Для студентов МФПУ «Синергия» по предмету Теория вероятностей и математическая статистика (ТВиМС)Теория вероятностей и математическая статистика (Темы 1-10)Теория вероятностей и математическая статистика (Темы 1-10)
5,005331
2025-01-202025-01-20СтудИзба
Теория вероятностей и математическая статистика Синергия Ответы на тесты 1-10, итоговый тест, компетентностный
Ответы к зачёту 1-10, итог, комп: Теория вероятностей и математическая статистика (Темы 1-10)
Бестселлер
-18%
Описание
Представлены ответы на большинство вопросов по предмету "Теория вероятностей и математическая статистика" (Темы 1-10).
Результат сдачи зависит от попавшихся вопросов.
Мой итоговый набранный балл 100 из 100 (Скриншот прилагаю).
ВНИМАНИЕ! Покупайте работу, только убедившись, что ваши вопросы совпадают с представленными ниже. Для этого рекомендую сначала запустить тест и сверить хотя бы несколько вопросов.
УЧЕБНЫЕ МАТЕРИАЛЫ
СПИСОК ВОПРОСОВ:
ТЕСТ 1
… события A до всего пространства элементарных исходов называется такое событие, которое включает все элементарные исходы из Ω, не входящие в A
Вероятность достоверного события равна …
Для некоторой местности среднее число дождливых дней в августе равно 15. Нужно найти вероятность того, что первые два дня августа не будут дождливыми. Что следует для этого предпринять? Приведите расчеты.
Несовместные события – это …
Практически достоверным называется событие, вероятность которого весьма близка к единице, но не равна …
Практически невозможным событием называется событие, вероятность которого весьма близка к нулю, но не равна …
Пространством … исходов (событий) - некоторого испытания (опыта) называется множество всех возможных результатов проведения этого испытания
Расположите в порядке возрастания вероятности P(A₁), P(A₂), P(A₃), P(A₄), если известно, каким заводом поставлено какое число товаров на склад в процентном отношении от общего их количества на складе, а также описаны события A₁ A₂ А₃ А₄ (см. таблицу ниже):
1 P(A₂)
2 P(A₄)
3 P(A₁)
4 P(A₃)
Событие (исход опыта, испытания) – это … (укажите 2 варианта ответа)
Соотнесите понятия теории вероятности с их описаниями:
A. События противоположные
B. События совместные
C. События несовместные
D. События невозможные
E. если в данном испытании появление одного из них исключает появление другого и одно из них обязательно происходит.
F. если появление одного из них не исключает появления другого в одном и том же испытании
G. если появление одного из них исключает появление другого в одном и том же испытании
H. если они не могут произойти ни при каком исходе опыта или наблюдения
Такая группа событий, что в результате испытания (т.е. каждого проведения данного опыта) обязательно появится одно и только одно из событий этой группы – это … группа событий (для данного опыта)
Теория вероятностей – это …
ТЕСТ 2
n! – это … всех натуральных чисел от 1 до n
В группе 9 человек. Известно, что что в подгруппу входит не более 2 человек.
Сколько можно образовать разных подгрупп при данном условии? Что для этого следует предпринять?
Комбинаторика – это раздел математики, изучающий …
Перестановка n объектов / элементов – это способ их последовательного расположения с учетом …
Размещение из n по k – это … набор из k различных элементов, взятых из некоторого множества с мощностью n, где k ≤ n
Согласно правилу произведения, если объект A можно выбрать n способами и после каждого такого выбора объект B можно выбрать m способами, то для пары «A и B » есть … вариантов выбора
Согласно правилу суммы, если объект A можно выбрать n способами, а объект B можно выбрать m способами, то объект «A или B » можно выбрать … способами
Соотнесите понятия комбинаторики с их описаниями:
A. Сочетания с повторениями
B. Сочетания без повторений
C. Перестановки без повторений
D. Перестановки с повторениями
E. комбинаторные соединения из n элементов по m, составленные из этих элементов без учета порядка с возможностью многократного повторения предметов
F. комбинаторные соединения из n элементов по m, составленные из этих элементов и отличающиеся друг от друга только составом
G. комбинаторные соединения, которые могут отличаться друг от друга лишь порядком входящих в них элементов
H. комбинаторные соединения, в которых среди образующих элементов имеются одинаковые
Сочетание из n по k – это … набор из k различных элементов, взятых из некоторого множества с мощностью n, где k ≤ n, то есть набор, для которого порядок выбора не имеет значения
Сочетания без повторений – это комбинаторные соединения из n элементов по m, составленные из этих элементов и отличающиеся друг от друга только …
Сочетания с повторениями – это комбинаторные соединения из n элементов по m, составленные из этих элементов без учета … с возможностью многократного повторения предметов
Упорядочите значения выражений в порядке возрастания:
1 C²₉ / P₁₀
2 C²₉
3 A³₉
4 P₁₀
ТЕСТ 3
........ вероятностью называется вероятность события B при условии, что событие A наступило с вероятностью P(A) > 0
Вероятность события А – попадут ровно два стрелка, если вероятность попадания в мишень для первого стрелка равна 0,7, для второго – 0,6, для третьего – 0,8 (стрелки делают по одному выстрелу), равна…………
Если H₁, H₂, …, Hₙ – … группа попарно несовместных событий, то для любого события A имеет место формула полной вероятности P(A)=P(H₁)P(A|H₁)+…+P(Hₙ)P(A|Hₙ)
Основные теоремы теории вероятностей:… (укажите 2 варианта ответа)
Расположите в порядке возрастания вероятности Р(А1), Р(А2), Р(А3), если известно, что студент знает ответ на 20 вопросов из 25, что он ответит на три вопроса, предложенные преподавателем. Пусть событие Ai— ответ студента на i-й вопрос.
1 P(A₃)
2 P(A₂)
3 P(A₁)
Событие A называется независимым от события B, если его …
Соотнесите гипотезы с результатами их вычислений, если известно, что в торговую фирму поступили телевизоры от трех поставщиков в отношении 1:4:5.
A. H1 = {телевизор поступил от первого поставщика}
B. H2 = {телевизор поступил от второго поставщика}
C. H3 = {телевизор поступил от третьего поставщика}
D. 0,1;
E. 0,4;
F. 0,5.
Теорема сложения вероятностей гласит, что если событие C равно сумме … событий A и B, то вероятность события C равна сумме вероятностей событий A и B составляет P(A+B)=P(A)+P(B)
Формула … применяется для вычисления вероятности того, что в n независимых испытаниях, в каждом из которых вероятность появления события равна р (0 < р < 1), событие наступит ровно k раз (безразлично, в какой последовательности), равна Pₙ(k) = Cₙᵏpᵏqⁿ⁻ᵏ, где q = 1 – p
Формула … применяется для вычисления условной вероятности P(H₁|A) гипотезы H₁ после испытания, при котором произошло событие A:
Экспедиция издательства отправила газеты в три почтовых отделения. Вероятность своевременной доставки газет в первое отделение равна 0,95, во второе – 0,9, в третье – 0,8. Нужно найти вероятность того, что хотя бы одно отделение получит газеты с опозданием. Что следует для этого предпринять? Приведите расчеты.
ТЕСТ 4
… Мо(X) случайной величины X называется ее наиболее вероятное значение (для которого вероятность p, или плотность вероятности f(x) достигает максимума)
… распределения непрерывной случайной величины ξ в точке x называется производная ее функции распределения в этой точке x, т. е., если F(x) – функция распределения случайной величины ξ, а f(x) обозначает плотность распределения, то f(x) = F'(x)
Дискретная случайная величина – это величина, которая …
Непрерывная случайная величина – это величина, которая …
Производящая … распределения записывается формулой pₖ = P(X = k)
Рабочий обслуживает 3 станка, вероятности выхода из строя каждого из которых в течение часа соответственно равны 0,2; 0,15; 0,1. Что следует предпринять, чтобы составить закон распределения числа станков, не требующих ремонта в течение часа?
Случайная величина – это …
Соотнесите понятия теории вероятностей с их математическими выражениями:
A. Математическое ожидание дискретной случайной величины
B. Дисперсия дискретной случайной величины
C. Среднеквадратическое отклонение
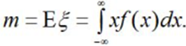
D. Математическое ожидание непрерывной случайной величины
E.
F.
G.
H.
