Тягово скоростные свойства автомобиля
Лекция 6. Тягово скоростные свойства автомобиля
План лекции
6.1. Тяговая сила и тяговая характеристика автомобиля
6.2. Тяговая характеристика автомобиля с дополнительной
коробкой передач
6.3. Скорость и ускорение автомобиля
6.4. Реакции дороги, действующие при движении на колеса автомобиля
6.5. Сила и коэффициент сцепления колес автомобиля
с дорогой
6.1. Тяговая сила и тяговая характеристика автомобиля
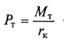
Тяговой силой называется отношение крутящего момента на полуосях к радиусу ведущих колес автомобиля. Это толкающая автомобиль сила, которая передается от ведущих колес к несущей системе (рама, кузов). При увеличении тяговой силы на ведущих колесах автомобиль может развивать большие ускорения, преодолевать более крутые подъемы, буксировать прицепы большей массы и иметь лучшие тягово-скоростные свойства.
Рекомендуемые материалы
Тяговая сила определяется экспериментально при испытаниях автомобиля или расчетным путем с использованием внешней скоростной характеристики двигателя по формуле
(6.1)
Из выражения (6.1) следует, что максимальное значение тяговой силы ограничено, поскольку оно определяется максимальными значениями момента двигателя Ме и передаточного числа трансмиссии щ. Тяговая сила ограничена также вследствие действия силы сцепления между ведущими колесами и дорогой.

Рис. 6.1. Тяговая характеристика автомобиля со ступенчатой коробкой передач: I — IV — передачи

Рис. 6.2. Тяговые характеристики автомобилей с бесступенчатой (а) и гидромеханической (б) коробками передач: I, II — передачи
Изменение тяговой силы на ведущих колесах показывает тяговая характеристика автомобиля (рис. 6.1) — зависимость тяговой силы от скорости движения на различных передачах.
Характер изменения тяговой силы на ведущих колесах зависит от типа коробки передач в трансмиссии автомобиля. Так, механическая ступенчатая коробка передач обеспечивает ступенчатое изменение тяговой силы (см. рис.6.1), бесступенчатая — плавное (рис. 6.2, а), а гидромеханическая — и плавное, и ступенчатое (рис. 6.2, б).
6.2. Тяговая характеристика автомобиля с дополнительной коробкой передач
Представленная на рис. 6.1 тяговая характеристика соответствует автомобилю ограниченной проходимости с колесной формулой 4 х 2, в трансмиссии которого установлена только механическая ступенчатая коробка передач и отсутствует дополнительная коробка передач. Однако в трансмиссии полноприводных автомобилей, тяжелых грузовых автомобилей и автомобилей-тягачей, работающих с прицепами и полуприцепами, кроме основной устанавливают еще и дополнительные коробки передач: делитель, демультипликатор или раздаточную коробку. Они позволяют улучшить тягово-скоростные свойства, повысить проходимость и топливную экономичность автомобиля.
Делитель (мультипликатор) представляет собой повышающую коробку передач. Он устанавливается перед основной коробкой передач и увеличивает число ее передач в 2 раза. Обычно он имеет две передачи: прямую с передаточным числом и = 1 и повышающую с и < 1.

Рис. 6.3. Тяговые характеристики автомобилей с дополнительными коробками передач:
а — с делителем; б — с демультипликатором; I—IV — передачи;----------включена повышающая передача;----------включена понижающая передача
Тяговая характеристика автомобиля с делителем представлена на рис. 6.3, а, где штриховыми линиями показано изменение тяговой силы на ведущих колес автомобиля при включенной повышающей передаче делителя. Из рисунка видно, что делитель не увеличивает передаточные числа коробки передач и тяговую силу на ведущих колесах, а только уменьшает разрыв между передаточными числами соседних передач и расширяет диапазон передач и значений тяговой силы.
Демультипликатор является понижающей коробкой передач. Он устанавливается за основной коробкой передач и увеличивает в 2—3 раза ее передаточные числа и количество передач. Он имеет две или три передачи: прямую с передаточным числом и = 1 и понижающие с и > 1.
На рис. 6.3, б приведена тяговая характеристика автомобиля с демультипликатором. Штрих-пунктирными линиями показано изменение тяговой силы при включенной понижающей передаче демультипликатора. Из тяговой характеристики следует, что демультипликатор увеличивает передаточные числа и количество передач, а также значения тяговой силы на ведущих колесах автомобиля, существенно расширяя их диапазон.
Раздаточная коробка представляет собой понижающую коробку передач. Она устанавливается в трансмиссии полноприводных автомобилей и увеличивает передаточные числа и количество передач коробки передач, а также тяговую силу на ведущих колесах автомобиля. В автомобилях со всеми ведущими колесами раздаточная коробка выполняет функции демультипликатора.
Тяговая характеристика автомобиля с раздаточной коробкой при включенной понижающей передаче раздаточной коробки имеет такой же вид, как у автомобиля с демультипликатором (см. рис. 6.3, б).
6.3. Скорость и ускорение автомобиля
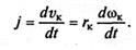
Линейную скорость колеса, м/с, можно определить с помощью выражения

