Краткие ответы на всю теорию за 1 семестр по матану (1017920), страница 7
Текст из файла (страница 7)
Таким образом, получаем уравнение касательной y=f ¢(x
)×x +y
- f ¢(x
)×x
или
| y = f ¢(x |
Если касательная, проходящая через точку М(х
,
) параллельна оси ординат (т.е. производная в этой точке не существует), то ее уравнение х=х
.
Н
аряду с касательной к кривой в данной точке часто приходится рассматривать нормаль.
Нормалью к кривой в данной точке называется прямая, проходящая через эту точку перпендикулярно к касательной в данной точке.
Из определения нормали следует, что ее угловой коэффициент
связан с угловым коэффициентом касательной к равенством:
= tg b = tg(90° + a) = - ctg a =
=
=
.
Учитывая, что нормаль также как и касательная проходит через точку М(х
, у
), то уравнение нормали к кривой y=f(x) в данной точке М имеет вид:
| y = |
Ясно, что если касательная параллельна оси Ох, т.е. f ¢(x
)=0 и ее уравнение имеет вид у=у
, то нормаль в этой же точке будет перпендикулярна оси Ох. Значит, ее уравнение имеет вид х=х
.
В23.Производные и дифференциалы порядка выше первого функции одной переменной. Нарушение инвариантности форм записи. Линейная замена переменной. Производные функции, заданной параметрически.
Существует f’(x) x(a,b), тогда эта производная сама является функцией х (х)=f’(x) и можно ставить о дифференцируемости этой функции.
Существует ’(x) x(a,b), то мы называем её второй производной ’(x)f’’(x)
Диф.высших порядков не инвариантен: d2 y=d(F’(u)du) Но здесь du=g’(x)dx зависит от х и поетому мы получаем d2y=d(F(u))du+F’(u)d(du) или d2y=F’’(u)(du)2+F’(u)d2u где d2u=g’’(x)(dx)2
Дифференцирование функций, заданных параметрически
Пусть функция задана параметрическими уравнениями
,тогда
, или
риме:
В24.Точка монотонности функции и достаточное условие их существования.Точки экстремума функции.Необходимое условие экстремума функции..
Если x2>x1, f(x2)>f(x1), то ф-ция монотонно возрастает
Если x2>x1, f(x2)<f(x1), то ф-ция монотонно убывает
Монотонность - постоянство
Необходимые признаки:1)если ф-ция f(x) всюду в интервале возрастает, то ее производная в этом интервале неотрицательна (f`(x)>=0)
2)если ф-ция f(x) всюду в интервале убывает, то ее производная в этом интервале неположительная (f`(x)<=0)
3)если ф-ция f(x) всюду в интервале постоянна, то ее производная в этом интервале =0 (f`(x)=0)
Достаточные признаки монотонности: 1)если f`(x) в интервале положительна, то ф-ция f(x) возрастает в этом интервале.
2)если f`(x)<0, то ф-ция f(x) возрастает в этом интервале.
3)если f`(x)=0, то ф-ция f(x)=const на интервале.
x1<a<x2, x2-x1>0, x2>x1
1. если f`(a)>0, то f(x2)>f(x1)
2. если f`(a)<0, то f(x2)<f(x1)
3. если f`(a)=0, то f(x2)=f(x1)
Точка х называется точкой max ф-ции, если значение ф-ции в этой точке - наименьшее в некоторой ее окрестности.
1- локальный max
2- локальный min
3- глобальный max
4- глобальный min
если tg>0, то f`(x)>0
если tg<0, то f`(x)<0
Необходимый признак экстремума: ф-ия f(x) может иметь max и min только в тех точках, в которых f`(x)=0 или не существует.
(В них можно построить касательных).
Достаточный признак: точка х0 является точкой экстремума, если ее производная в этой точке меняет знак:
- если с “+” на “-”, то х0- т. max
- если с “-” на “+”, то х0- т. min
В25 Теорема Роля и ее геометрический смысл.