Упорядочите вероятности безотказной работы соответствующих элементов q₁, q₂, q₃, q₄ в порядке возрастания, если известно, что электроприбор содержит два независимо работающих блока A и B, каждый из которых состоит из нескольких элементов (см. рисунок ниже) и известны вероятности отказа каждого из элементов: p₁ = 0,3, p₂ = 0,2, p₃ = 0,1, p₄ = 0,4, p₅ = 0,23, p₆ = 0,25, p₇ = 0,35:
1 q₄
2 q₁
3 q₂
4 q₃
Функцией … случайной величины называется вероятность того, что она примет значение меньше, чем заданное x, т.е. F(x) = P(ξ < x)
Функция … F(x) выражается через f(x) как F(x) = ∫f(t)dt
Числовые характеристики позволяют выразить …
ТЕСТ 5
Время между двумя последовательными переходами Ai Aj и Aj Ak называется …
Дискретная случайная величина X имеет геометрическое распределение если она принимает значения … с вероятностями P(X = k) = qᵏ⁻¹p, где 0 < p < 1, q = 1 – p.
Законом распределения случайной величины называется любое правило (таблица, функция), которое …
Нормальное распределение – это распределение, у которого крайние значения признака встречаются достаточно …
Производящая … распределения записывается формулой pₖ = P(X = k)
Случайная величина x имеет … распределение на интервале [a, b], если ее плотность распределения имеет вид: f(x) = {1/(b – a), если x ∈ (a, b]; 0, если x ⋶ (a, b].
Случайная величина X имеет … распределение с параметром λ > 0, если ее плотность равна f(X) = {0, если x < 0; λe^(–λx), если x ≥ 0
Случайная величина X распределена по … закону с параметрами (n, p), (0 ≤ p ≤ 1, n ≥ 1), если P(k) = {0, если k < 0; Cₙᵏpᵏ(1 – p)ⁿ⁻ᵏ, если k ≤ n; 0, если k > n.
Случайная величина x распределена по … закону с параметрами m и σ, если ее плотность распределения имеет вид: f(x) = 1/(σ√2π) e^(–(x–m)²/2σ²)
Соотнесите понятия теории вероятностей с их математическими выражениями:
A. Геометрическое распределение
B. Распределения по закону Пуассона
C. Биноминальное распределение
D. Нормальное распределение
E. P(X = k) = qᵏ⁻¹p, где 0 < p < 1, q = 1 – p.
F. P(m) = (λᵐ/m!) e^(– λ), m=0, 1, 2,…
G. P(k) = {0, Cₙᵏpᵏ(1 – p)ⁿ⁻ᵏ, 0, если k
H. P(a ≤ ξ ≤ b) = 1/(σ√2π) ∫e
Устройство состоит из 1000 элементов, работающих независимо. Вероятность отказа любого элемента в течение времени Т равна 0,002. По условию n=1000, р=0,002, m=
Что следует предпринять, чтобы найти вероятность того, что за время Т откажут ровно три элемента?
ТЕСТ 6
… попадания нормально распределенной случайной величины в заданный интервал вычисляют по формуле: P(a ≤ ξ ≤ b) = Ф((b – m)/σ) – Ф((a – m)/σ).
Изменение величины параметра m (математического ожидания) не изменяет формы нормальной кривой, а приводит лишь к ее сдвигу вдоль оси …
Нечетная функция Ф(x) = 1/(√2π) ∫e^(–t²/2)dt называется функцией …
Нормальный закон можно рассматривать как предельный, к которому …
С возрастанием среднего квадратичного … максимальная ордината нормальной кривой убывает, а сама кривая становится более пологой
Случайная величина x имеет … распределение, если функция распределения имеет вид: F(x) = 1/(σ√2π) ∫e^(–(x–m)²/2σ²)dx
Случайная величина X имеет нормальное распределение если функция …
Случайная величина x распределена по … закону с параметрами m=0 и σ =1, если ее плотность распределения имеет вид: f(x) = 1/(√2π) e^(–x²/2)
Случайная величина X распределена по нормальному закону с математическим ожиданием a=2 и средним квадратическим отклонением σ =0,3.
Что следует предпринять, чтобы найти вероятность отклонения случайной величины X от своего математического ожидания по абсолютной величине, меньше, чем 0,4?
1 Используем формулу: P(|X – m| < δ) = 2Ф(δ/σ). В данном случае: P(|X – 9| < 6) = 2Ф(6/3) = 2Ф(2) ≈ 2·0,47725 = 0,9545 – вероятность того, что значение X отклонится по модулю от m = 9 не более чем на δ = 6.
2 Используем формулу: P(|X – a| < δ) = 2Ф(δ/σ). В данном случае: P(|X – 2| < 0,4) = 2Ф(0,4/0,3) = 2Ф(1,33) ≈ 2·0,4082 = 0,8165 – вероятность того, что X отклонится по модулю от своего математического ожидания не более чем на 0,4.
3 Используем формулу: P(|X – a| < δ) = 2Ф(δ/σ), где Ф(x) – функция Лапласа. В данном случае δ = 3,6: P(|X| < 3,6) = 2Ф(3,6/3) = 2Ф(1,2) ≈ 2·0,3849 = 0,7699 ≈ 0,77 –вероятность того, что изделие – высшего качества. Таким образом, среднее число изделий высшего качества среди 100 изготовленных: 0,77·100 = 77.
Соотнесите понятия нормального распределения с их математическими выражениями:
A. Плотность распределения
B. Функция распределения
C. Вероятность попадания случайной величины в интервал
D. Формула связи функции распределения с Функцией Лапласа
E. f(x) = 1/(σ√2π) e^(–(x–m)²/2σ²)
F. F(x) = 1/(σ√2π) ∫e^(–(t–m)²/2σ²)dt
G. P(a ≤ ξ ≤ b) = 1/(σ√2π) ∫e^(–(t–m)²/2σ²)dt
H. F(x) = 1/2 + Ф((x – m)/σ)
Упорядочите в порядке возрастания вероятности P₁(А) и P₂(В), P₃(С) если случайная величина X – ошибка измерительного прибора распределена по нормальному закону с σ = 3 см, систематическая ошибка прибора отсутствует. События А, В, С описаны в таблице.
1 P₁ (А)
2 P₂ (В)
3 P₃(С)
Числовыми характеристиками нормального закона распределения являются …
ТЕСТ 7
Вероятность того, что случайная величина X, имея дисперсию D(X) = 0,001, отличается от M(X) более чем на 0,1 равна …
Неравенство … имеет вид: P(|X – M(X)| ≥ tσ(X)) < 1/t²,
Неравенство Чебышёва заключается в том, что вероятность того, что отклонение случайной величины X от ее …
Неравенство Чебышёва оценивает вероятность того, что отклонение случайной величины X от математического ожидания M(X) превзойдет заданное положительное число ε; оказывается, что эта вероятность, вообще говоря, тем меньше, чем …
Соотнесите понятия математической статистики с их описаниями:
A. Теорема Ляпунова (простейшая форма, когда Хₖ взаимно независимы и одинаково распределены)
B. Теорема Пуассона.
C. Теорема Маркова. (закон больших чисел в общей формулировке)
D. Теорема Чебышёва.
E. если случайные величины X1, X2,..... Xn взаимно независимы и имеют один и тот же закон распределения с математическим ожиданием m и дисперсией D, причем существует третий абсолютный момент V3, то при неограниченном увеличении n закон распределения суммы неограниченно приближается к нормальному
F. при неограниченном увеличении числа независимых опытов в переменных условиях частота события А сходится по вероятности к среднему арифметическому его вероятностей pi при данных испытаниях
G. если дисперсия произвольных случайных последовательности X1, X2,..... Xn удовлетворяют то для любого положительного ε > 0 имеет место Чебышева:
H. при неограниченном увеличении числа независимых испытаний среднее арифметическое наблюдаемых значений случайной величины, имеющей конечную дисперсию, сходится по вероятности к ее математическому ожиданию иначе, если X₁,X₂,… независимые одинаково распределенные случайные величины с математическим ожиданием mx и ограниченной дисперсией Dₓ, то при любом ε > 0 справедливо:
Теорема … — закон больших чисел гласит, что при неограниченном увеличении числа однородных независимых опытов частота события будет сколь угодно мало отличаться от вероятности события в отдельном опыте
Теорема … гласит, если случайные величины X₁, X₂, …, Хₖ, … попарно независимы и D(Хₖ) ≤ C для всех k, то при любом ε > 0 имеет место равенство (8):
Теоремы, носящие название закона больших чисел – это …
Упорядочьте в порядке убывания значения вероятностей того, что случайная величина X с дисперсией D(X) = 0,001отличается от M(X) более чем:
1 0.3
2 0,1
3 0.2
4 0,4
Формой неравенства … является неравенство: P(|X – M(X)| ≤ ε) > 1 – D(X)/ε².
