx
[f(x)-f(x0)]=f’(x0)(x-x0)+(x-x0)(x-x0) при хх0
lin[f(x)-f(x0)]=limf’(x0)(x-x0)+lim(x-x0)(x-x0)=0+0=0linf(x)=f(x0) то есть f(x) непрерывна в точки х0
xx xx xx xx
Замечание: обратное утверждение неверно, из-за непрерывности функции в точке х0 не следует существование функции в этой точки.
Пусть функция f имеет производную в точке х (конечную): limx0y/x=f'(x). Тогда y/x для достаточно малых x можно записать в виде суммы f'(х) и некоторой функции, которую мы обозначим через (x) и которая обладает тем свойством, что она стремится к нулю вместе с х: y/x=f'(x)+ (x) (при (x)0, x0) и приращение f в точке х может быть записано в виде y=f'(x)x+x(x) (при (x)0, x0) или y=f'(x)x+o(x)x0 [1]. Ведь выражение о(x)x0 понимается как функция от x такая, что её отношение к x стремится к нулю вместе с x.
Определение: Функция f наз. дифференцируемой в точке х, если её приращение y в этой точке может быть представлено в виде y=Ax+o(x)x0 [2],
где, А не зависит от x, но вообще зависит от х.
Теорема №2: Для того, чтобы функция f была дифференцируемой в точке х, т.е. чтобы её приращение в этой точке представлялось по формуле [2], необходимо и достаточно, чтобы она имела конечную производную в этой точке. И тогда A=f'(x).
Таким образом, сказать, что f имеет производную в точке х или f дифференцируема в точке х – это одно и то же. Поэтому процесс нахождения производной наз. ещё дифференцированием функции. Доказательство теоремы №1: Достаточность условия доказана выше: из существования конечной производной f'(х) следовала возможность представления y в виде [1], где можно положить f'(x)=A. Необходимость условия: Пусть функция f дифференцируема в точке x: Тогда из [2], предполагая x0, получаем y/x=A+(o(x)/x)x0=A+o[1]x0. Предел правой части при x0 существует и равен А: Это означает, что существует производная f'(x)=A.
1. Производная алгебраической суммы равна алгебраической сумме производных.
.
Покажем это. Пусть некоторая функция у, равная
имеет приращение
. Тогда функции
и
тоже должны получить приращения
и
, соответственно. Новое значение
будет
, а для
–
, следовательно,
Найдем
по определению (2) производной
2. Производная произведения равна
. Покажем справедливость этого равенства.
Если, как в первом случае, дать
приращение
, то функции u и v также получат приращение, следовательно, и функция
тоже изменится. Найдем
.
По определению производной
Если необходимо вычислить производную нескольких сомножителей, например,
, если все три функции имеют производные в точке
, используя правило вычисления производной для двух сомножителей, получим
3. Производная частного. Рассмотрим функцию
, причем, кроме существования производных в точке
для функций
и
необходимо положить, что
в точке
отлична от нуля. Найдем
.
и тогда из определения производной имеем
. Пример. Показать, что
. Решение. Используя производную частного
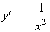
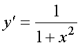
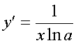
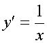
18.Производная основных элементарных функций
|
| |
|
|
|
| |
|
|
|
|
|
|
|
|
| |
|
|
|
| |
|
|
|
|
|
|
|
|
| |
|
|
|
|
|
|
|
|
|
|
|
|
|
|
|
|
|
19.Производная обратной функции. Производные обратных тригонометрических.
Производная обратной функции:
Пусть функция у=f(х) строго возрастает, непрерывна на интервале (а,b) и имеет конечную не равную нулю производную f'(х) в некоторой точке х(a,b). Тогда обратная для f функция х=f–1(у)=g(y) также имеет производную в соответствующей точке, определяемую равенством g'(y)=1/f'(x) [1] или x'y=1/y'x [1'] Доказательство: Как нам известно, обратная функция x=g(y) строго возрастает и непрерывна на интервале (A,В), где A=inf f(x), В=sup f(x)
x(a,b) x(a,b)
(По теореме о обратной непрерывной функции: Пусть функция f непрерывна и строго возрастает на (a,b) (или на [a,b), или (a,b]) и =inf f(x), =sup f(x)
x(a,b) x(a,b)
















