Качество в индустрии услуг и стандарты обслуживания
ТЕМА 4
Качество в индустрии услуг и стандарты обслуживания
Изменчивость услуги как основная проблема обеспечения постоянства качества. Определение и показатели качества услуги. Модель качества услуг. Пятиступенчатая модель качества обслуживания. Способы повышения качества услуги. Стандарт обслуживания и процедура его разработки. Качество услуги как конкурентное преимущество компании. Изучение удовлетворенности клиента после процесса оказания услуги.
Неизбежным последствием одновременности производства и потребления услуги является изменчивость качества исполнения услуги. В компаниях сферы услуг, особенно в периоды повышенного спроса, очень трудно обеспечить контроль качества. В то же время, если рассматривать предприятия обслуживания с точки зрения динамики их развития, качество будет оказывать самое большое влияние на их жизнеспособность.
Существует ряд походов к определению качества.
Первоначально качество измерялось числом дефектов или ошибок, приходящихся на единицу того или иного продукта.
Качество может трактоваться как соответствие спецификациям, это действие, контролируемое фирмой.
Рекомендуемые материалы
Качество - способность удовлетворить или превысить ожидания клиента.
Качество может пониматься как свойства и характерные особенности услуги, которые вызывают удовлетворение потребителя, а также как отсутствие недостатков, усиливающее чувство удовлетворения у клиента.
Качество подразумевает однородность предоставляемых услуг в соответствии с ожидаемыми стандартами.
Качество - динамичная категория: с развитием рынка, конкуренции, расширением палитры предложения требования потребителей к стандартам качества постоянно меняются в сторону повышения.

В январе 1990 г. гостиница Hampton Inns стала рекламировать гарантию качества обслуживания. Клиенту, не удовлетворенному уровнем обслуживания, предлагалось вообще не платить за проживание. В 1991 г. Hampton Inns от клиентов, привлеченных объявленной гарантией, получила 18 млн. долл., а уровень выплат неудовлетворенным клиентам составил лишь 350 тыс. долл. В гостинице понимают, что гарантии могут привести к финансовому краху компании, если не предоставлять гостям удовлетворяющих их услуг. Предусмотрены проверки действий служащих в случаях, когда гости прибегают к использованию гарантий.
Модель качества может иметь вид, представленный на рис. 6.1.
Для качества товара или услуги присущ еще третий компонент - социальное качество. Оно означает, что компании рассматривают этический аспект ответственности при разработке услуг, избегая тех свойств, которые могут причинить вред и увеличивают опасность для жизни и здоровья клиентов.
Качество услуг находится в непосредственной зависимости от:
1. Характера и уровня взаимодействия персонала сервисной компании и ее клиентов, а также различных групп служащих между собой.
2. Иных лиц, активно вовлеченных в процесс обслуживания или пассивно его наблюдающих.
3. Способностей персонала в фиксированное время, а порой незамедлительно реагировать на запросы клиентов в процессе их обслуживания, а при необходимости вносить коррективы в этот процесс.
Качество услуги определяется пятью факторами:
1. Надежность. Способность выполнить услугу точно и основательно. Однако, в данном случае внутри предприятия должны быть четко определены параметры качества и основательности. Если руководство гостиницы утверждает, что вещи, сданные в химчистку, будут вычищены в течение шести часов, то это обязательство должно быть выполнено, причем вещи должны быть действительно чистыми.
![]() |

качество
![]() | ![]() |
техническое функциональное
![]() | |||
![]() |
то, с чем остался клиент процесс предоставления
после взаимодействия со услуги
служащим
![]() |
Функциональное качество может улучшить впечатление от технического качества услуги (например, благоприятный опыт заезда в гостиницу смягчает впечатление от комнаты, которая не совсем оправдывает ожидания клиента).
Рис. 1.6. Составляющие качества при оказании услуги
2. Отзывчивость - желание помочь потребителю и быстрое обслуживание. Здесь максимально важную роль играет персонал компании. Так, считается, что поведение персонала и его способность общаться с клиентами - показатель качества обслуживания ресторана.
| Модель поведения клиента | Проявление отзывчивости со стороны официанта |
| 1. Клиент любит поговорить | Слушать его, проявляя уважение |
| 2. Клиент молчалив | Быть терпеливым, сделать необходимые пояснения, успокоить клиента |
| 3. Клиент чувствует себя неуверенно | Помочь ему советами, объяснить что к чему |
| 4. Клиент не знает, что заказать | Использовать искусство внушения, обратить внимание на блюда - специальные предложения |
Источник: Палли М. Справочник совершенного хозяина ресторана.- М.: ООО «Современные ресторанные и розничные технологии», 1999. 150 с.