Центральная предельная теорема … гласит, если последовательность попарно независимых случайных величин X₁, X₂, …, Хₙ, …, удовлетворяет условию
ТЕСТ 8
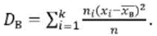
В целях изучения стажа рабочих завода проведена 36-процентная механическая выборка, в результате которой получено следующее распределение рабочих по стажу работы (см. таблицу ниже).
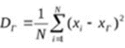
На основе этих данных вычислите: средний стаж рабочих завода; средний квадрат отклонений (дисперсию); среднее квадратическое отклонение. Приведите формулы для вычислений.
Выборка называется … , если отобранный объект в генеральную совокупность не возвращается
Выборка называется … , если отобранный объект перед началом следующего выбора возвращается в генеральную совокупность
Выборка называется …, если случайная выборка такова, что по ее распределению по некоторому признаку можно судить о распределении по этому же признаку неизвестной генеральной совокупности
Выборка называется случайной или собственно-случайной, если …
Выборочный метод заключается в том, чтобы по …
Генеральная совокупность – это …
Объем генеральной совокупности – это …
Ряд называется … рядом, если он является статистической совокупностью, у которой все данные располагаются в порядке возрастания или убывания значений случайной величины
Ряд, полученный из вариационного ряда путем объединения случайных величин в разряды, называется … рядом
Соотнесите понятия математической статистики с их описаниями:
A. Точечная оценка
B. Интервальная оценка
C. Предельная ошибка выборки
D. Средняя квадратичная ошибка
E. оценка, которая выражается одним числом
F. числовой интервал[Q₁,Q₂], который с заданной неизвестное значение параметра θ
G. наибольшее отклонение Δ выборочной средней (доли), которое возможно с вероятностью γ
H. среднее квадратическое отклонение выборочной средней и выборочной доли собственно случайной выборки
ТЕСТ 9
Генеральная средняя — это среднее … значений генеральной совокупности
Если же значения признака x₁, x₂ …, xₖ имеют соответственно частоты N₁ N₂ …, Nₖ причем N₁ + N₂ + … + Nₖ = N, то … средняя вычисляется по формуле х = (x₁N₁ + x₂N₂ + … + xₖNₖ)/N,
Если рассматривать обследуемый признак X генеральной совокупности как случайную величину, то математическое ожидание признака равно … средней этого признака
Известно, что точность прибора σ₀ = 0,02 и спомощью этого прибора проведено n =25 независимых повторных измерений некоторой физической величины, среднее выборочное равно 2,42.
Найти реализацию доверительного интервала для математического ожидания т; доверительная вероятность 1– α = 0,95. Приведите все необходимые действия.
Оценка называется … , если она выражается одним числом и решает задачу какую величину, вычисленной по выборочной совокупности, принять в качестве приближенного значения характеристики генеральной совокупности
Оценка называется … , если она решает задачу в каком интервале этой величины будет находится с заданной надежностью генеральная характеристика
Соотнесите понятия статистики с их характеристиками:
A. Генеральная дисперсия
B. Генеральным средним квадратическим отклонением
C. Генеральная средняя
D. Выборочная дисперсия
E.
F.
G.
H.
Статистическая оценка, которая при n → ∞ стремится, по вероятности, к оцениваемому параметру, т.е. при увеличении количества опытов оценка θ* параметра должна стремиться (сходиться) к истинному значению этого параметра, называется …
Статистическую оценку θ*, математическое ожидание которой равно оцениваемому параметру θ при любом объеме выборки, т.е. M(θ*) = θ называют …
Статистическую оценку, которая (при заданном объеме выборки n) имеет наименьшую возможную дисперсию называют …
Упорядочите алгоритм действий для построения реализации доверительного интервала на основе данной реализации выборки x₁, x₂, …, xₙ:
1 формулируют предположения о распределении и о выборке x₁, x₂, …, xₙ (допущения, принимаемые при построении априорной теоретической модели)
2 выбирают значение доверительной вероятности 1– α (или уровня значимости)
3 принимают, что вероятность практически достоверного события равна l– α
4 принимают вероятность практически невозможного события равной α
5 записывают вероятностное равенство:
6 проводят эксперимент – получают конкретную реализацию выборки x₁, x₂, … , xₙ
7 вычисляют значения v₁ₑ= v₁(x₁, x₂, …, xₙ) и v₂ₑ= v₂(x₁, x₂, …, xₙ), доверительного интервала – числовой интервал (v₁ₑ; v₂ₑ)
ТЕСТ 10
Дисперсия – это показатель … значений признака относительно своего среднего арифметического значения
Известно, что уровень значимости α составляет 0,05.
Как проверить, используя критерий Пирсона, согласуется ли гипотеза о нормальном распределении генеральной совокупности X по результатам выборки? Приведите все необходимые действия.
Квантиль в математической статистике – это значение, которое заданная … величина не превышает с фиксированной вероятностью
Квантиль хи-квадрат – это число (величина хи-квадрат), при котором функция распределения хи-квадрат равна заданной (затребованной) … а
Критерием согласия называется правило проверки гипотезы о предполагаемом … неизвестного распределения
Нулевая (или основная) гипотеза – это …
Ошибками первого рода называются ошибки, заключающиеся в … гипотезы
Ошибки второго рода заключаются в принятии … гипотезы
Соотнесите понятия статистики с их характеристиками:
A. Нормальное распределение
B. Описательная статистика
C. Параметрические критерии
D. Число степеней свободы
E. характеризуется тем, что крайние значения признака в нем встречаются достаточно редко, а значения, близкие к средней величине, – достаточно часто
F. изучает средние значения распределения и меры рассеивания или разброса данных
G. некоторые функции от параметров совокупности, которые служат для проверки гипотез об этих параметрах или для их оценивания
H. число классов вариационного ряда минус число условий, при которых он был сформирован
Статистический критерий – это …
Статистической гипотезой о законе распределения называют …
Упорядочите алгоритм действий согласно схеме проверки нулевой гипотезы:
1 определение объема выборки, осуществление формулировки проверяемой H₀-нулевой и H₁-альтернативной гипотез
2 выбор соответствующего уровня значимости α
3 выбор критерия K для проверки гипотезы H₀
4 определение критической области и области принятия гипотезы
5 вычисление наблюдаемого значения критерия Kнаб
6 принятие статистического решения
ИТОГОВЫЙ ТЕСТ
… без повторений – это комбинаторные соединения из n элементов по m, составленные из этих элементов и отличающиеся друг от друга только составом
… закон можно рассматривать как предельный, к которому приближаются другие законы при часто встречающихся типичных условиях
… из n по k – это неупорядоченный набор из k различных элементов, взятых из некоторого множества с мощностью n, где k ≤ n, то есть набор, для которого порядок выбора не имеет значения
… из n по k – это упорядоченный набор из k различных элементов, взятых из некоторого множества с мощностью n, где k ≤ n
… с повторениями – это комбинаторные соединения из n элементов по m, составленные из этих элементов без учета порядка с возможностью многократного повторения предметов
… хи-квадрат – это число (величина хи-квадрат), при котором функция распределения хи-квадрат равна заданной (затребованной) вероятности а
……..случайной величины x распределенной по нормальному закону f(x) = 1/(3√2π) e^(–(x–6)²/18) равно 6.
…………. закон распределения описывает случайные величины, значения которых определяют количество «успехов» и «неудач» при повторении опыта N раз.
В математической статистике … – это значение, которое заданная случайная величина не превышает с фиксированной вероятностью
Вероятность — это ……..мера осуществимости некоторого события при наличии неопределённости.