где rк — радиус колеса, м;
к — угловая скорость колеса, рад/с.
Скорость автомобиля при его прямолинейном движении равна линейной скорости колеса, т.е. v = vK.
Так как скорость автомобиля v обычно выражается в км/ч, а скорость колеса vK — в м/с, то для получения скорости автомобиля v в км/ч необходимо ввести переводной коэффициент 3,6. С учетом этого коэффициента скорость автомобиля, км/ч:

Аналогично при прямолинейном движении ускорение автомобиля равно линейному ускорению колеса:
(6.2)
6.4. Реакции дороги, действующие при движении на колеса автомобиля
При движении автомобиля его колеса могут катиться в различных режимах: тяговом, ведомом и тормозном. При этих режимах качения со стороны дороги на колеса действуют силы, называемые реакциями. Для определения их величины рассмотрим качение колеса автомобиля по жесткой (недеформируемой) дороге. Схема сил, действующих в этом случае на ведущее колесо, представлена на рис. 6.4.
Силы Рх и Pz и момент М' действуют на колесо со стороны автомобиля. Силы Rx и Rz действуют на колесо со стороны дороги и представляют собой ее реакции.

Рис. 6.4. Силы, действующие на ведущее колесо при качении по недефор-мируемой дороге: О — центр колеса
Рассмотрим указанные силы и момент.
Pz — вертикальная нагрузка на колесо, направленная вниз перпендикулярно поверхности дороги.
Рх — продольная сила, параллельная поверхности дороги. В зависимости от режима качения колеса она может быть направлена как в сторону движения автомобиля, так и в противоположную.
М' — момент, подводимый к колесу от полуоси или тормозного барабана (тормозного диска). Иногда момент может быть равен нулю (не подводится к колесу). Момент считается положительным, если его направление совпадает с направлением вращения колеса, и наоборот.
Rz — нормальная реакция дороги, направленная вверх перпендикулярно поверхности дороги. Точка приложения нормальной реакции смещена относительно оси колеса на некоторую величину аш из-за большей деформации шины в набегающей на дорогу части, чем в сбегающей с дороги. Это подтверждает эпюра элементарных сил, действующих в месте контакта колеса с дорогой, для которых нормальная реакция является результирующей силой.
Rx — касательная реакция дороги. Это сила, которая действует в плоскости дороги и в зависимости от режима качения колеса может быть направлена в сторону движения автомобиля или в противоположную. Касательная реакция считается положительной, если она направлена в сторону движения, и наоборот.
Составим уравнение моментов относительно оси колеса:
(6.3)
где jк — момент инерции колеса относительно оси вращения. Из выражения (6.3) находим касательную реакцию дороги:

Обозначим отношение
символом f и, выразив величину
- с помощью формулы (6.2) через ускорение автомобиля j,
Для касательной реакции дороги получим в общем случае (при любых режимах качения колеса)
(6.4)
Рассмотрим типичные режимы качения колеса.
Тяговый режим характерен для ведущего колеса. Момент М' подводится к колесу через полуось, и направление момента совпадает с направлением вращения колеса. В этом случае момент называется крутящим. Подставляя в выражение (6.4) вместо М' выражение для крутящего момента Мк, подводимого к ведущим колесам, для ведущего колеса получим

где
— тяговая сила.
Для ведущего колеса касательная реакция Rx > 0. Следовательно, она направлена в сторону движения, как показано на рис.6.4.
Ведомый режим характерен для ведомого колеса. Момент М' к колесу не подводится, и, следовательно, он равен нулю. Для ведомого колеса касательная реакция дороги

Знак «-» показывает, что у ведомого колеса касательная реакция дороги направлена против движения (рис. 6.5, а).


