Построение частотных характеристик
Построение частотных характеристик
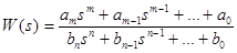
Для произвольных линейных систем применение частотных характеристик обязательно включает операцию перехода к преобразованию Лапласа. Запишем формулу передаточной функции:

Если от аргумента s = s + jw перейти к аргументу s = jw, положив s = 0, то будем иметь дело с моделью в виде частотной передаточной функции:
Q1 = ao - a2 w2 + a4 w4 - ... Q2 = a1 w- a3 w3 + a5 w5 - ...
Рекомендация для Вас - Ультразвуковая диагностика злокачественных опухолей.
P1 = bo - b2 w2 + b4 w4 - ... P2 = b1 w- b3 w3 + b5 w5 - ...

Меняя частоту w от 0 до
можно строить частотные характеристики, по виду которых анализируется качество работы схемы. Итак, в общем виде
амплитудно - фазовая характеристика имеет вид:

Отметим, что динамика стационарных линейных систем в плане анализа устойчивости и быстродействия полностью может быть исследована с помощью частотных характеристик. Однако, применение частотных характеристик для произвольных линейных систем не всегда рационально. Такой выбор должен быть обоснован.






