Вероятность нужна для оценки возможности наступления определенного …
Вероятность того, что отклонение случайной величины X от ее математического ожидания по абсолютной величине больше положительного числа ε либо равно ε, меньше, чем D(X)/ε2выражается неравенством …
Вероятность того, что отклонение случайной величины X от математического ожидания M(X) тем меньше, чем …
Вероятность это …
Выборка называется …, если отобранный объект в генеральную совокупность не возвращается
Выборка называется … выборкой, если отобранный объект перед началом следующего выбора возвращается в генеральную совокупность
Выборка называется репрезентативной, если по ее распределению по некоторому признаку можно судить о распределении по этому же признаку … совокупности с учетом допустимой погрешности
Выборка называется случайной или собственно-случайной, если …
Выборочный метод заключается в том, чтобы по …
Дискретная случайная величина X задана законом распределения представленном в таблице, неизвестная вероятность равна..........
Дискретная случайная величина в противоположность …величинам, заданы только отдельными значениями
Для того, чтобы вычислить ………. дискретной случайной величины X с помощью формулы D(X) = M (X²) – (М(X))² дополним таблицу распределения строчкой квадратов ее значений.
Достоверное событие– это …
Достоверное событие (для данного опыта) – это …
Если c —… величина, то D [c]=0
Если H₁, H₂, … , Hₙ – полная группа попарно несовместных событий, то для любого события А имеет место формула … вероятности P(A)=P(H₁)P(A|H₁)+…+P(Hₙ)P(A|Hₙ)
Если M(θ*) = θ то статистическую оценку θ* называют …
Если X (генеральной совокупность) - случайная величина, то математическое … признака равно генеральной средней этого признака.
Если в неравенства … P(|X – M(X)| ≤ ε) > 1 – D(X)/ε² сделать подстановку ε=tσ(X) то неравенство примет вид P(|X – M(X)| ≥ tσ(X)) < 1/t²
Если же значения признака x₁, x₂ …, xₖ имеют соответственно частоты N₁ N₂ …, Nₖ причем N₁ + N₂ + … + Nₖ = N, то … средняя вычисляется по формуле х = (x₁N₁ + x₂N₂ + … + xₖNₖ)/N,
Если при заданном объеме выборки n статистическая оценка имеет наименьшую возможную дисперсию называют, то ее называют …
Если при увеличении количества опытов оценка θ* параметра стремиться (сходиться) к истинному значению этого параметра, то статистическая оценка называется …
Закон распределения дискретной случайной величины представлен в таблице, тогда математическое ожидание равно……..
Законом распределения случайной величины называется любое правило (таблица, функция), которое …
Интервальная оценка решает задачу в каком интервале будет находится с заданной … генеральная характеристика случайной величины
Критерий … χ² (или критерий Пирсона) – это метод позволяет оценить статистическую значимость различий двух или нескольких относительных показателей (частот, долей)
Любое предположение о виде или параметрах неизвестного закона распределения – это … о законе распределения (укажите словосочетание)
Математическое ожидание – это величина, которая является характеристикой …
Математическое ожидание и дисперсия являются числовыми характеристиками … закона распределения
Множества, состоящие из конечного числа элементов, называются … множествами
Непрерывное равномерное распределение в теории вероятностей — это распределение случайной вещественной величины, принимающей значения, принадлежащие некоторому ……….. конечной длины.
Несовместные события – …
Несовместные события – это если появление одного из них …
Объединением событий A и B называется такое событие C = A ∪ B, которое включает все исходы события A, все исходы события B, включая и те, что … принадлежат A и B
Объекты, из которых образовано множество, называются его …
Объем генеральной совокупности – это …
Операции над событиями: умножение, … , объединение, дополнение, разность
Оценка вероятности, по неравенству Чебышева, того, что абсолютная величина разности между числом включенных ламп в осветительной сети из 20 ламп и средним числом отказов за время Т не меньше трех равна … , причем вероятность, что за время Т лампа будет включена равна 0,8
Оценка вероятности (по неравенству Чебышева), того, что абсолютная величина разности между числом отказавших элементов в устройстве из 10 независимо работающих элементов, у которых вероятность отказа р=0,05, и средним числом отказов за время Т меньше двух равна …
Ошибки … рода, заключаются в принятии неверной гипотезы
Пересечением событий A и B называется такое событие C = A ∩ B, включающее те и только те элементарные исходы, которые … принадлежат и событию A, и событию B
Показатель разброса значений признака относительно своего среднего арифметического значения называется …
Правило трех сигм позволяет определить вероятность нахождения значений в определенном … , но не дает точных численных значений
Правило трех сигм предполагает, что распределение случайной переменной является симметричным вокруг …
Правило трех сигм рассматривает только разброс значений относительно математического … , не учитывая возможные систематические ошибки или влияние других переменных
При неограниченном увеличении числа однородных … опытов частота события будет сколь угодно мало отличаться от вероятности события в отдельном опыте, согласно теореме Бернулли
Разностью событий А и В называется событие С = А-В (или С = А В), которое происходит тогда и только тогда, когда событие А происходит, а событие В …
Расположите в порядке возрастания вероятности P(A₁), P(А₂), P(А₃), P(A₄), если на складе появились новые товары, которые были поставлены с трех разных заводов, и известно, каким заводом поставлено какое число товаров в процентном отношении от общего их количества на складе (см. таблицу ниже):
1 Р(А2)
2 Р(А4)
3 Р(А1)
4 Р(А3)
Расположите в порядке возрастания вероятности Р(D), Р(D|M), Р(D|W), если известно, что 5% мужчин и 0.25% женщин — дальтоники, M ={ выбран мужчина }, W ={ выбрана женщина }, D ={ выбранный человек дальтоник }.
1 Р(D|W)
2 Р(D),
3 Р(D|M),
Ряд называется вариационным, если он является статистической совокупностью, у которой все данные располагаются … значений случайной величины
Ряд, полученный из … ряда путем объединения случайных величин в разряды, называется статистическим
С точки зрения теории вероятности математическое ожидание приблизительно равно среднему ………возможных значений дискретной случайной величины.
Случайная величина X имеет … распределение если функция распределения равна F(x) = 1/(σ√2π) ∫e^(–(t–m)²/2σ²)dt.
Случайная величина X имеет показательное … с параметром λ > 0, если ее плотность равна f(X) = {0, если x < 0; λe^(–λx), если x ≥ 0
Случайная величина X имеет показательное распределение с плотностью равной f(X) = {0, если x < 0; 5e⁻⁵ˣ, если x ≥ 0 с ………λ равным пяти.
Случайная величина x имеет равномерное распределение на интервале [a, b], если ее … распределения имеет вид: f(x) = {1/(b – a), если x ∈ (a, b]; 0, если x ⋶ (a, b].
Случайная величина x распределена по нормальному закону с параметрами m и σ, если ее … распределения имеет вид: f(x) = 1/(σ√2π) e^(–(x–m)²/2σ²)
Случайная величина X с дисперсией D(X) = 0,001 имеет вероятность того, что X отличается от M(X) более чем на 0,1 по неравенству Чебышёва равной …
Случайная величина может быть двух типов …
Событие (исход опыта, испытания) – это … (укажите 2 варианта ответа)
Согласно правилу произведения, если объект A можно выбрать n способами и после каждого такого выбора объект B можно выбрать m способами, то для пары «A и B » есть … вариантов выбора
Согласно правилу суммы, если объект A можно выбрать n способами, а объект B можно выбрать m способами, то объект «A или B» можно выбрать … способами
Соотнесите значения величин с их описаниями:
A. Оценка вероятности того, что в течение ближайшего дня потребность в воде в населенном пункте превысит 150 000 л (А: Х ≥ 150000), если среднесуточная потребность в ней составляет 50 000 л.
B. Оценка вероятности того, что в течение года в этой местности будет не более 240 солнечных дней (А: Х≤ 240 ¿, если среднее число солнечных дней в году для данной местности равно 90
C. Оценка вероятности того, что отклонение длины изготовленной детали от ее среднего значения по абсолютной величине не превзойдет 0,4 мм, если длина изготавливаемых деталей является случайной величиной, среднее значение которой 50 мм, σ=0,2 мм (А: |X−50|≤ 0.4¿.