Теорема (Ролля):
Пусть функция y=f(x) непрерывна на отрезке [a,b] и дифференцируема на (a,b). Кроме того на концах интервала она принемает равные значения f(a)=f(b), тогда с(a,b): f(c)=0
Доказательство: Така как функция непрерывна на отрезке [a,b], то по второй теореме Вейштрасса есть наибольшее и наименьшее значение (m,M), если m=M, то f(x)const (x[a,b]) (const)’=0.
Пусть m<M, тогда либо m, либо М отлична от значений на концах отрезка. Пусть например Mf(a): c(a,b):f(c)=M, то есть точка с точка экстремума максимума следовательно по теореме Ферма f’(c)=0
Замечание: условие дифференцируемсти нельзя отбросить.
непрерывна на отрезке [a,b]
Геометрический смысл.
f’(x)=0, то касательная оси х. Теорема не утверждает, что это единственная точка.
В26.ТеоремаЛангранжа и Коши о диф.на отрезках функциях.
Теорема Лангранджа:
Пусть функция y=f(x) непрерывна на отрезке [a,b] и дифференцируема на отрезке (а,b), то с(a,b): f(b)-f(a)=f(c)(b-a)
Доказательство:
F(x)=f(x)+x где - пока неизвестное число.
F(x) – непрерывна на отрезке [a,b] как сумма непрерывной функции
f(x) – дифференцируема на отрезке [a,b] как сумма дифференцируемой функции.
Выберем число , так чтобы на отрезке [a,b] F(x) принимало равное значение.
F(a)=f(a)+a
F
(b)=f(b)+b
F(a)=F(b) f(a)-f(b)=(a-b) =[f(b)-f(a)]/[b-a]
F(x) – удовлетворяет условию теоремы Роллера на отрезке [a,b] c(a,b):F’(c)=0, то есть F’(x)=f’(x)+ 0=f’(c)+ f’(c)=-=[f(b)-f(a)]/[b-a] То есть на кривой которая наклонена к оси х под таким же углом как и секущая [f(b)-f(a)]/[b-a]=tg=f(x) c(a,b) Замечание:Часто точку с можно представить в
нужном виде: с=х0+∆х 0<(c-x0)/(x-x0)= <1 c-x0=(x-x0) c=x0+(x-x0)1 f(x)-f(x0)=f’(x0+∆x)(x-x0) 0<<1 ∆f(x0)=f’(x0+∆x)∆x
Если f(x), g(x) удовл. трем условиям:
1). f(x), g(x) непрерыв. на промеж [a,b]
2). f(x), g(x) деффер. на интервале (a,b)
3). g’(x)0 на интер. (a,b), то сущ. т. с
: Отметим прежде всего, что g(b)g(a), так как по теореме Ролля для функции g(x)
F(x)=(f(x)-f(a)) (g(b)-g(a))-(f(b)-f(a))(g(x)-g(a)) –вспомогательная фун-я
Требуем:1.F(x) определена и непрерывна на всем [a;b]т.к. она линейная кобминация непрерывных.2.F(x) дифференцируема на всем промежутке т.к. коомб. 3. F(a)=0 F(b)=0
F(a)=F(b)=0 – все условия т.Ролля => внутри [a;b] есть С, где F’(C)=0 выразим это f’(x)(g(b))-g(a))-(f(b)-b(a))g’c=0
Справедлива, тюк. g(b)!=g(a)по Ролю
В27.Правило Лопиталя.
Правила Лопиталя.
Это правило в случае дифференцируемости функции позволяет избавляться от неопределённостей типа 0/0 или / при вычисление пределов.
