Для студентов АГТУ по предмету Теория вероятностей и математическая статистика (ТВиМС)Теория Вероятностей 2 курс 1 вариант | Контрольная работаТеория Вероятностей 2 курс 1 вариант | Контрольная работа
4,915211
2022-10-042022-10-04СтудИзба
Ответы к контрольной работе: Теория Вероятностей 2 курс 1 вариант | Контрольная работа вариант 1
Описание
1. Задание:
Числа натурального ряда 1, 2, 3, …., n расставлены случайно. Найти вероятность того, что числа 1 и 2 расположены рядом и притом в порядке возрастания.
2. Задание:
Три станка работают независимо. Вероятность того что первый станок в течение смены выйдет из строя равна 0.1, для второго и третьего станков эти вероятности соответственно 0.2 и 0.3. Найти вероятность того, что в течение смены:
1) Только один станок не выйдет из строя.
2) Не выйдут из строя только два станка.
3) Три станка выйдут из строя.
4) Хотя бы один станок не выйдет из строя.
3. Задание:
Сборщик получает в среднем 50% деталей первого завода, 30% - второго завода, 20% третьего завода. Вероятность того, что деталь первого завода отличного качества равна 0.7, для второго и третьего заводов эти вероятности соответственно равны 0.8 и 0.75.
Найти вероятность того, что:
1) На удачу взятая сборщиком деталь оказалась отличного качества.
2) Выбранная деталь отличного качества изготовлена третьим заводом.
4. Задание:
Вероятность работы автомата в некоторый момент времени равна p. Имеется k независимо работающих автоматов.
Найти:
1) Вероятность того, что:
А) будут работать в данный момент равно m автоматов.
Б) будут работать не болеее m автоматов.
2) наивероятнейшее число работающих автоматов среди k автоматов.
p = 0.55; k = 7; m = 4;
5. Задание:
Среднее число вызовов, поступающих на АТС в одну минуту, равно четырем. Найти вероятность того, что за две минуты поступит:
А) шесть вызовов.
Б) менее шести вызовов.
6. Задание:
На конвейер за смену поступает n изделий. Вероятность того, что поступившая на конвейер деталь стандартна, равна p. Найти вероятность того, что стандартных деталей на конвейер за смену поступило ровно m.
n = 300; p = 0.75; m = 240;
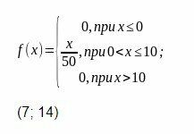
7. Задание:
Определить математическое ожидание и среднее квадратичное отклонение случайной величины; построить функцию распределения F(x), если закон распределения этой случайной величины имеет вид:
8. Задание:
Производится три независимых опыта, в каждом из которых событие А появляется с вероятностью 0.6. Построить ряд распределения и функцию распределения случайной величины Х числа появления события А в трех опытах. Найти числовые характеристики этой случайной величины Х.
9. Задание:
Случайная величина Х задана интегральной функцией (функцией распределения) F(x).
Найти:
А) дифференциальную функцию (плотность вероятности) f(x);
Б) математическое ожидание и дисперсию.
В) вероятность попадания случайной величины Х в интервал (a, b);
10. Задание:
Случайная величина Х задана дифференциальной функцией (плотность вероятности) f(x).
Найти:
А) интегральную функцию (функцию распределения) F(x);
Б) математическое ожидание и дисперсию.
В) вероятность попадания случайной величины Х в интервал (a, b);
11. Задание:
Для нормально распределенной случайной величины Х известны математическое ожидание
и среднее квадратическое отклонение
.
Найти:
А) вероятность того, что случайная величина Х примет значение, принадлежащее интервалу (
);
Б) вероятность того, что абсолютная величина разности Х – окажется меньше
.
12. Задание:
Обработка вариационного ряда. Гистограмма. Полигон.
Задана совокупность вариационных (статистических) рядов.![]()
Числа натурального ряда 1, 2, 3, …., n расставлены случайно. Найти вероятность того, что числа 1 и 2 расположены рядом и притом в порядке возрастания.
