Устойчивость и качество дискретных систем
Устойчивость и качество дискретных систем
В дискретных системах автоматического регулирования устойчивость будет иметь место, если все полюсы передаточной функции замкнутой системы, т.е. корни характеристического уравнения, лежат в левой полуплоскости области s. Границей устойчивости является мнимая ось. Для построения области устойчивости в плоскости комплексной величины z отобразим мнимую ось плоскости s на плоскость z. Для этой цели необходимо сделать подстановку
и менять затем частоту
в пределах от
до
. Таким образом, получаем
. При изменении частот в указанных пределах на плоскости z получится окружность единичного радиуса, представляющая собой область устойчивости. Условием устойчивости будет расположение особых точек (полюсов) передаточной функции замкнутой системы Ф(z), внутри этой окружности. Корни характеристического уравнения должны быть ограничены по модулю: 

Отметим очень важное требование. Передаточная функция устойчивой стационарной дискретной линейной системы должна быть конечна всюду вне единичного круга плоскости комплексного переменного z с центром в начале координат.
Оценка качества дискретной системы регулирования может делаться построением кривой переходного процесса, что при использовании z – преобразования осуществляется сравнительно легко, а также посредством
различных критериев качества. Наиболее простым является использование показателя колебательности, который может характеризовать запас устойчивости системы. Как и в случае непрерывных систем, получение заданного показателя сводится к требованию, чтобы амплитудно – фазовая характеристика системы не заходила в запретную зону, окружающую точку
(-1, j0). Точность импульсной системы может оцениваться по коэффициентам ошибок. Аналогично непрерывным системам, начиная с некоторого момента времени ошибку дискретной системы регулирования можно представить в виде ряда

где y - выходной сигнал, g – входной сигнал,
- коэффициенты ошибок, которые представляют собой коэффициенты разложения передаточной функции
по ошибке в ряд Маклорена по степеням s:
.
Рекомендуемые материалы
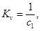
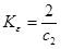
Величины, обратные коэффициентам
могут называться соответствующими добротностями. Например, добротность по скорости

добротность по ускорению

и т.д.
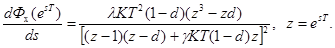
Пример 5.3. Вычислим коэффициент добротности по скорости для системы с передаточной функцией разомкнутой цепи
,
где
.
Решение. Найдем передаточную функцию по ошибке:
.
Подстановка в это выражение z = 1 дает коэффициент
Для получения
Рекомендуем посмотреть лекцию "18 - Устройства ввода ЭВМ. Клавиатура".
коэффициента
находим первую производную:

Подстановка z = 1 дает коэффициент
,
а также добротность по скорости
.


