Теорема: Пусть функции f(x) и g(x) дифференцируемы в О(х0), g’(x0)0 в О(х0), f(x0)=g(x0)=0 и
lim f’(x)/g’(x)=k (конечный или бесконечный предел), тогда lim f(x)/g(x)=lim f’(x)/g’(x)=k
xx xx xx
Доказательство: lim f(x)/g(x)=lim [f(x)-f(x0)]/g(x)-g(x0)=lim f’(c(x))/g’(c(x))= c=c(x) лежащая между х их0 если
xx xx xx
хх0 то сх0=lim f’(x)/g’(x)=k
xx
Замечание(1): f(x0)=g(x0)=0 требование можно заменить требованием lim f(x)=0, lim g(x)=0, то есть в т х0 f(x) и
xx xx
g(x) могут иметь устранимый разрыв, действительно достаточно переопределить или доопределить f(x) и g(x) по непрерывности, так чтобы f(x0)=g(x0)=0
Замечание(2): Если f’(x0) и g’(x0), g’(x0)0, то утверждение теоремы будет:
lim f(x)/g(x)=lim f’(x)/g’(x)=lim [(x-x0)(f’(x0)+(x-x0))]/ [(x-x0)(g’(x0)+ (x-x0))]=f’(x0)/g’(x0)
xx xx xx
Теорема: (/) Пусть функции f(x) и g(x) непрерывны в О(х0), g'(x)0 и О(х0), дифференцируемы в О(х0) и
lim f(x)=lim g(x)=; lim f’(x)/g’(x)=k. Тогда lim f(x)/g(x)=lim f’(x)/g’(x)=k
xx xx xx xx xx
Без доказательства!
Замечание: Если функции f’(x) и g’(x) сами удовлетворяют условия теоремы то правило Лопиталя можно применить повторно:
f(x)=ex g(x)=xn x
lim ex/xn= lim ex/1!= nN lim ex/xn= lim ex/nxn-1= lim ex/[n(n-1)xn-2]=lim ex/n!=+
x
+ x+ x+ x+ x+ x+
f(x)=lnx
x+
g(x)=xn
lim lnx/xn= lim (1/x)/nxn-1= lim 1/nxn=0
x+ x+ x+
В28.Формула Тейлора с остаточным членом в форме Лангранжа.
Пусть на интервале [a, b] функция f(x) дифференцируема n раз и выполняются следующие равенства:
f(a) = f(b) = f '(a) = f ''(a)= ... = f (n-1)(a)=0
Тогда внутри интервала [a, b] найдется хотя бы одно значение с, при котором
f (n)(c) = 0
Доказательство. По теореме Ролля имеем
f '(x0 ) = 0,
где a < x0 < b. Тогда f '(x) на интервале [a, x0] удовлетворяет теореме Ролля, так как, по условию, f '(a) = 0 и f '(x0 ) = 0, а потому
f ''(x1 ) = 0,
где a < x1 < x0.
Применяя теорему Ролля последовательно к функциям f ''(x), f '''(x), ..., f (n-1)(x), найдем наконец:
f (n)(с) = 0,
где a < c < xn-1 < b . Теорема доказана.
Выведем теперь формулу Тейлора с остаточным членом в форме Лагранжа.
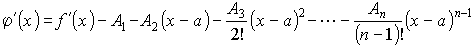
Пусть функция f (x) дифференцируема n раз на интервале [a, b].
Рассмотрим вспомогательную функцию
(x) = f (x) - P (x),
где
Продифференцируем n раз функцию (x). Тогда будем иметь
. . . . . . . . . . . . . . . . . . . . . . . . . . . .
(n-1)(x) = f(n-1)(x) - An-1 - An(x - a),
(n)(x) = f(n)(x) - An
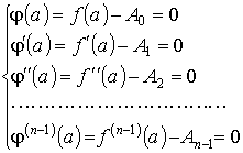
Потребуем, чтобы функция (x) удовлетворяла условиям обобщенной теоремы Ролля. Тогда будем иметь
(1)
.
Так как функция (x) удовлетворяет условиям обобщенной теоремы Ролля, то найдется такое значение с (a < c < b), что
(n)(с) = f(n)(с) - An = 0 (2)
Далее найдем из n первых уравнений системы (1) коэффициенты A0 , A1 , ..., An-1:
















