Методы изучения движения жидкости
3. Элементы кинематики жидкости
Кинематикой называют раздел механики, изучающий движение физических тел вообще, вне связи с источником движения (силами). Это определение справедливо и для кинематики жидкости как отдельного раздела гидравлики. 3.1. Методы изучения движения жидкости.
Жидкость представляет собой физическое тело, состоящее из бесконечно большого числа бесконечно малых частиц. С большой степенью точности мы можем рассматривать жидкое тело как сплошную среду, эта модель позволяет значительно упростить решение большинства гидравлических задач. Тем не менее, нередки случаи, когда уровень исследования движения жидкого тела требует глубокого знания физических процессов происходящих в движущейся жидкости на молекулярном уровне. В таких случаях вполне удобная модель сплошной среды может оказаться неприемлемой.
Исходя из практики изучения гидравлики как прикладной дисциплины, можно упомянуть два метода изучения движения жидкости: метод Лагранжа и метод Эйлера.
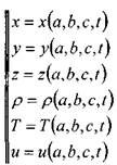
Описание движения жидкости методом Лагранжа сводится к рассмотрению положения частиц жидкости (в полном смысле слова) в любой момент времени. Так в начальный момент времени частицы находились в точках 1, 2, 3 и 4. По истечении некоторого времени они переместились в точки: Г, 2',3'и4', причём это перемещение сопровождалось изменением объёмов и форм частиц (упругой деформацией). Тогда можно утверждать, что частицы жидкости при
своём движении участвуют в трёх видах движения (поступательном, вращательном и деформации). Для описания такого сложного движения жидкости необходимо, таким образом, определить как траектории частиц, так и гидравлические характеристики частиц (плотность р, температуру Т и скорость и) в функции времени и координат.

Переменные а, Ь, с, и / носят название переменных Лагранжа. Задача сводится к решению систем дифференциальных уравнений в частных производных для каждой части-
цы жидкости. Метод Лагранжа ввиду громоздкости и трудности решения может использоваться в случаях детального изучения поведения лишь отдельных частиц жидкости. Использование этого метода для инженерных расчётов не рентабельно.
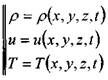
Суть другого метода, метода Эйлера заключается в том, что движение жидкости подменяется изменением поля скоростей. Под полем скоростей понимают некоторую достаточно большую совокупность точек бесконечного пространства занятого движущейся жидкостью, когда в каждой точке пространства в каждый момент времени находится частица жидкости с определённой скоростью (вектором скорости). Припишем неподвижным точкам пространства скорость частиц жидкости, которые в данный момент времени находятся в этих точках. Поскольку пространство бесконечно и непрерывно, то мы имеем массив данных о скоростях достаточно полный, чтобы определить (задать) поле в каждой его точке. Условно, нос достаточной точностью такое поле можно считать непрерывным.
Рекомендуемые материалы
Несмотря на то, что исходные условия создания модели движущийся жидкости довольно сложные, тем не менее, метод Эйлера весьма удобен для расчётов.
Построение поля скоростей осуществляется следующим образом:
Рекомендуем посмотреть лекцию "2. Общие сведения об УВМ".
На некоторый момент времени (например, to) произвольным образом выберем необходимое число точек, в которых находятся частицы жидкости. Приписав их скорости
точкам неподвижного пространства (1, 2, 3, 4, 5 и 6) мы сделаем «моментальную фотографию» поля скоростей на выбранный момент времени. В следующий момент времени
в тех же выбранных точках
неподвижного пространства будут находиться другие частицы жидкости, имеющие другие скорости
. Выполнив уже
известную процедуру второй раз, получим но
вую «моментальную фотографию» поля скоростей на момент времени
. Теперь вместо изучения траекторий частиц жидкости
будем сравнивать поля скоростей. Тогда система уравнений примет вид:

Поле скоростей движения жидкости иногда называют гидродинамическим полем по аналогии с электромагнитным, тепловым и др. полями. Это определение не противоречит физической стороне процесса движения жидкости. Анализируя состояние гидродинамического поля на разные моменты времени
, можно отметить, что с течением времени поле изменилось, несмотря на то, что в отдельных точках 5 и 6 скорости остались постоянными
Такое поле называют нестационарным гидродинамическим полем. В частном случае, когда во всех точках неподвижного пространства с течением времени предыдущие частицы жидкости сменяются другими с такими же скоростями, то поле скоростей во времени не меняется. Такое гидродинамическое поле называют стационарным. В соответствии с этим различают и два вида движения жидкости: установившееся, когда поле скоростей является стационарным и неустановившееся при нестационарном гидродинамическом поле.






