D. Р(А)≤ 13
E. Р(А)¿0,625
F. Р(А)¿0,75
Соотнесите искомые величины задачи с их значениями, если длина X некоторой детали представляет собой случайную величину, распределенную по нормальному закону распределения, и имеет среднее значение 20 мм и среднее квадратическое отклонение − 0,2 мм:
A. вероятность того, что длина детали будет заключена между 19,7 и 20,3 мм;
B. вероятность того, что величина отклонения не превышает 0,1 мм;
C. каким должно быть задано отклонение, чтобы процент деталей, отклонение которых от среднего не превышает заданного, повысился до 54%;
D. 0, 8664
E. 0, 383
F. 0, 148
Соотнесите понятия математической статистики с их описаниями:
A. Генеральная совокупность
B. Интервальная оценка
C. Выборочная совокупность
D. Средняя квадратичная ошибка
E. статистическая совокупность, распределение которой изучается по интересующему нас признаку
F. числовой интервал[Q₁, Q₂], который с заданной неизвестное значение параметра θ
G. часть объектов, которая отобрана для непосредственного изучения из генеральной совокупности
H. среднее квадратическое отклонение выборочной средней и выборочной доли собственно случайной выборки
Соотнесите понятия математической статистики с их описаниями:
A. Репрезентативная выборка
B. Нерепрезентативная выборка
C. Средние величины - генеральная и выборочная
D. Генеральная и выборочная доли
E. выборка способная дать представительную характеристику генеральной совокупности, если ошибкой выборки можно пренебречь.
F. выборка не способная дать представительную характеристику генеральной совокупности, ошибка выборки больше известного допустимого предела
G. характеризуют типичные свойства генеральной и выборочной совокупностей по количественному признаку.
H. характеризуют удельный вес единиц в соответствующих совокупностях, обладающих той или иной качественной особенностью.
Соотнесите понятия множеств с их описаниями:
A. Множество натуральных чисел
B. Множество целых чисел
C. Множество рациональных чисел
D. Множество действительных чисел
E. N
F. Z
G. Q
H. R
Соотнесите понятия нормального распределения с их математическими выражениями:
A. Плотность стандартного распределения
B. Функция распределения
C. Вероятность попадания в интервал
D. Функция Лапласа
E. f(x) = 1/(√2π) e^(–x²/2); f(x) = 1/(√2π) e^(–x²/2)
F. F(x) = 1/(σ√2π) ∫e^(–(t–m)²/2σ²)dt
G. P(a ≤ ξ ≤ b) = Ф((b – m)/σ) – Ф((a – m)/σ)
H. Ф(x) = 1/(√2π) ∫e^(–t²/2)dt
Соотнесите понятия с их описаниями:
A. Упорядоченный выбор без возвращения
B. Неупорядоченный выбор без возвращения
C. Неупорядоченный выбор с возвращением
D. Anm
E. Сnm
F. Сnm+n−1
Соотнесите понятия статистики с их характеристиками:
A. Выборочная средняя
B. Выборочная дисперсия
C. Математическое ожидание М(Х):
D. Выборочная дисперсия
E.
F.
G.
H.
Соотнесите понятия статистики с их характеристиками:
A. Дисперсия
B. Параметрический критерий
C. Число степеней свободы
D. показатель разброса значений признака
E. статистический метод, основанный на предположении о распределении данных в генеральной совокупности
F. число классов вариационного ряда минус число условий, при которых он был сформирован
Соотнесите понятия статистики с их характеристиками:
A. Оценка параметра
B. Генеральная средняя дискретной статистической совокупности
C. Выборочная (эмпирическая) средняя
D. определенная числовая характеристика,полученная из выборки
E. число, которое является центром рассеяния (варьирования) для всех значений изучаемого признака
F. число, которое определяется как среднее арифметическое всех выборочных значений признака
Соотнесите понятия статистики с их характеристиками:
A. Статистическая гипотеза
B. Нулевая (основная) гипотеза
C. Конкурирующая (альтернативная) гипотеза
D. гипотеза о виде неизвестного распределения или о параметрах известных распределений.
E. выдвинутая гипотезу Н₀.
F. гипотеза H₁, которая противоречит основной
Соотнесите понятия теории больших чисел с их описаниями:
A. Теорема Бернулли
B. Теорема Чебышёва (обобщенная)
C. Теорема Пуассона
D. Теорема Чебышёва
E. если случайные величины в последовательности X₁, X₂,….. Хₙ попарно независимы, а их дисперсии удовлетворяют условию, то для любого положительного ε > 0 справедливо утверждение:
F. при неограниченном увеличении числа однородных независимых опытов частота события будет сколь угодно мало отличаться от вероятности события в отдельном опыте
G. при неограниченном увеличении числа независимых опытов в переменных условиях частота события А сходится по вероятности к среднему арифметическому его вероятностей pi при данных испытаниях
H. при неограниченном увеличении числа независимых испытаний среднее арифметическое наблюдаемых значений случайной величины, имеющей конечную дисперсию, сходится по вероятности к ее математическому ожиданию иначе, если X₁,X₂,… независимые одинаково распределенные случайные величины с математическим ожиданием mx и ограниченной дисперсией Dₓ, то при любом ε > 0 справедливо:
Соотнесите понятия теории вероятностей с их описаниями:
A. Закон распределения дискретной случайной величины.
B. Многоугольник распределения
C. Математическим ожидание случайной величины
D. Отображение, при котором каждому возможному значению дискретной случайной величины соответствует вероятность события, при котором случайная величина принимает это значение
E. График закона распределения в декартовой системе координат, на горизонтальной оси которой откладываются значения x, а на вертикальной− вероятности,
F. Скалярное произведение вектора значений случайной величины на вектор соответствующих им вероятностей.
Соотнесите понятия теории вероятностей с их описаниями:
A. Математическое ожидание случайной величины, распределенной по биноминальному закону
B. Математическое ожидание случайной величины, распределенной по равномерному закону
C. Математическое ожидание случайной величины, распределенной по показательному закону
D. M(X)=np
E. M(x) = (a+b)/2
F. M(x) = 1/λ
Соотнесите понятия теории вероятностей с их описаниями:
A. Функция распределения случайной величины
B. Дисперсия непрерывной случайной величины
C. Среднеквадратическое отклонение
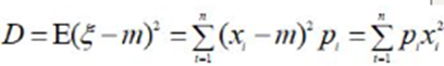
D. Дисперсия дискретной случайной величины
E. F(x) = P(ξ < x)
F. D = E(ξ – m)² = ∫(x – m)² f(x)dx = ∫x²f(x)dx – m²
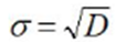
G. σ = √D
H. D = E(ξ – m)² = Σ(xi – m)² pi = Σ pixi² – m²
Соотнесите понятия теории вероятности с их описаниями:
A. вероятное событие
B. маловероятного события
C. случайное событие
D. называем событие, когда основания для того, чтобы какое-нибудь возможное событие произошло в действительности, перевешивают противоположные основания
E. называем событие, когда основания для того, чтобы какое-нибудь возможное событие произошло в действительности, не перевешивают противоположные основания
F. называем событие, если нельзя утверждать, что это событие в данных обстоятельствах непременно произойдет
Соотнесите понятия теории вероятности с их описаниями:
A. Классическое определение вероятности
B. Геометрическое определение вероятности
C. Статистическое определение вероятности
D. Условная вероятность
E. отношение всех элементарных несовместных равновозможных исходов опыта, благоприятствующих появлению события A, ко всем исходам опыта, составляющим полную группу, называется вероятностью события A
F. если событие A – попадание точки, наугад брошенной в область D, в ее подобласть d, тогда вероятность события A определяется как отношение меры подобласти d к мере области D
G. постоянное число, около которого стабилизируется и группируется, приближаясь к нему, относительная частота этого события при неограниченном увеличении числа испытаний
H. вероятность одного события при условии, что некоторое другое событие произошло (вероятность события A при условии, что событие B произошло), можно обозначить через P(А|B)
Соотнесите понятия теории вероятности с их описаниями:
A. Частотой случайного события события А
B. Условной частотой события А относительно B
C. Относительной частотой события А
D. в данной серии испытаний называется отношение числа испытаний, в которых появилось данное событие к общему числу испытаний
E. называется отношение числа опытов, в результате которых появляются оба события, к числу всех опытов, в результате которых появляется событие В
F. события А называется отношение числа (М) появлений этого события к общему числу (N) произведенных испытаний
Среднеквадратическое (стандартное) … σ есть положительное значение квадратного корня из дисперсии
Статистическая совокупность, распределение которой изучается по интересующему нас признаку, – это … совокупность
Статистический критерий – это …
Статистическую оценку, математическое ожидание которой не равно оцениваемому параметру называют …
Теорема … вероятностей гласит, что если событие С равно сумме трех не совместных событий A, D и В, то вероятность события С равна: Р(С) = P(A) + P(B) + P(C)
Теоремы, носящие название закона … чисел – это условия, при выполнении которых совокупное действие многих случайных величин приводит к результату, почти не зависящему от случайных причин
Точечная статистическая оценка выражается … числом и решает задачу какую величину, вычисленной по выборочной совокупности, принять в качестве приближенного значения характеристики генеральной совокупности
Упорядочите алгоритм действий для исследования определённый сорт картофеля по такому признаку, как масса клубня (96 клубней). Все данные сведены в одну специальную таблицу.