3. Убежденность - компетентность, ответственность, уверенность и вежливость обслуживающего персонала.
4. Сочувствие - выражение заботы, индивидуальный подход к потребителям.
| Группа потребителей | Действия персонала ресторана |
| 1. Маленькие дети | Предоставление дополнительных салфеток, специальных стаканов, стульев, специальное меню |
| 2. Подростки | Предоставление широкого ассортимента безалкогольных напитков и соков |
| 3. Молодые люди до 35 лет | Неформальное обслуживание, пиво и обильная пища |
| 4. Взрослые старше 40 лет | Традиционный прием, учтивость, уважение, привычная горячая пища |
| 5. Пожилые люди | маленькие порции, не острая пища, доста- точная быстрота, общение |
Источник: Палли М. Справочник совершенного хозяина ресторана - М.: ООО «Современные ресторанные и розничные технологии», 1999. 150 с.
5. Материальность - возможность увидеть оборудование, персонал, наличие информационных материалов.
В маркетинге услуг широко используется пятиступенчатая модель качества обслуживания. Она определяет качество обслуживания с точки зрения удовлетворения ожиданий клиента. Фирма обязательно должна знать, чего ожидает клиент и реализовать его ожидания с отличным качеством. Стратегическое преимущество пятиступенчатой модели качества обслуживания заключается в том, что каждая из ступеней имеет возможности роста, и на каждой из ступеней преодолеваются противоречия между высшим и имеющимся уровнями качества.
Ступень 1. Ожидания потребителя и реакция руководства.
На этом этапе важно ответить на вопрос «Каковы особенности требований клиента в оказании обслуживания на высоком уровне?»
![]() |
В исследовании, проведенном MasterCard, был задан вопрос: «При равных условиях местонахождения, цен и чистоты отеля, какие другие факторы являются наиболее важными при принятии решения?» результаты распределились следующим образом:
* наличие ресторана - 32%
* уровень качества обслуживания - 22%
* обстановка комнат - 14%
* контингент гостей - 11%
* наличие тренажеров и оборудования для отдыха - 14%
* безопасность - 3%
Гостиницы находят различные способы удовлетворения потребностей деловых путешественников, например, организация этажей «только для женщин», «бизнес-этажей», центров бизнес-услуг, специальных помещений для отдыха в номерах. «Бизнес-этажи» проектируются таким образом. Чтобы обеспечить безопасную и комфортную атмосферу для проведения деловых встреч, заключения сделок, а также как место отдыха после трудного дня. Например, здесь могут быть расположены клубы, уютные бары, библиотека с художественными или деловыми книгами и периодикой, рабочие столы с телефонами, телевизоры с большими экранами.
Источник: Маркетинг в России и за рубежом. 1998. № 1.
Ступень 2. Восприятие руководства и спецификации качества обслуживания.
Эта стадия наступает, когда менеджеры знают, чего хотят их потребители, но неспособны или не желают развивать системы, которые обеспечили бы их удовлетворение.
Ступень 3. Спецификации качества обслуживания и предоставление услуг.
Наступает, когда руководство понимает, какие есть потребности у клиентов, и знает, какие соответствующие спецификации качества обслуживания в связи с этим были разработаны, но служащие неспособны на такой уровень обслуживания или не желают его оказывать.
Ступень 4. Предоставление обслуживания и внешние связи.
Здесь важно удостовериться, что фирма обещает действительно то, что может предоставить. Восприятие клиентом ресторанной услуги обычно является суммой двух элементов: качества пищи и качества обслуживания. Результаты восприятия представлены в таблице 6.1.
Таким образом, если ресторан предлагает отличную кухню, но обслуживание окажется недостаточно высокого качества, то 90% клиентов отрицательно оценят ресторан и скорее всего будут потеряны навсегда.
Ступень 5. Ожидаемое обслуживание и восприятие предоставленного обслуживания.
Достижение высокого качества обслуживания - длительный процесс. Для достижения главной цели - наивысшей удовлетворенности клиента и превращение его в лояльного - предприятие должно разрабатывать программу качества обслуживания. Она строится на следующих принципах (4).
