Кинематические элементы движущейся жидкости
3.2.Кинематические элементы движущейся жидкости
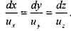
Основной кинематической характеристикой гидродинамического поля является линия тока - кривая, в каждой точке которой вектор скорости направлен по касательной к кривой. И ходя из данного определения можно записать дифференциальное уравнение линии
тока:

Если через некоторую неподвижную в пространстве кривую провести линии тока, то полученная поверхность называется поверхностью тока, а образованное этой поверхностью тело будет называться трубкой тока. Жидкость, наполняющая трубку тока, называется элементарной струйкой. Поскольку линии тока никогда не пересекаются, то поверхность трубки тока является непроницаемой
внешней границей для элементарной струйки жидкости. Сечение трубки тока, нормальное к линиям тока называется живым сечением элементарной струйки dS. При установившемся движении жидкости понятия линии тока и траектории движения частицы жидкости совпадают. Объём жидкости протекающий через живое
В лекции "О том, как работает Internet" также много полезной информации.
сечение элементарной струйки в единицу времени называется расходом элементарной струйки.
?
где:
объём жидкости, протекающий через живое сечение трубки тока за
время
расход жидкости в живом сечении трубки тока. Размерность расхода жидкости в системе СИ -м/с.
Гидродинамическое поле считается потенциальным (безвихревым), если в этом поле отсутствует вихревое движение жидкости. В потенциальном поле может существовать лишь поступательное или криволинейное движение жидкости.






