2. Задание:
Три станка работают независимо. Вероятность того что первый станок в течение смены выйдет из строя равна 0.1, для второго и третьего станков эти вероятности соответственно 0.2 и 0.3. Найти вероятность того, что в течение смены:
1) Только один станок не выйдет из строя.
2) Не выйдут из строя только два станка.
3) Три станка выйдут из строя.
4) Хотя бы один станок не выйдет из строя.
3. Задание:
Сборщик получает в среднем 50% деталей первого завода, 30% - второго завода, 20% третьего завода. Вероятность того, что деталь первого завода отличного качества равна 0.7, для второго и третьего заводов эти вероятности соответственно равны 0.8 и 0.75.
Найти вероятность того, что:
1) На удачу взятая сборщиком деталь оказалась отличного качества.
2) Выбранная деталь отличного качества изготовлена третьим заводом.
4. Задание:
Вероятность работы автомата в некоторый момент времени равна p. Имеется k независимо работающих автоматов.
Найти:
1) Вероятность того, что:
А) будут работать в данный момент равно m автоматов.
Б) будут работать не болеее m автоматов.
2) наивероятнейшее число работающих автоматов среди k автоматов.
p = 0.55; k = 7; m = 4;
5. Задание:
Среднее число вызовов, поступающих на АТС в одну минуту, равно четырем. Найти вероятность того, что за две минуты поступит:
А) шесть вызовов.
Б) менее шести вызовов.
6. Задание:
На конвейер за смену поступает n изделий. Вероятность того, что поступившая на конвейер деталь стандартна, равна p. Найти вероятность того, что стандартных деталей на конвейер за смену поступило ровно m.
n = 300; p = 0.75; m = 240;
7. Задание:
Определить математическое ожидание и среднее квадратичное отклонение случайной величины; построить функцию распределения F(x), если закон распределения этой случайной величины имеет вид:
8. Задание:
Производится три независимых опыта, в каждом из которых событие А появляется с вероятностью 0.6. Построить ряд распределения и функцию распределения случайной величины Х числа появления события А в трех опытах. Найти числовые характеристики этой случайной величины Х.
9. Задание:
Случайная величина Х задана интегральной функцией (функцией распределения) F(x).
Найти:
А) дифференциальную функцию (плотность вероятности) f(x);
Б) математическое ожидание и дисперсию.
В) вероятность попадания случайной величины Х в интервал (a, b);
10. Задание:
Случайная величина Х задана дифференциальной функцией (плотность вероятности) f(x).
Найти:
А) интегральную функцию (функцию распределения) F(x);
Б) математическое ожидание и дисперсию.
В) вероятность попадания случайной величины Х в интервал (a, b);
11. Задание: Для нормально распределенной случайной величины Х известны математическое ожидание
и среднее квадратическое отклонение
. Найти:
А) вероятность того, что случайная величина Х примет значение, принадлежащее интервалу (
); Б) вероятность того, что абсолютная величина разности Х – окажется меньше
.
12. Задание: Обработка вариационного ряда. Гистограмма. Полигон.
Задана совокупность вариационных (статистических) рядов.

- 1)Найти: а) моду и медиану; б) среднее выборочное; в) статистическую дисперсию и выборочное среднее квадратическое отклонение.
- 2)Построить гистограмму распределения.
- 3)Найти теоретические частоты при гипотезе, что случайная величина распределена нормально.
- 4)Построить полигон распределения и теоретическую кривую распределения.
- 5)Применить критерии Пирсона и Колмогорова для проверки гипотезы о нормальности распределения.
- 6)Построить доверительный интервал для среднего при доверительной вероятности 0.8.
Файлы условия, демо
Характеристики ответов (шпаргалок) к КР
Учебное заведение
Вариант
Просмотров
8
Размер
6,86 Mb
Список файлов
Теория Вероятностей 2 курс 1 вариант.docx
Комментарии
Нет комментариев
Стань первым, кто что-нибудь напишет!

АГТУ

















