5Simulation systems Лекция 7-9 ОДУ (1014124)
Текст из файла
Столярчук В.А. “Системы моделирования”. Материалы к лекциям. Лекция№7
Лекция № 7-9
3. Математические модели в виде обыкновенных дифференциальных уравнений
Оглавление
3. 1. Обыкновенные дифференциальные уравнения. Основные понятия. 1
3.2. Составление дифференциальных уравнений. 4
3. 3. Аналитические методы решения обыкновенных дифференциальных уравнений 11
3.4. Задача Коши и обзор численных методов решения задач математический физики, описываемых обыкновенными дифференциальными уравнениями 19
3.4.1.Примеры построения задачи Коши 19
3.4.2. Одношаговые методы решения задачи Коши 26
3.4.2. Методы прогноза и коррекции 32
3.4.4. «Жесткие» задачи 39
3.5. Краевые задачи и обзор методов их решения 40
3.6.Общие рекомендации по решению обыкновенных дифференциальных уравнений. 41
3. 1. Обыкновенные дифференциальные уравнения. Основные понятия.
Обыкновенным дифференциальным уравнением называется уравнение, связывающее одну независимую переменную x, искомую функцию y(x) и ее производные.
Например,
;
Дифференциальное уравнение всегда дополняется начальным условием.
Например, y(0)=2. Если их два и более, то их называют граничными
условиями
Общая запись обыкновенного дифференциального уравнения есть:
(1)
где x – независимая переменная; y(х) – искомая функция;
Решением дифференциального уравнения называется функция y(x), которая при подстановке ее вместе с производной в это уравнение превращает его в тождество.
Дифференциальные уравнения находят широкое применение при решении разнообразных задач физики, техники, химии, биологии, экономики и т.д. Это связано с тем, что многие законы естествознания, описывающие фундаментальные процессы и явления, протекающие в природе, формулируются на языке дифференциальных уравнений.
Например, математическим выражением второго закона Ньютона, описывающего движение тела под действием приложенных к нему сил, является равенство между собой производной импульса тела по времени и равнодействующей приложенных сил.
К другим приложениям дифференциальных уравнений относятся:
1) изучение процессов, протекающих в микромире;
2) исследование взаимодействий заряженных частиц с электрическими и магнитными полями;
3) вычисление траекторий движения спутников и планет;
4) расчет теплопроводности твердых тел и газов;
5) выяснение характера протекания химических реакций;
6) описание эволюции биологических объектов;
7) разработка математических моделей в экономике;
8) создание теории оптимального управления.
Вышеперечисленные примеры отнюдь не исчерпывают всего многообразия процессов, изучение которых связано с исследованием и решением дифференциальных уравнений.
Итак, под обыкновенным дифференциальным уравнением (ОДУ) понимается уравнение для функции одной переменной, содержащее производную этой функции. При этом сама функция и независимая переменная могут и не входить в уравнение явным образом. Порядок дифференциального уравнения определяется порядком старшей производной, содержащейся в уравнении.
Дифференциальное уравнение первого порядка записывается так:
(2)
Уравнение, разрешенное относительно производной имеет вид:
(3)
Дифференциальное уравнение вида (3) где f – заданная функция, называется разрешенным относительно старшей производной.
Процедура нахождения решений y(x) дифференциального уравнения называется интегрированием уравнения.
Любое дифференциальное уравнение имеет бесконечное множество решений.
Вернемся к уравнению, разрешенному относительно производной, т.е.
Общим решением дифференциального уравнения называется непрерывно дифференцируемая функция y(х), зависящая от переменной x и от произвольного параметра C, которая является решением уравнения в некоторой области при любых допустимых значениях параметра C.
Решение, например, совсем простого уравнения
(4)
рассматривается в курсе интегрального исчисления.
В этом простейшем случае общее решение:
(5)
содержит произвольную постоянную, которая может быть определена, если известно какое-либо значение функции (граничное или начальное условие).
Например,
. (6)
Тогда
(7)
Т.о. подстановка вместо с конкретного значения дает частное решение уравнения (4)
Во многих задачах, в частности почти во всех задачах геометрического характера, переменные x и y совершенно равноправны. Поэтому в таких задачах, если они сводятся к решению дифференциального уравнения
, естественно наряду с этим уравнением рассматривать также уравнение
.
График функции, построенный при некотором фиксированном значении параметра C, называется интегральной кривой. Общему решению уравнения (5) соответствует семейство интегральных кривых, полученных при различных значениях параметра C.
Дифференциальное уравнение
устанавливает зависимость между координатами точки и угловым коэффициентом каксательной
к графику функции y(x) в той же точке. Зная x и y можно вычислить
.
Следовательно, дифференциальное уравнение рассматриваемого вида определяет поле направлений (рис.1) и задача интегрирования дифференциального уравнения заключается в том, чтобы найти кривые, называемые интегральными кривыми, направление касательных к которым в каждой точке совпадает с направлением поля.
Начальные условия. Обычно наибольший интерес представляет решение, удовлетворяющее дополнительному условию или условиям. Такие условия называются начальными условиями и заключаются в указании поведения решения в некоторой точке или в непосредственной окрестности точки.
