Для студентов МГТУ им. Н.Э.Баумана по предмету Теория вероятностей и математическая статистика (ТВиМС)ДЗ№3 Теория вероятностейДЗ№3 Теория вероятностей
5,0051
2020-10-262020-10-26СтудИзба
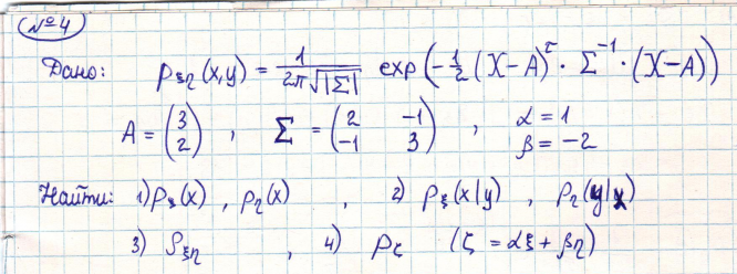
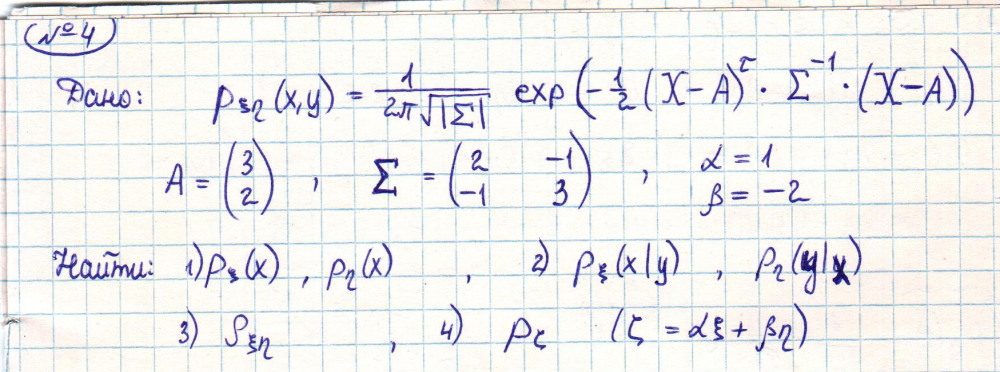
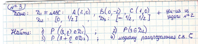
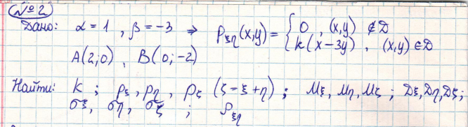
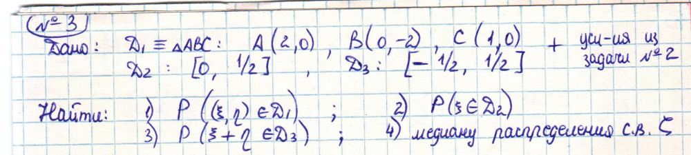
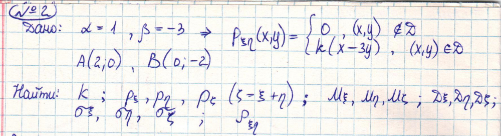
ДЗ 3: ДЗ№3 Теория вероятностей вариант 16
Описание
Характеристики домашнего задания
Учебное заведение
Номер задания
Вариант
Просмотров
231
Размер
12,34 Mb
Список файлов
Комментарии
Нет комментариев
Стань первым, кто что-нибудь напишет!
МГТУ им. Н.Э.Баумана
tatyrom