Рис. 6.5. Силы, действующие на ведомое (а) и тормозящее (б) колеса
при качении по недеформируемой дороге:
О — центр колеса
Тормозной режим является характерным для тормозящего колеса (ведущего, ведомого). Момент М' подводится к колесу от тормозного барабана или тормозного диска и направление его противоположно направлению вращения колеса. В этом случае момент называется тормозным (Мтор). Подставив в выражение (7.4) вместо М' тормозной момент (М' = -Мтор), для тормозящего колеса получим

Знак «-» свидетельствует о том, что у тормозящего колеса касательная реакция дороги направлена против движения (рис. 6.5, б).
6.5. Сила и коэффициент сцепления колес автомобиля с дорогой
Значение тяговой силы, необходимой для движения, ограничено вследствие действия силы сцепления колес с дорогой.
Под силой сцепления понимают силу, противодействующую скольжению колеса относительно поверхности дороги. Она равна силе трения, возникающей в месте контакта колеса с дорогой.
Сила сцепления
Рсц = Rzφ,
где Rz — нормальная реакция дороги; φ — коэффициент сцепления.
Равномерное качение колеса без скольжения и буксования возможно только при выполнении условия РТ < Рсц Если тяговая сила
больше силы сцепления (Рт > Рси), то автомобиль движется с пробуксовкой ведущих колес. Это происходит, например, тогда, когда при движении по сухой дороге он попадает на участок со скользким покрытием. Если же автомобиль стоял на месте, то не только движение, но и его трогание с места невозможны.
Коэффициент сцепления. Этот коэффициент во многом определяет значение силы сцепления. В зависимости от направления скольжения колеса относительно поверхности дороги различают коэффициенты продольного φ х и поперечного φ у сцепления. Эти коэффициенты зависят от одних и тех же факторов, и можно считать, что они практически равны (φ х = φ у).
На коэффициент продольного сцепления ц>х оказывают влияние многие конструктивные и эксплуатационные факторы. Он определяется экспериментально. Ниже приведены средние значения фх для различных дорог и состояний их поверхности:
Сухое Мокрое
Асфальтобетонное шоссе................... 0,7...0,8 0,35...0,45
Дорога с щебенчатым покрытием .... 0,6...0,7 0,3...0,4
Грунтовая дорога................................ 0,5...0,6 0,2...0,4
Снег..................................................... 0,2 0,3
Лед........................................................ 0,1 0,2
Рассмотрим, как влияют различные конструктивные и эксплуатационные факторы на коэффициент продольного сцепления.
Тип и состояние покрытия дороги. На сухих дорогах с твердым покрытием коэффициент сцепления имеет наибольшее значение, так как в этом случае он обусловливается не только трением скольжения, но и межмолекулярным взаимодействием материалов колеса и дороги (механическим зацеплением). На мокрых дорогах с твердым покрытием коэффициент сцепления существенно уменьшается (в 1,5 — 2 раза) по сравнению с сухими дорогами, так как между колесом и дорогой образуется пленка из частиц грунта и воды. На деформируемых дорогах коэффициент сцепления зависит от внутреннего трения в грунте и сопротивления грунта срезу.

Рис. 6.6. Рисунки протектора шин:
а, б — дорожный; в, г — универсальный; д—з — повышенной проходимости
Рисунок протектора шины (рис. 6.6). Дорожный рисунок протектора обеспечивает наибольший коэффициент сцепления на дорогах с твердым покрытием, универсальный — на дорогах смешанного типа, а рисунок протектора повышенной проходимости — в тяжелых дорожных условиях и по бездорожью. По мере изнашивания рисунка протектора значение коэффициента сцепления уменьшается.
Если Вам понравилась эта лекция, то понравится и эта - 19 Центроиды или подпорки.
Внутреннее давление воздуха в шине. При увеличении давления воздуха в шине (рис. 6.7, а) коэффициент сцепления сначала возрастает, а затем уменьшается.

Рис. 6.7. Зависимости коэффициента сцепления от давления воздуха в шине (а), скорости движения (б) и вертикальной нагрузки на колесо (в)
Скорость движения. При увеличении скорости движения (рис. 6.7, б) коэффициент сцепления сначала возрастает, а потом падает.
Нагрузка на колесо. Увеличение вертикальной нагрузки на колесо (рис. 6.7, в) приводит к незначительному уменьшению коэффициента сцепления.
Коэффициент сцепления существенно влияет на безопасность движения. Его недостаточно высокое значение вызывает многочисленные аварии и несчастные случаи на дорогах. Как показали исследования, по этой причине происходит 15% общего числа Дорожно-транспортных происшествий, а в неблагоприятные периоды года — около 70 %. Исследованиями установлено, что для обеспечения безопасного движения значение коэффициента сцепления должно составлять не менее 0,4.