1 найдем среднее арифметическое данного мерного признака
2 найдём «исправленное» среднее квадратическое отклонение данного мерного признака
3 определим ошибку среднего арифметического
4 найдём предельную ошибку выборки с доверительной вероятностью 0,95 (с надёжностью 95%)
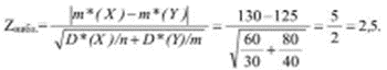
Упорядочите алгоритм действий решения задачи: Случайные величины X и Y распределены нормально. Требуется при уровне значимости 0,05 проверить нулевую гипотезу H0: M(X)=M(Y) при конкурирующей гипотезе Н1: M(X)≠M(Y). Данные задачи представлены в таблице.
1 Найдем наблюдаемое значение критерия Z по формуле:
2 Находим критическую область: критическая область в этом случае двусторонняя (-Zкр., Zкр).
3 Принимаем гипотезу H₀ при Zнабл. ∈ (-Zкр., Zкр)
4 Найдем Zкр = Ф⁻¹((1-0,05)/2)=1,96 по таблице функции Лапласа Ф(х).
5 Так как Zнабл.> Zкр, то H₀ отвергается и принимается гипотеза H₁: M(X)≠M(Y).
Упорядочите алгоритм действий согласно схеме проверки нулевой гипотезы:
1 определение объема выборки, осуществление формулировки проверяемой H₀-нулевой и H₁-альтернативной гипотез
2 выбор соответствующего уровня значимости α
3 выбор критерия K для проверки гипотезы H₀
4 определение критической области и области принятия гипотезы
5 вычисление наблюдаемого значения критерия Kнаб
6 принятие статистического решения
Упорядочите в порядке возрастания вероятности попадание случайной величины, распределенной по нормальному закону, с M(X)=5.96, σ=2.77 в интервалы:
1 X ∊ [8;10]
2 X ∊ [4;6]
3 X ∊ [6;8]
4 X∊ [0;4]
Упорядочите в порядке возрастания искомые величины задачи, если дневная добыча угля в некоторой шахте распределена по нормальному закону с M(X)=870 тонн и σ=90 тонн.
1 Найдите вероятность того, что в данный день добыча угля окажется ниже 750 тонн.
2 Определите долю рабочих дней, в которые будет добыто от 860 до 940 тонн угля.
3 Найдите вероятность того, что в определенный день будут добыты по крайней мере 900 тонн угля.
Упорядочите вероятности безотказной работы соответствующих элементов q₁, q₂, q₃, q₄ в порядке возрастания, если известно, что электроприбор содержит два независимо работающих блока A и B, каждый из которых состоит из нескольких элементов (см. рисунок ниже) и известны вероятности отказа каждого из элементов: p₁ = 0,3, p₂ = 0,2, p₃ = 0,1, p₄ = 0,4, p₅ = 0,23, p₆ = 0,25, p₇ = 0,35:
1 q₄
2 q₁
3 q₂
4 q₃
Упорядочите значения выражений в порядке возрастания:
1 A²₃
2 P₁,₂,₃
3 C³₈
4 A³₂₀
Упорядочите этапы нахождения M(X − 2Y ), если две случайные величины X и Y заданы своими законами распределения:
1 Вычислим для каждой из случайных величин математическое ожидание M(X), M(Y )/
2 вычислим 2M(Y)
3 вычислим M(X − 2Y ) =M(X)− 2M(Y )
Упорядочите этапы определения закона распределения вероятностей случайной величины X – выигрыша на один билет, если выпущено 1000 лотерейных билетов и на 5 из них выпадает выигрыш в сумме 500 руб., на 10 – выигрыш в 100 руб., на 20 – выигрыш в 50 руб., на 50 – выигрыш в 10 руб.:
1 определить значения случайной величины Х
2 посчитать все вероятности появления значений случайной величины Х
3 записать закон распределения в виде таблицы
4 построить график закона распределения
Упорядочьте действия алгоритма оценки с использованием неравенства Чебышева вероятности того, что |X – M(X)| < 0.2, где Х дискретная случайная величина, заданная законом распределения (см. таблицу ниже):
1 найдем математическое ожидание
2 найдем дисперсию
3 воспользуемся неравенством Чебышева для оценки
Упорядочьте действия алгоритма решения задачи поиска насколько большим должно быть число n повторений испытания Бернулли для того, чтобы с вероятностью более 95 % можно было бы утверждать, что погрешность приближения не превышает 0,05, если вероятность p «успеха» равна 0,2?
1 определяем в каких пределах должно находиться число k «успехов»
2 определяем вероятность нахождения числа k «успехов» в определенных пределах
3 определяем значение Ф (√n/8)
4 находим значение величины √n/8 и определяем n
Упорядочьте шаги алгоритма построения статистического ряда:
1 осуществляется сбор информации, наблюдения записываются в порядке их поступления и оформляются в виде таблицы
2 данные располагаются в порядке возрастания или убывания значений случайной величины
3 представленные в вариационном ряде случайные величины объединяются в разряды, рассчитывается величина разряда C
4 подсчитывается число наблюдений, попадающих в тот или иной разряд случайной величины
Упорядочьте шаги алгоритма решения задачи: при проверке импортирования груза на таможне методом случайной выборки было обработано 200 изделий, средний вес изделия 30г., при σ=4г с вероятностью 0,997. Определите пределы в которых находится средний вес изделий генеральной совокупности.
1 находим t– критерий кратности ошибки
2 находим предельную ошибку средней
3 определяем величину средней ошибки
Формула Байеса применяется для вычисления … вероятности Р(H₁|А) гипотезы Н₁ после испытания, при котором произошло событие А: Р(Hi|А) = P(Hi)P(A|Hi) / (P(H₁)P(A|H₁)+…+P(Hₙ)P(A|Hₙ))
Формула Бернулли применяется для анализа ситуаций, когда есть только два возможных исхода: успех или …
Чем … выборка, тем более точные результаты можно получить с помощью правила трех сигм
КОМПЕТЕНТНОСТНЫЙ ТЕСТ
В 1200 испытаниях Бернулли вероятность успеха в каждом испытании равна 0,8. На основе данных оцените вероятность того, что разница между числом успехов в этих испытаниях и средним числом успехов будет меньше 60. Приведите шаги для вычислений.
В партии 50 деталей, в ней 5 бракованных деталей. Наугад отбирается 5 деталей. Если среди отобранных деталей нет бракованных, то партия принимается. Как найти вероятность того, что партия будет принята, если в ней 5 бракованных деталей?
В урне 5 белых и 8 черных шаров. Из урны наудачу один за другим извлекают два шара, не возвращая их обратно. Как найти вероятность того, что оба шара будут белыми?
В целях изучения среднего возраста служащих фирмы проведена 46%-ная выборка, в результате которой получено следующее распределение рабочих по возрасту (см. таблицу ниже).
На основе этих данных нужно вычислить средний стаж рабочих завода, средний квадрат отклонений (дисперсию), среднее квадратическое отклонение.
Что следует предпринять, составьте алгоритм действий?
Дана выборка (52, 42, 40, 38, 37). Вычислить несмещенные оценки среднего значения µ, дисперсии σ2 и стандартного отклонения σ генеральной совокупности. Запишите формулы их нахождения.
Имеются две генеральные совокупности X и Y, для которых известны генеральные средние x₀ и y₀ и дисперсии σₓ² и σᵧ². Требуется по выборочным средним для заданного уровня значимости α проверить гипотезу о равенстве генеральных средних, т.е. что математические ожидания рассматриваемых совокупностей равны между собой.
Что для этого следует предпринять?
Используя критерий Пирсона, проверяется гипотеза о нормальном распределении генеральной совокупности. Что следует предпринять для вычисления числа степеней свободы?