Обслуживание пассажиров в авиакомпании British Airways
В салонах первого класса кресла можно превратить в кровать длиной почти два метра. Выдаются постельное белье и пижамы. Кровать окружена бордюром, его можно по желанию опустить или поднять. Можно заказать индивидуальную видеопрограмму. Работает бар. Если клиенту приходится ждать следующего рейса до утра, ему предоставят номер в пятизвездочной гостинице и лимузин
Таблица 6.1
Восприятие клиентом ресторанного продукта (по 10-балльной шкале)
| Качество пищи, баллы | Качество обслуживания, баллы | Восприятие |
| 10 | 5 | Отрицательное для 90% клиентов |
| 10 | 7 | Нейтральное для 50% клиентов |
| 10 | 10 | Отличное для 100% клиентов |
| 6 | 10 | Хорошее для 80% клиентов |
Источник: Палли М. Справочник совершенного хозяина ресторана.- М.: ООО «Современные ресторанные и розничные технологии», 1999. 150 с.
Десять основных принципов обеспечения качественного обслуживания:
1. Лидерство. Руководство организации должно иметь ясное представление о предназначении и будущем развитии компании, донести это представление до своих служащих и убедить их поверить в него и ему следовать.
2. Внедрение маркетингового подхода во все подразделения организации. Маркетинг должен присутствовать на деле в работе каждого подразделения фирмы.
3. Понимание потребностей потребителей. Для этого на предприятии должна быть разработана система маркетинговой информации и необходимо регулярно проводить исследования рынка.
4. Понимание бизнеса. Служащие должны понимать, как их работа влияет на результаты работы остальной части коллектива. Интересы клиента должны пронизывать всю деятельность предприятия.
5. Применение в работе основных организационных принципов.
6. Фактор свободы. Система предоставления услуг должна быть гибкой. Служащие должны иметь определенную свободу в своих действиях, чтобы обслужить клиента соответственно его потребностям, но при этом придерживаться стандарта обслуживания.
7. Использование соответствующих технологий.
8. Хорошее управление кадрами.
9. Установление стандартов, оценка выполнения работы и введение системы стимулов.
10. Обратная связь со служащими по результатам труда.
Обязательным компонентом системы качества является система стандартов обслуживания.
Стандарт обслуживания - это комплекс обязательных для исполнения правил обслуживания клиентов, которые призваны гарантировать установленный уровень качества всех производимых операций.
Стандарт - реальная форма и содержание того, как обслуживание предоставляется. Стандарт обслуживания устанавливает формальные критерии, по которым оценивается уровень обслуживания клиентов и деятельность любого сотрудника фирмы.
Примерами стандартов качества могут быть следующие.
* время обслуживания;
* работа с жалобами и претензиями;
* наличие в офисе информационно-рекламных материалов;
* максимальное время ожидания ответа по телефону;
* номенклатура предоставляемых услуг;
* требования к оформлению документов, писем и деловых бумаг.
![]() |
Стандарт обслуживания American Airlines.
На звонки о заказах ответ должен быть получен в течение 20 секунд. 85% пассажиров не должны стоять в очереди более 5 минут. Рейсы должны отклоняться от времени расписания не более, чем на 5 минут. Двери должны открываться через 70 секунд после остановки самолета. В салоне самолета должен быть необходимый запас журналов.
Источник: Маркова В. Маркетинг услуг. М.: Финансы и статистика, 1996.
Классическим примером разработки и соблюдения системы стандартов качества является система ресторанов быстрого питания McDonald`s. Во всем мире МсDonald`s как точно отлаженная система предлагает своим посетителям товары и услуги высокого стандарта, что в компании называется «качество, обслуживание, чистота и потребительская ценность». Гамбургер, чизбургер или картофель фри будут абсолютно одинаковыми по вкусу и в Нью-Йорке, и в Лондоне, и в Москве. Процесс производства включает формирование эстетических и вкусовых свойств предлагаемой продукции по фиксированной программе. Фиксированная программа как раз и является основой стандарта обслуживания.
Управление качеством в индустрии сервиса подразумевает маневрирование рабочей силой, рабочим временем и ресурсами. Помещение капитала в управление качеством приводит к увеличению доходов, которое возникает благодаря таким факторам, как:
* предотвращение проблем качества и появления претензий;
* повышение уровня удовлетворенности гостей;
* повышение уровня удовлетворенности служащих;
* повышение уровня эффективности управления и эффективности работы предприятия в целом;
* снижение количества внутренних и внешних неудач.