Начальные условия, например (6), используются для нахождения значения параметра C, подстановка которого в общее решение дает соответствующее частное решение. Задача о нахождении решения дифференциального уравнения, удовлетворяющего заданным начальным условиям (или условию), называется задачей Коши:
Если вся область покрыта интегральными кривыми, которые нигде не пересекаются между собой, то задача Коши имеет единственное решение. Решить (или проинтегрировать) дифференциальное уравнение означает найти его общее решение или же решить задачу Коши. Уравнение (5) определяющее общее решение в виде неявно заданной функции, называется общим интегралом дифференциального уравнения. Подстановка вместо константы C числового значения приводит к частному интегралу (7).
3.2. Составление дифференциальных уравнений.
Дифференциальное уравнение, полученное в результате исследования некоторого явления или процесса, называют математической дифференциальной моделью этого процесса. Построение дифференциальных моделей обычно основано на определении производной, её геометрическом или механическом смысле и, как правило, требует знания законов той области науки, с которой связана природа решаемой задачи.
Задача 1.
Точка массы m движется прямолинейно под действием силы, которая равномерно убывает с течением времени t и через Т секунд обращается в нуль. Определить уравнение движения S(t), если известно, что в начальный момент движения величина силы была равна Fo
Составление ДУ и решение.
По условию задачи движение происходит под действием силы
, (а)
где k – коэффициент пропорциональности. По второму закону Ньютона
и, следовательно, уравнение (а) перепишется в следующей форме:
По условию задачи F=0 при t=T. Это позволит найти k из уравнения
, откуда
Таким образом, уравнение (а) предстанет в виде:
Задача 2.
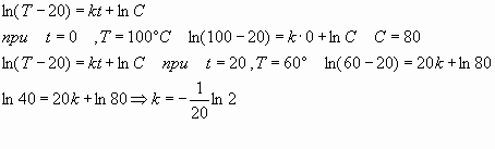
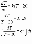
В комнате, где температура 200С , некоторое тело остыло за 20 мин. от 1000 до 600С. Найдите закон охлаждения тела; через сколько минут оно остынет до 300С?
Повышением температуры в комнате пренебречь.
Составление ОДУ и решение.
В силу закона Ньютона (скорость охлаждения пропорциональна разности температур тела и охлаждающей среды) можем записать:
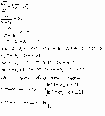
Задача 3.
Криминалисты, прибыв на место преступление, обнаружили труп человека, температура тела которого была 270. Через один час температура трупа стала 250. Температура окружающего воздуха 160. Считая, что в момент убийства человек имел температуру тела 370, определите промежуток времени между моментом убийства человека и моментом обнаружения его тела.
Составление ДУ и решение.
Задача 4.
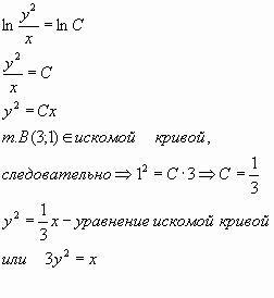
Напишите уравнение кривой, проходящей через точку В(3;1), для которой отрезок касательной между точкой касания и осью Ох делится пополам в точке пересечения с осью Оу.
Решение:
Задача 5.
Парашютист падает под действием силы тяжести. Сопротивление воздуха пропорционально скорости его падения, вначале падения он находился на высоте
и в состоянии покоя. Найти закон изменения высоты парашютиста над уровнем земной поверхности.
Решение. Воспользуемся вторым законом Ньютона:
. Выберем вертикальное направление оси. Тогда
. Сила тяжести направлена в отрицательном направлении, а сила сопротивления воздуха направлена в сторону, противоположную скорости падения. Таким образом, равенство
принимает вид:
. Известно, что ускорение является производной от скорости
, тогдаполучаем следующее дифференциальное уравнение
, т. е.
По условию известно, что
. Разделяя переменные в уравнении (1) и интегрируя, находим:
далее
Характеристики
Тип файла документ
Документы такого типа открываются такими программами, как Microsoft Office Word на компьютерах Windows, Apple Pages на компьютерах Mac, Open Office - бесплатная альтернатива на различных платформах, в том числе Linux. Наиболее простым и современным решением будут Google документы, так как открываются онлайн без скачивания прямо в браузере на любой платформе. Существуют российские качественные аналоги, например от Яндекса.
Будьте внимательны на мобильных устройствах, так как там используются упрощённый функционал даже в официальном приложении от Microsoft, поэтому для просмотра скачивайте PDF-версию. А если нужно редактировать файл, то используйте оригинальный файл.
Файлы такого типа обычно разбиты на страницы, а текст может быть форматированным (жирный, курсив, выбор шрифта, таблицы и т.п.), а также в него можно добавлять изображения. Формат идеально подходит для рефератов, докладов и РПЗ курсовых проектов, которые необходимо распечатать. Кстати перед печатью также сохраняйте файл в PDF, так как принтер может начудить со шрифтами.
