Монету подбрасывают 1000 раз. На основе этих данных, оцените снизу вероятность отклонения частоты появления герба от вероятности его появления меньше чем на 0,1. Приведите шаги для вычислений.
Оператор обслуживает три линии производства, вероятности выхода из строя каждой производственной линии в течение смены соответственно равны 0,2; 0,5; 0,1. Составить закон распределения числа линий, не требующих ремонта в течение смены. Что следует предпринять?
По результатам исследования цены некоторого товара в различных торговых точках города получены следующие данные (в денежных единицах): 17.5; 7.7; 8.7; 16.1; 10.6; 19.8; 17; 16; 18; 16; 18.2; 18.5; 17.4; 17.1; 19.5; 16.8; 19.6; 16.3; 16.3; 18.5; 15.8; 7.5; 9.2; 7.2; 7; 8; 7.5; 7.5; 8; 6.5. Приведите алгоритм действий, требующихся для того чтобы составить вариационный ряд.
Поезда метро идут строго по расписанию. Интервал движения – шесть минут.
Составьте f(x) и F(x) случайной величины X – времени ожидания очередного поезда Найдите M(X), D(X).
Проведено четыре измерения (без систематических ошибок) некоторой случайной величины (в мм): 8, 9, x3, 12. Несмещенная оценка математического ожидания равна 10. Найдите алгоритм нахождения выборочной дисперсии.
Рабочий обслуживает 3 станка, вероятности выхода из строя каждого из которых в течение часа соответственно равны 0,2; 0,15; 0,1. Что следует предпринять, чтобы составить закон распределения числа станков, не требующих ремонта в течение часа?
Случайная величина Х имеет нормальный закон распределения N [-1,2], известно, что X ∊ [-6,1].
Что следует предпринять, чтобы найти вероятность того, что X ∊ [-6,1]?
Случайная величина Х имеет нормальный закон распределения с параметрами a и σ², известно, что вероятности P(X<1)=0.5 и Р(-2<X<4)=0.9973
Что следует предпринять, чтобы найти параметры a и σ²?
Требуется выбрать совместные события, если при подбрасывании игральной кости событие A = {выпало число очков, кратное трем}, событие B = {выпало число очков, кратное двум}, событие C = {выпало число очков, кратное пяти}, событие D = {выпало нечетное число очков}. Что следует предпринять, чтобы решить данную задачу?
Требуется найти вероятность того, что из 8 случайно выбранных для контроля студентов домашнюю работу сделали 6 человек, при условии, что на занятиях по теории вероятностей из 20 человек только 15 сделали домашнюю работу. Что следует предпринять, чтобы решить данную задачу?
Требуется найти вероятность того, что наугад выбранный человек — дальтоник, если выбор производится из группы, содержащей равное число мужчин и женщин, причем известно, что 5% мужчин и 0.25% женщин — дальтоники. Что следует предпринять, чтобы решить данную задачу?
Требуется найти у кого больше вероятность вытащить счастливый билет: у того, кто подошел первым, или у того, кто подошел вторым. Если среди 25 экзаменационных билетов имеется 5 счастливых и студенты подходят за билетами один за другим по очереди. Что следует предпринять, чтобы решить данную задачу?
Требуется определить, сколькими способами можно выбрать дежурного и старосту из 18 учащихся класса. Что следует предпринять, чтобы решить данную задачу?
Требуется определить, сколько различных пятизначных чисел можно составить из цифр 4, 5, 6, если четверка встречается один раз, пятерка– два раза, шестерка – два раза? Что следует предпринять, чтобы решить данную задачу?
Результат сдачи зависит от попавшихся вопросов.
Мой итоговый набранный балл 100 из 100 (Скриншот прилагаю).
ВНИМАНИЕ! Покупайте работу, только убедившись, что ваши вопросы совпадают с представленными ниже. Для этого рекомендую сначала запустить тест и сверить хотя бы несколько вопросов.
УЧЕБНЫЕ МАТЕРИАЛЫ
- Введение в курс
- Тема 1. Основные понятия теории вероятностей (ТВ)
- Тема 2. Комбинаторика. Сочетания, размещения, перестановки
- Тема 3. Основные теоремы и формулы ТВ
- Тема 4. Случайные величины
- Тема 5. Законы распределения СВ
- Тема 6. Нормальный закон распределения
- Тема 7. Закон больших чисел
- Тема 8. Основы математической теории выборочного метода
- Тема 9. Статистика и оценка параметров распределения
- Тема 10. Статистическая проверка гипотез
- Заключение
- Итоговая аттестация
СПИСОК ВОПРОСОВ:
ТЕСТ 1
… события A до всего пространства элементарных исходов называется такое событие, которое включает все элементарные исходы из Ω, не входящие в A
Вероятность достоверного события равна …
- 0
- 0.5
- 1
- 2
Для некоторой местности среднее число дождливых дней в августе равно 15. Нужно найти вероятность того, что первые два дня августа не будут дождливыми. Что следует для этого предпринять? Приведите расчеты.
- Введем обозначения событий: A – первого августа ясный день; B – второго августа ясный день. Вероятность того, что первого августа будет ясный день, равна P(A) = 16/31. Условная вероятность события B, то есть вероятность того, что второго августа будет ясный день, при условии, что первого августа также был ясный день, равна P(A | B) = 15/30 = 1/2. Искомая вероятность того, что первые два дня августа будут ясным, по теореме умножения вероятностей зависимых событий, равна P(A·B) = P(A | B)·P(B) = 16/31 · 1/2 = 8/31.
- Введем обозначения событий: A – первого августа ясный день; B – второго августа ясный день. Вероятность того, что первого августа будет ясный день, равна P(A) = 16/31. Условная вероятность события B, то есть вероятность того, что второго августа будет ясный день, при условии, что первого августа также был ясный день, равна P(A | B) = 15/30 = 1/2.
- Введем обозначения событий: A – второго августа ясный день; B – первого августа ясный день. Вероятность того, что первого августа будет ясный день, равна P(A) = 16/31. Условная вероятность события B, то есть вероятность того, что второго августа будет ясный день, при условии, что первого августа также был ясный день, равна P(A | B) = 15/30 = 1/2. Искомая вероятность того, что первые два дня августа будут ясным, по теореме умножения вероятностей зависимых событий, равна P(A·B) = P(A | B)·P(B) = 16/31 · 1/2 = 8/31.
Несовместные события – это …
- группа событий, появление, одного из которых исключает появление всех остальных событий этой группы в данном испытании
- события, которые в данном опыте рассматриваются как неразложимые на составляющие их более простые события,
- результат, который всегда возникает при проведении данного испытания (опыта)
- события, которые являются суммой всех событий, составляющих полную группу событий данного опыта
- результат, который никогда не возникает и не может возникнуть при проведении данного опыта (испытания)
Практически достоверным называется событие, вероятность которого весьма близка к единице, но не равна …
Практически невозможным событием называется событие, вероятность которого весьма близка к нулю, но не равна …
Пространством … исходов (событий) - некоторого испытания (опыта) называется множество всех возможных результатов проведения этого испытания
Расположите в порядке возрастания вероятности P(A₁), P(A₂), P(A₃), P(A₄), если известно, каким заводом поставлено какое число товаров на склад в процентном отношении от общего их количества на складе, а также описаны события A₁ A₂ А₃ А₄ (см. таблицу ниже):

1 P(A₂)
2 P(A₄)
3 P(A₁)
4 P(A₃)
Событие (исход опыта, испытания) – это … (укажите 2 варианта ответа)
- результат проведения опыта (испытания)
- результат реализации необходимой совокупности условий
- сумма всех опытов
- разность всех опытов
- результат опытов (испытаний) от 1 до n
Соотнесите понятия теории вероятности с их описаниями:
A. События противоположные
B. События совместные
C. События несовместные
D. События невозможные
E. если в данном испытании появление одного из них исключает появление другого и одно из них обязательно происходит.
F. если появление одного из них не исключает появления другого в одном и том же испытании
G. если появление одного из них исключает появление другого в одном и том же испытании
H. если они не могут произойти ни при каком исходе опыта или наблюдения
Такая группа событий, что в результате испытания (т.е. каждого проведения данного опыта) обязательно появится одно и только одно из событий этой группы – это … группа событий (для данного опыта)
Теория вероятностей – это …
- специфика математической науки, который изучает любые величины, их свойства и операции над ними
- наука о сочетаниях предметов, которая изучает их свойства и операции над ними
- наука о размещения предметов, который изучает их свойства и операции над ними
- раздел математики, который изучает случайные события и величины, их свойства и операции над ними
ТЕСТ 2
n! – это … всех натуральных чисел от 1 до n
- произведение
- сумма
- разность
В группе 9 человек. Известно, что что в подгруппу входит не более 2 человек.
