Для студентов СамГТУ по предмету Высшая математикаПриложения интегрального исчисленияПриложения интегрального исчисления
5,0053255
2024-07-272024-07-27СтудИзба
ДЗ: Приложения интегрального исчисления вариант 2
Описание
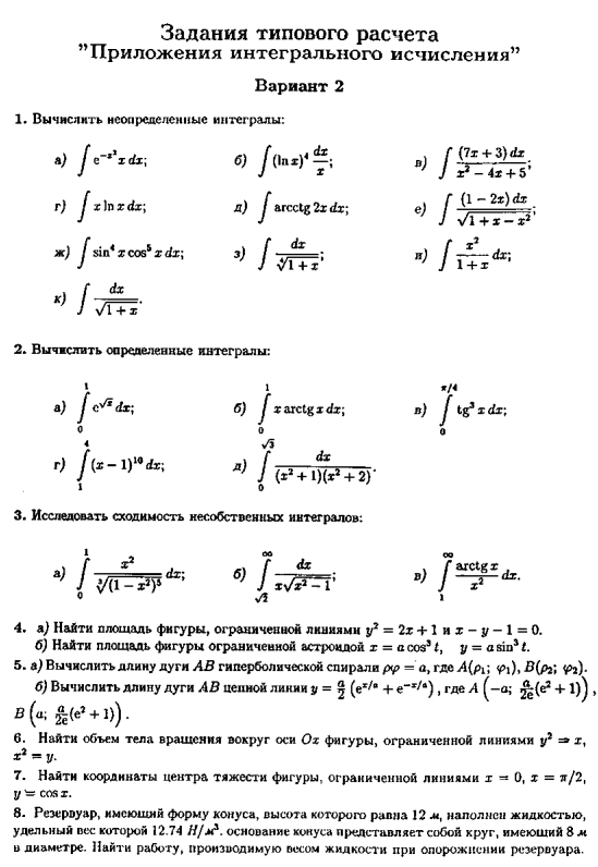
Задания типового расчета
1. Вычислить неопределенные интегралы
2. Вычислить определенные интегралы
3. Исследовать сходимость несобственных интегралов
4. а) Найти площадь фигуры, ограниченной линиями
б) Найти площадь фигуры ограниченной астроидой
5. а) Вычислить длину дуги АВ гиперболической спирали
6) Вычислить длину дуги АВ цепной линии
6. Найти объем тела вращения вокруг оси О фигуры, ограниченной линиями
7. Найти координаты центра тяжести фигуры, ограниченной линиями
8. Резервуар, имеющий форму конуса, высота которого равна 12 м, наполнен жидкостью, удельный вес которой 12.74 Н/м . основание конуса представляет собой круг, имеющий 8 м в диаметре. Найти работу, производимую весом жидкости при опорожнении резервуара.
![]()
1. Вычислить неопределенные интегралы
2. Вычислить определенные интегралы
3. Исследовать сходимость несобственных интегралов
4. а) Найти площадь фигуры, ограниченной линиями
б) Найти площадь фигуры ограниченной астроидой
5. а) Вычислить длину дуги АВ гиперболической спирали
6) Вычислить длину дуги АВ цепной линии
6. Найти объем тела вращения вокруг оси О фигуры, ограниченной линиями
7. Найти координаты центра тяжести фигуры, ограниченной линиями
8. Резервуар, имеющий форму конуса, высота которого равна 12 м, наполнен жидкостью, удельный вес которой 12.74 Н/м . основание конуса представляет собой круг, имеющий 8 м в диаметре. Найти работу, производимую весом жидкости при опорожнении резервуара.

Характеристики домашнего задания
Предмет
Учебное заведение
Вариант
Просмотров
1
Качество
Фото рукописных листов
Размер
490,62 Kb
Список файлов
Tipovik_SamGTU_Prilozhenia_integralnogo_ischislenia_8_zadaniy-274-288.pdf

Если нужен другой вариант работы или отдельная задача из любой работы, пишите в комментарии