Белов - БЖД (1006305), страница 44
Текст из файла (страница 44)
Если устанавливается годовое значение К4, то
T=MXY-Z,
где М–численность работающих; X, Y и Z–соответственно длительность рабочего дня, число отработанных в году дней и потери рабочего времени вследствие отпусков, прогулов, болезни, несчастных случаев и т д.
Например, если на предприятии в течение года (допустим, в году 300 рабочих дней) работало 950 человек (рабочий день ранен 8 ч), за это время наступило 100 несчастных случаев и было потеряно по разным причинам 30 000 рабочих дней, то -Т = 950∙300∙8–30000∙8 = 2 040 000 ч, N. =10-6·2 040 000 == 2,04 нc, К4 = 100/2,04 = 49,02.
Показатель тяжести несчастных случаев (коэффициент нетрудоспособности)
Kн=Д/д*, (4.55)
где Д–число всех дней нетрудоспособности; Д*=βтТ–реперное число нетрудоспособных дней; Ву= 10-3 дн/ч.
Допустим, что при условиях, изложенных в предыдущем примере, 100 несчастных случаев привели к потере 3000 рабочих дней. Тогда, реперное число Д* = 10-3(950·300x х8–30 000-8) == 2040 дней, Кн = 3000/2040 = 1,47
Коэффициент тяжести несчастных случаев определяется как число всех дней нетрудоспособности, приходящееся на один несчастный случай:
Кт=Д/Т
(4.56)
При расчетах характеристик несчастных случаев (4.54)...(4.56) возникает вопрос: как быть, если среди несчастных случаев были такие, которые привели к летальному исходу или полной потере трудоспособности? Ответ на этот вопрос пытаются дать путем установления эквивалента, который бы приводил летальный исход к числу нетрудоспособных дней. Ориентировочно и неофициально полагают, что один летальный исход может быть приравнен к 6000–7500 дням потери работоспособности Так, если в предыдущем примере к 100 несчастным случаям добавим один летальный исход, получим Кн=е (6000 + 3000)/2040 =4,41, т.е. показатель тяжести увеличится в 3 раза, а коэффициент частоты незначительно (станет равным 50,25). Однако в настоящее время показатели несчастных случаев обычно рассчитывают отдельно для летальных и нелетальных исходов.
Коэффициент частоты несчастных случаев с летальным исходом [ли/чел∙4)]:
Кл=Nл/(МТ)
(4 57)
где Nл –число летальных исходов, обычно полагают МТ= 108 чел *ч, что соответствует расчетному времени, когда 1000 человек работают по 40 ч в неделю в течение 50 недель в году и в течение 50 лет. Значения коэффициента Кл приведены ниже.
Кл,ли/(чел*4)
Горные работы 30·10-8
Транспорт 30·10-8
Строительство 20·10-8
Добыча нерудных полезных ископаемых 10·10-8
Эксплуатация газопроводного оборудования и гидротехнических
сооружений 6·10-8
Металлургическая промышленность 6·10-8
Деревообделочные работы 6·10-8
Пищевая промышленность 6·10-8
Цсллюлозно-бумажная и полиграфическая промышленность 5·10-8
Электротехника, точная механика, оптика 4·10-8
Работы, связанные с химическими веществами 4·10-8
Торговля, финансы, страхование, коммунальные услуги 4·10-8
Текстильная и кожевенно-обувная промышленность 3·10-8
Здравоохранение___________________________ 2·10-8
Среднее значение для 20,2 млн застрахованных 7·10-8
4.4. АНАЛИЗ ПОСЛЕДСТВИЙ ЧЕПЕ
Оценка опасности становится полной лишь тогда, когда последствия потенциального чепе ясно представляются. Прежде чем планировать предупредительные мероприятия, необходимо знать, какое потенциальное повреждающее действие окажет данное чепе на персонал, население, материальные ценности и окружающую среду. Поэтому анализ последствий чепе (АПЧ) может включать следующее:
– описание потенциальных чепе;
– оценку их вероятностей;
– количественную оценку возможных последствий, например, проливов и выбросов, обладающих повреждающими свойствами (токсичностью, взрываемостью и т д);
– расчет рассеивания выбросов и испарение проливов;
– оценку других повреждающих факторов (радиации, ударной волны, излучений и т. д);
– суммарную оценку ущерба.