Клиент сервисной компании становится очень требовательным к уровню качества предоставляемых услуг. Если он не удовлетворен, то предпочитает сменить поставщика услуг, что стало возможным благодаря жесткой конкуренции на рынке услуг. Компании должны уделять большое внимание оттоку потребителей и принимать меры, чтобы уменьшить его. Множество маркетинговых мероприятий может быть предпринято в отношении потребителей, которые покидают компанию из-за плохого обслуживания, низкого качества питания или непомерно высоких цен. Компании должны оценивать, сколько денег приносит им постоянный клиент за свою жизнь. Для гостиницы, например эта сумма составляет немногим более 100000 долл., для ресторана - 3000-4000 долл., для туристического агентства - более 50000 долл..
Для укрепления доверия со стороны клиентов организация, оказывающая услуги, может принять ряд мер:
* по возможности повысить осязаемость своей услуги; в связи с этим особое значение приобретает имидж торговой марки услуги. Фирмы стараются выбрать торговые марки и эмблемы, которые изображают материальные, реальные предметы;
* подчеркнуть значимость услуги;
* заострить внимание на выгодах от услуги;
* привлечь к пропаганде своей услуги какую-нибудь знаменитость. В гостиничном бизнесе очень часто подчеркивается, кто останавливался в том или ином номере: хоккеист сборной НХЛ, Хулио Иглесиас, Катрин Денев и т.д. Одна из туристических фирм при продвижении на рынок поездок на Сицилию в район Таормины заявляла, что именно на этом курорте бывали Софи Лорен, Элизабет Тейлор и Лайза Минелли.
Осязаемые элементы, помогающие оценить потенциальное качество обслуживания:
· внешний вид офиса компании;
· оформление интерьеров;
· наличие и виды технологического оборудования;
· уровень используемой оргтехники и расходных материалов;
· системы коммуникации;
· внешний вид руководителей и служащих компании;
· контингент клиентов, уже пользующихся услугами данной компании.
Рассмотрим конкретный пример оценки качества телепродукта.
Вместе с оформлением изменились структура и содержание многих привычных выпусков. Особенно качественные изменения ощутимы на информационном телевидении. Теперь нам уже не дают привычные блоки хозяйственных новостей — новость стала новостью: она оперативна, откровенна, хорошо «упакована». Информация имеет сильную эмоциональную окраску— явление, столь недопустимое для прежнего протокольного стиля средств массовой информации.
Обращение к аудитории методами интерактивной связи явилось основой для создания многих публицистических передач. Охват зрительского мнения в рамках одной передачи оказался сопоставим чуть ли не с государственными референдумами.
Вместе с использованием собственного духовного наследия стало возможным применять опыт создания продукции массовой культуры стран Запада. Некоторые циклы стали лицензионными, зеркальными аналогами известных западных передач, другие обрели новый оригинальный формат. Американский масштаб можно ощутить и в активных командных играх типа «Перехват» с использованием погонь и захватов.
Устойчивый успех имеют и другие, более камерные разновидности игр — викторины и телезнакомства. Вместе с ними на наш экран пришли и ключевые экранные фигуры коммерческого телевидения — шоумены и квизмастеры. Следует отметить стабильность существования передач с использованием материалов телехроники, продукции видеорынка, фрагментов компьютерных игр.
Но самая характерная особенностью для различных продюсерских проектов — тенденция к усложнению формата телевизионного экранного сообщения. Телепроизводство стало значительно более сложным: для создания конкурентоспособного экранного сообщения используются все телевизионные технологии. Именно это и придает современному телеязыку предельную выразительность и оригинальность.
Под телепродуктом следует понимать экранные сообщения различных жанров, распространяемые как через запись, так и в «прямом эфире» на географически распределенную аудиторию. Чтобы полнее исследовать все положительные качества телесообщения, любую передачу структурируют на ряд законченных фрагментов: сюжетов, рубрик, сцен. Каждый из них является продуктом, созданным на базе различных телевизионных технологий.
Анализ телепродукта предполагает главным образом формулирования двух основных параметров — сравнительных конкурентных преимуществ и социальной ориентации. Несмотря на то что наша страна уже вступила в новую экономическую систему, уровень жизни не позволяет продвигать многие телепродукты, имеющие достаточный спрос на Западе. Например, совершенно бесперспективно дублировать в нашем эфире популярный американский канал Golf channel, рассчитанный на самые респектабельные слои общества США и использующийся для рекламы престижного спортивного реквизита. Да и сами спортивные трансляции в настоящее время — одни из самых технически сложных телетехнологий. Обычная съемка пятью камерами осталась разве что в теннисных состязаниях. Все основные спортивные лиги давно ориентируют потенциальных рекламодателей на другой базовый продукт, вырабатываемый телекомпанией-транслятором. Например, Федерация хоккея требует размещения на матче 15 камер (из них две над воротами и две в воротах), а также аппаратуры повтора минимум с 5 камер. Но самыми сложными являются гонки чемпионата «Формула-один», предполагающие не только съемку со стороны или сверху, как это принято на гонках «Париж—Дакар». Картинка с камеры, вмонтированной в шлем известного гонщика А. Сенны, позволила зрителям сопереживать в последние секунды жизни великого спортсмена. Подобный способ освещения выводит телепродукт на уровень, создающий полную иллюзию собственного участия, — перед глазами не только головокружительный темп гонки, но и все параметры движения автоболида, включая скорость и обороты двигателя.
