Основные уравнения газодинамики
10.2. Основные уравнения газодинамики для установившегося движения газа в простом газопроводе
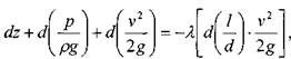
Запишем уравнение Бернулли в дифференциальной форме:


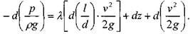
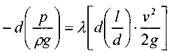
Последний член уравнения весь мал и его величиной можно пренебречь, тогда для горизонтального газопровода (z = const) можно записать:

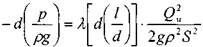
Подставив в последнее уравнение значение средней скорости движения газа, выразив её через массовый расход, получим:

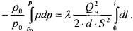
По принятым выше условиям процесс движения газа по газопроводу является изотермическим, тогда подставив в последнее уравнение значение
из уравнения Бойля-Мариотта:
Рекомендуемые материалы
, получим:

Решая последнее уравнение, получим основные расчётные формулу для определения потерь давления в газопроводе и формулу для определения массового расхода газа в газопроводе.
Люди также интересуются этой лекцией: 3.1. Методы изучения движения жидкости.
>
.я
Величина коэффициента трения Л определяется по формулам для жидкости в зависимости от режима её движения или же можно воспользоваться эмпирической формулой ВННИИГаза:
* ^
*
где d- диаметр газопровода в сантиметрах.





