Если первые два пункта могут быть выполнены, исходя из результатов анализа опасностей, выполненного ранее описанными методами, то для выполнения других пунктов нужно использовать специальные модели.
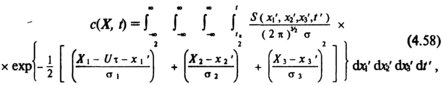
Большой класс задач связан с выбросом в атмосферу радиоактивных и других химических веществ. Чтобы оценить последствия такой аварии, необходимо уметь рассчитывать поля концентраций. Если примесь выбрасывается в поток, движущийся с постоянной средней скоростью U вдоль оси ОХ1 декартовой системы координат, то теоретико-вероятностное среднее значение концентрации с в точке Х в момент времени t
где S(x , t') – производительность источника в точке х' в момент t’ (единиц примеси на единицу объема за единицу времени), σi = σi(τ) – стандартные отклонения (i = 1, 2, 3, τ= t–t'), |σ| = σ1σ2σ3
В табл 4 18 приведены некоторые решения этого уравнения. В расчетные соотношения входят стандартные отклонения σδi, которые необходимо предварительно определить Для стационарных источников значения σ2, σ3 представляют собой характеристики горизонтального (перпендикулярно направлению движения) и вертикального расширения струи. Они задаются в зависимости от расстояния от источника в направлении движения ветра и зависят от устойчивости атмосферы, т е ее турбулентности, которая определяет поле ветра, переносящее и рассеивающее примесь Категории устойчивости даны в табл. 4.19. Значения отклонений приведены на рис. 4.32. для периодов времени порядка 10 мин вблизи поверхности Земли (обычно на высоте 10 м). Скорость ветра U высоте хз приближенно можно определить по формуле U=Uh(x3/h)α где Uh –скорость ветра на высоте h; показатель α, зависящий от атмосферных условий и шероховатости поверхности, можно принять равным 0,16; 0,28 и 0,4 соответственно для территории открытого пространства, при наличии пригорода и в условиях города.
Таблица 4.18. Расчетные соотношения для полей концентраций от некоторых источников
* А, В, С – атмосфера соответственно сильно, умеренно, слегка неустойчива, D – нейтральная, Е, F–слегка и умеренно устойчивая
** Сильная инсоляция соответствует высоте Солнца φ≥60° над горизонтом при ясном небе, слабая инсоляция, если 15° φ < 35°.
*** Облачность определяется как часть неба над местным видимым горизонтом, покрытая облаками
**** Нейтральная категория D соответствует также случаю сплошной облачности днем
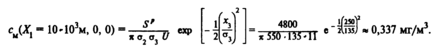
О
пределить максимальную концентрацию на расстоянии 10 км от городского стационарного источника производительностью 4800 г/с, если эффективная высота выброса 250 м, скорость ветра 3 м/с на высоте 10 м, погодные условия –сплошной облачный покров
Рис 4 32 Стандартные отклонения в зависимости от расстояния от источника и категории устойчивости погоды:
а –для поперечного и горизонтального, б–для вертикального распределений концентрации
Выбрав оси, как показано на рис 4 33, воспользуемся формулой (III) табл 4 18 Выброс происходит в точке с координатами х1 =0, х2 = 0, х3 = 250 м Максимальная концентрация см на расстоянии Х1 = 10·103 м достигается на поверхности земли (Xз = 0) по оси струи (Х2 = 0). Для условий города U= 3(250/10)°'4 = 11 м/с. Время r = X1/U = 900 с, что будем считать близким к периоду времени, для которого справедлива формула. Из табл. 4.19 находим, что сплошной облачный покров соответствует категории D. По рис. 4.32 определяем g^(x\ sss 10-Ю3 м)« 550 м, огз(Л'1 = 1(Н03 м) = 135 м. ОткудаД
ля представления результатов АПЧ можно использовать как форму табл. 4.20.