Борьба за рейтинг рождает постоянный поиск новых форматов, качественных изменений продукта. Базовый продукт «дикторские новости» характерен уже только для дециметровых каналов: здесь ограничен иллюстративный материал, узок охват новостного поля. Большинство же центральных каналов освоили мощные новостные серверы и сократили путь от события к видеоформату сюжета. Наиболее популярным оказывается корреспондентский тип новостного выпуска с тематическим членением новостного потока по тематическим рубрикам. Материал в рубрике выделяется обилием репортажей и графических иллюстраций. Иллюстрированию подлежит не только цифровой материал, но и макетируются события, географические карты, городские районы. Компьютерные заставки предопределяют уровень восприятия информационного материала, как, например, на НТВ.
Однако подлинным потенциальным телепродуктом являются авторские программы, создаваемые на ОРТ. Здесь отказались от полного охвата событийного поля, фокусируя внимание на главной новости дня. Это позволяет поднимать новости до уровня сенсации. Журналистское отсутствие предполагает насыщение формата внутрикадровыми беседами, телемостами, сеансами интерактивной связи. Детализация переводит комментарий в оценку события, к его прогнозированию, развитию. Подобный подход предполагает оперативное привлечение многих известных ньюсмейкеров, расширяет возможности эфира в формировании общественного мнения и настроения аудитории. На первый план, естественно, выходит и сама личность ведущего, позитивность его обаяния и разносторонность аргументации.
А отметившее недавно десятилетие «Поле чудес» не меняет свого формата. Секрет ее успеха — не только в прочных эфирных позициях ОРТ, но и в удачно выбранной целевой зрительской аудитории, в использовании популярной ценности «угадай или проиграешь».
Анализ наиболее интересных маркетинговых решений, реализованных в современных продюсерских проектах, показывает, что оценка полезности телепродукта различных жанров носит достаточно сложный характер.
Маркетинговый подход к оценке качества телепродукта включает в себя ряд существенных аспектов. В первую очередь это продюсерские решения, заложенные при проектировании программы: удачная концепция цикла или серии, ориентация на актуальную тематику, ее реализацию.
Первый этап анализа включает в себя выделение составных элементов качества телепродукта (рис. 6.2). Он содержит все основные этапы реализации телепроекта: разработку, изготовление и демонстрацию телепродукта. В первую очередь — это этап самого проектирования. Главную роль в достижении высокого качества проекта играют концепция и формат телепродукта, творческий подход к разработке которых позволяет априорно решать многие технологические и тематические проблемы, реализовать саму программу.
Значительное влияние на качество проектирования оказывает и включение в проект разного рода спецификаций, напрямую связанных с жанрами телевидения. Это и число съемочных объектов и интерьерных пространств, и удаленность от места съемки, и число аттракционов — автомобильные, пиротехнические, авиационные и каскадерские трюки, включенные в сценарий. Объем технических средств, способы их включения в динамику состязания — все это напрямую влияет на смету проекта.
Следующим моментом является уровень качества, который продукт обретает на стадии изготовления. В первую очередь это уровень технологий и компьютерный дизайн, наличие виртуальных персонажей и даже виртуальных интерьеров, которые существенно влияют на качество квалификации персонала и присутствие известных персонажей. Все это — признаки качества.
Исходя из подобных элементов качества возможно структурировать современный телепродукт для различных жанров (табл. 6.2).

