Для студентов СПбПУ Петра Великого по предмету Вычислительная математикаОтветыОтветы
5,00535
2022-11-122022-11-12СтудИзба
Ответы к экзамену: Ответы
Описание
Методом наименьших квадратов аппроксимировать полиномом второй степени функцию заданную дискретно
Дана таблица значений функции. Пользуясь формулой Лагранжа, найти значение функции в точке х = 3.
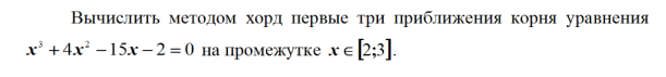
Вычислить методом хорд первые три приближения корня уравнения на промежутке
Вычислить методом касательных первые три приближения корня уравнения на промежутке
Вычислить методом деления отрезка пополам первые три приближения корня уравнения на промежутке
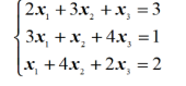
Найти решение системы уравнений методом простых итераций. Выполнить два хода итерации.
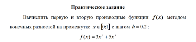
Вычислить первую и вторую производные функции методом конечных разностей на промежутке с шагом
Вычислить определенный интеграл при шаге интегрирования по формуле прямоугольников
Вычислить определенный интеграл при шаге интегрирования по формуле трапеций
Вычислить определенный интеграл при шаге интегрирования по формуле Симпсона
Найти решения задачи Коши для ОДУ методом Эйлера при шаге интегрирования
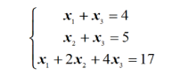
Найти три последовательных приближения решения уравнения



Дана таблица значений функции. Пользуясь формулой Лагранжа, найти значение функции в точке х = 3.



Вычислить методом хорд первые три приближения корня уравнения на промежутке



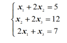
Найти решение системы уравнений методом простых итераций. Выполнить два хода итерации.



Вычислить первую и вторую производные функции методом конечных разностей на промежутке с шагом

Вычислить определенный интеграл при шаге интегрирования по формуле прямоугольников

Вычислить определенный интеграл при шаге интегрирования по формуле Симпсона
Найти решения задачи Коши для ОДУ методом Эйлера при шаге интегрирования

Найти три последовательных приближения решения уравнения
Характеристики ответов (шпаргалок) к экзамену
Предмет
Учебное заведение
Просмотров
113
Размер
1,03 Mb
Список файлов
Ekzamen.pdf

Если нужен другой вариант работы или отдельная задача из любой работы, пишите в комментарии
Комментарии

vbrezgina: здравствуйте! есть все задачи с прокторинга курса. сможете решить? срок до четверга
Нет

здравствуйте! есть все задачи с прокторинга курса. сможете решить? срок до четверга

tddd: Здравствуйте, нету
можно будет заказать решение? примерно 16 декабря

vbrezgina: здравствуйте! подскажите, а есть ответы на прокторинг с итмо проктром? или можно будет заказать решение?
Здравствуйте, нету

здравствуйте! подскажите, а есть ответы на прокторинг с итмо проктром? или можно будет заказать решение?