Рис 4 33 Выбранная система координат
Таблица 4.20. Вариант представления результатов анализа последствий чепс
5. СРЕДСТВА СНИЖЕНИЯ ТРАВМООПАСНОСТИ
ТЕХНИЧЕСКИХ СИСТЕМ
5.1. ВЗРЫВОЗАЩИТА ТЕХНОЛОГИЧЕСКОГО ОБОРУДОВАНИЯ
Ни одно производство не обходится без использования систем повышенного давления (трубопроводов, баллонов и емкостей для хранения или перевозки сжатых, сжиженных и растворенных газов, газгольдеров и т. д.). Любые системы повышенного давления всегда представляют потенциальную опасность.
Причинами разрушения или разгерметизации систем повышенного давления могут быть: внешние механические воздействия, старение систем (снижение механической прочности); нарушение технологического режима; конструкторские ошибки; изменение состояния герметизируемой среды; неисправности в контрольно-измерительных, регулирующих и предохранительных устройствах; ошибки обслуживающего персонала и т. д.
Взрывозащита систем повышенного давления достигается организационно-техническими мероприятиями; разработкой инструктивных материалов, регламентов, норм и правил ведения технологических процессов; организацией обучения и инструктажа обслуживающего персонала; осуществлением контроля и надзора за соблюдением норм технологического режима, правил и норм техники безопасности, пожарной безопасности и т. п. Кроме того, оборудование повышенного давления должно быть оснащено системами взрывозащиты, которые предполагают:
–
применение гидрозатворов, огнепреградителей, инертных газов или паровых завес;
– защиту аппаратов от разрушения при взрыве с помощью устройств аварийного сброса давления (предохранительные мембраны и клапаны, быстродействующие задвижки, обратные клапаны и т. д.).
Рассмотрим средства обеспечения безопасности основных элементов систем повышенного давления.
Чтобы внешний вид трубопровода указывал на свойства транспортируемого вещества, введена их опознавательная окраска (ГОСТ 14202–69):
Рис 5.2. Гидрозатвор открытого типа:
а – нормальная работа, б – при воспламенении, 1 – корпус, 2–воронка, 3–вентиль. 4–газоподводящая трубка, 5–предохранительная трубка, 6– ниппель, 7–контрольный кран, 8–рассекатель
| Вода . . ....... | зеленый | Кислоты ......... | оранжевый |
| Пар . ...... | красный | Щелочи ......... | фиолетовый |
| Воздух ......... | синий | Горючие и негорючие | коричневый |
| Горючие и негорючие газы | желтый | Прочие вещества ..... | серый |
Для выделения вида опасностей на трубопроводы наносят предупреждающие (сигнальные) цветные кольца, количество которых определяет степень опасности. Так, на трубопроводы взрывоопасных, огнеопасных, легковоспламеняющихся веществ наносят красные кольца, безопасных или нейтральных веществ –зеленые, токсичных веществ –желтые. Для обозначения глубокого вакуума, высокого давления, наличия радиации используют также желтый цвет.
Все трубопроводы подвергают гидравлическим испытаниям при пробном давлении на 25 % выше рабочего, но не менее 0,2 МПа.
Кроме испытаний водой на прочность газопроводы, а также трубопроводы для токсичных газов испытывают на герметичность воздухом при пробном давлении, равном рабочему. Отсутствие утечки воздуха из соединений проверяют мыльным раствором или погружением узлов в ванну с водой.
Газопроводы прокладывают с небольшим уклоном в сторону движения газа, а буферную емкость снабжают в нижней части спускной трубой с краном для систематического удаления водяного конденсата и масла. Паропроводы снабжают конденсатоотводчиками, которые позволяют предотвратить возникновение гидравлических ударов и пробок. Во избежание возникновения напряжений от тепловых деформаций, особенно в наземных газопроводах, устраивают специальные компенсаторы в виде П-образного участка.