Рис. 6.2. Составные элементы качества телепродукта
Таблица 6.2
Глубина качественного позиционирования телепродукта
| Жанр | Базовый продукт | Ожидаемый уровень | Потенциальный уровень |
| Новостные выпуски | Дикторский | Корреспондентский | Авторские программы обозрения |
| Прямая информация | Событийный репортаж | Журналистские расследования | Очерк |
| Опосредованная информация | Студийное интервью | Ток-шоу с интерактивным опросом | Телезнакомство с персоной |
| Телетеатр | Импровизация | Игровые серии с литературной основой | Кукольные и виртуальные персонажи |
| Сериал | Интерьерные съемки | Натура с введением аттракциона | Виртуальные сюжеты |
| Телеигра | Павильон и 1 игровая компонента | Натура и 2 игровые компоненты | Эксклюзивное оформление и 3 игровые |
| Телеэстрада | Концерт | Сольная программа с постановочным решением | Клип |
| Трансляции | Стационарные камеры | Мобильные камеры | Камеры, включенные в динамику события |
| Реальное шоу | Потребительское шоу | Павильонное шоу | Экстремальное шоу |
Исходя из существующих потребностей аудитории, следует различать несколько уровней качества телепродукта: прежде всего это базовый уровень, характерный для большинства региональных и кабельных телекомпаний. Телепрограммы создаются, как правило, с минимальными творческими и техническими затратами — большую часть эфира занимает лицензионный продукт. Для большинства центральных телеканалов уже характерен ожидаемый уровень. Это связано с высоким уровнем рекламы и значительностью аудитории. Здесь предполагается более существенный творческий и технический потенциал введения игровых сцен, использование литературной первоосновы, увеличение спецификации в самих телепрограммах. Программы потенциального уровня еще достаточно редки даже для каналов ОРТ и НТВ — обычно это значительное структурирование телепрограмм на форматы, увеличение сложности форматов, широкое использование компьютерных технологий и виртуальных персонажей. Заметное влияние на качество оказывает демонстрация телепродукта потребителю. Помимо традиционных способов эфирного вещания на телеэкран или распространения в виде кассет для домашнего театра, телепродукт можно транслировать на масштабном дисплее площадью свыше 50 кв. м. Показатель отношения зрителя к телепродукту во многом определяется не только совокупным качеством продукта, но и конкретными количественными признаками — параметрами (рис. 6.3). Безусловно, частый эфир, больший объем сообщения определяют и большую аудиторию при равных качественных признаках.

Рис. 6.3. Признаки и параметры телепродукта
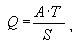
Поэтому совокупные качественные и количественные признаки целесообразно оценивать при помощи одного общего показателя — зрительской аудитории. Основываясь на этом обобщенном значении интереса телезрителя, можно оценить и само качество телепродукта с помощью следующей формулы:

где Q — показатель качества;
А — аудитория программы (млн. зрителей);
Т — время демонстрации (в часах);
S — стоимость телепродукта (в тыс. у.е.).
Основные понятия
Качество, модель качества, модель качества обслуживания, принципы обеспечения качественного обслуживания, стандарт обслуживания, факторы качества услуги.
Контрольные вопросы
1. Что такое качество в индустрии сервиса?
2. Как соотносятся понятия «качество услуги» и «конкурентоспособность услуги»?
3. Проанализируйте различные определения качества услуги. Что в них общего, и чем они отличаются друг от друга? предложите свое определение качества услуги.
4. В чем состоят отличия между уровнями отношений с клиентом? Что позволяет фирме переходить с одного уровня отношений на другой? Какие для этого нужны предпосылки и ресурсы?
5. Что такое десять принципов качественного обслуживания. Примените десять принципов качественного обслуживания к конкретной услуге.
Проблемные вопросы и задания к теме
1. Почему для любого предприятия сферы услуг так остро встает проблема качества? Будут ли отличаться различные отрасли сферы услуг по степени остроты этой проблемы?
2. Высокое качество услуги расценивается как конкурентное преимущество для фирмы. Почему?
3. Разработайте стандарт обслуживания для процедуры оказания какой-либо услуги.
4. Покажите, как реально проявляется модель качества (см. рис. 12).
Если Вам понравилась эта лекция, то понравится и эта - 15 Задачи на собственные значения.
Дополнительная литература к теме 6
1. Азоев Г., Бачурин Е. Бенчмаркинг: позиционирование авиакомпаний на московском рынке авиабилетов // МиМИР. 2000. № 1.
1. Браймер Н. Основы управления в индустрии гостеприимства. М.: Инфра М, 1997.
2. Маркова В. Маркетинг услуг. М.: Финансы и статистика, 1996.
2. Падейский В. К вопросу о качестве телепродукта // Маркетинг в России и за рубежом. 2002. № 2.
3. Уокер Дж. Введение в гостеприимство. М.: ЮНИТИ, 1999.