Сколько можно образовать разных подгрупп при данном условии? Что для этого следует предпринять?
- Посчитать число сочетаний из 9 по 2 чел., из 9 по 3 чел. Применить правило умножения и получить 46 способов.
- Посчитать число размещений из 9 по 2 чел., из 9 по 3 чел., из 9 по 4 чел., из 9 по 5 чел., из 9 по 6 чел., из 9 по 7 чел. Применить правило сложения и получить 246 способов.
- Посчитать число размещений с повторениями из 9 по 2 чел., из 9 по 3 чел., из 9 по 4 чел., из 9 по 5 чел. Применить правило сложения и получить 246 способов.
- Посчитать число сочетаний из 9 по 2 чел., из 9 по 1 чел. Применить правило сложения и получить 45 способов.
Комбинаторика – это раздел математики, изучающий …
- специфику теории вероятностей
- сочетания предметов
- размещения предметов
- дискретные объекты, множества и отношения на них
Перестановка n объектов / элементов – это способ их последовательного расположения с учетом …
Размещение из n по k – это … набор из k различных элементов, взятых из некоторого множества с мощностью n, где k ≤ n
Согласно правилу произведения, если объект A можно выбрать n способами и после каждого такого выбора объект B можно выбрать m способами, то для пары «A и B » есть … вариантов выбора
- 2(n + m)
- n / m
- n · m
- 2n · m
Согласно правилу суммы, если объект A можно выбрать n способами, а объект B можно выбрать m способами, то объект «A или B » можно выбрать … способами
- nm + 1
- (n – m) +1
- n + m
- n +2m
Соотнесите понятия комбинаторики с их описаниями:
A. Сочетания с повторениями
B. Сочетания без повторений
C. Перестановки без повторений
D. Перестановки с повторениями
E. комбинаторные соединения из n элементов по m, составленные из этих элементов без учета порядка с возможностью многократного повторения предметов
F. комбинаторные соединения из n элементов по m, составленные из этих элементов и отличающиеся друг от друга только составом
G. комбинаторные соединения, которые могут отличаться друг от друга лишь порядком входящих в них элементов
H. комбинаторные соединения, в которых среди образующих элементов имеются одинаковые
Сочетание из n по k – это … набор из k различных элементов, взятых из некоторого множества с мощностью n, где k ≤ n, то есть набор, для которого порядок выбора не имеет значения
Сочетания без повторений – это комбинаторные соединения из n элементов по m, составленные из этих элементов и отличающиеся друг от друга только …
Сочетания с повторениями – это комбинаторные соединения из n элементов по m, составленные из этих элементов без учета … с возможностью многократного повторения предметов
Упорядочите значения выражений в порядке возрастания:
1 C²₉ / P₁₀
2 C²₉
3 A³₉
4 P₁₀
ТЕСТ 3
........ вероятностью называется вероятность события B при условии, что событие A наступило с вероятностью P(A) > 0
Вероятность события А – попадут ровно два стрелка, если вероятность попадания в мишень для первого стрелка равна 0,7, для второго – 0,6, для третьего – 0,8 (стрелки делают по одному выстрелу), равна…………
- 0
- 0.35
- 0,452
- 0, 558
Если H₁, H₂, …, Hₙ – … группа попарно несовместных событий, то для любого события A имеет место формула полной вероятности P(A)=P(H₁)P(A|H₁)+…+P(Hₙ)P(A|Hₙ)
Основные теоремы теории вероятностей:… (укажите 2 варианта ответа)
- теорема сложения вероятностей
- теорема умножения вероятностей
- возведение в степень вероятностей
- извлечение квадратного корня из вероятностей
- частного вероятностей
Расположите в порядке возрастания вероятности Р(А1), Р(А2), Р(А3), если известно, что студент знает ответ на 20 вопросов из 25, что он ответит на три вопроса, предложенные преподавателем. Пусть событие Ai— ответ студента на i-й вопрос.
1 P(A₃)
2 P(A₂)
3 P(A₁)
Событие A называется независимым от события B, если его …
- вероятность зависит от того, произошло событие B или нет
- вероятность зависит от того, не произошло ли событие B
- формулировка не зависит от того, произошло событие B или нет
- вероятность не зависит от того, произошло событие B или нет
Соотнесите гипотезы с результатами их вычислений, если известно, что в торговую фирму поступили телевизоры от трех поставщиков в отношении 1:4:5.
A. H1 = {телевизор поступил от первого поставщика}
B. H2 = {телевизор поступил от второго поставщика}
C. H3 = {телевизор поступил от третьего поставщика}
D. 0,1;
E. 0,4;
F. 0,5.
Теорема сложения вероятностей гласит, что если событие C равно сумме … событий A и B, то вероятность события C равна сумме вероятностей событий A и B составляет P(A+B)=P(A)+P(B)
Формула … применяется для вычисления вероятности того, что в n независимых испытаниях, в каждом из которых вероятность появления события равна р (0 < р < 1), событие наступит ровно k раз (безразлично, в какой последовательности), равна Pₙ(k) = Cₙᵏpᵏqⁿ⁻ᵏ, где q = 1 – p
Формула … применяется для вычисления условной вероятности P(H₁|A) гипотезы H₁ после испытания, при котором произошло событие A:

Экспедиция издательства отправила газеты в три почтовых отделения. Вероятность своевременной доставки газет в первое отделение равна 0,95, во второе – 0,9, в третье – 0,8. Нужно найти вероятность того, что хотя бы одно отделение получит газеты с опозданием. Что следует для этого предпринять? Приведите расчеты.
- Найдем вероятность события Y = (хотя бы одно отделение получит газеты с опозданием). Введем противоположное событие Y = (все отделения получат газеты вовремя). Вычислим вероятность события Y: P(Y) = P(A₁ · A₂ · A₃) = P(A₁) · P(A₂) · P(A₃) = 0,95 · 0,9 · 0,8 = 0,684. Вычислим вероятность события Y: P(Y) = 1 – P(Y) = 1 – 0,95 · 0,9 · 0,8 = 0,316.
- Найдем вероятность события Y = (все отделения получат газеты вовремя). Введем противоположное событие Y = (хотя бы одно отделение получит газеты с опозданием). Вычислим вероятность события Y: P(Y) = P(A₁ · A₂ · A₃) = P(A₁) · P(A₂) · P(A₃) = 0,95 · 0,9 · 0,8 = 0,684. Вычислим вероятность события Y: P(Y) = 1 – P(Y) = 1 – 0,95 · 0,9 · 0,8 = 0,316.
- Найдем вероятность события Y = (хотя бы одно отделение не получит газеты с опозданием). Введем противоположное событие Y = (все отделения не получат газеты вовремя). Вычислим вероятность события Y: P(Y) = P(A₁ · A₂ · A₃) = P(A₁) · P(A₂) · P(A₃) = 0,95 · 0,9 · 0,8 = 0,684. Вычислим вероятность события Y: P(Y) = 1 – P(Y) = 1 – 0,95 · 0,9 · 0,8 = 0,316.
- Найдем вероятность события Y= (одно отделение получит газеты с опозданием). Введем противоположное событие Y = (все отделения получат газеты вовремя). Вычислим вероятность события Y: P(Y) = P(A₁ · A₂ · A₃) = P(A₁) · P(A₂) · P(A₃) = 0,95 · 0,9 · 0,8 = 0,684. Вычислим вероятность события Y: P(Y) = 1 – P(Y) = 1 – 0,95 · 0,9 · 0,8 = 0,316. Вычислим вероятность события Y: P(Y) = P(A₁ · A₂ · A₃) = P(A₁) · P(A₂) · P(A₃) = 0,95 · 0,9 · 0,8 = 0,684. Вычислим вероятность события Y: P(Y) = 1 – P(Y) = 1 – 0,95 · 0,9 · 0,8 = 0.
ТЕСТ 4
… Мо(X) случайной величины X называется ее наиболее вероятное значение (для которого вероятность p, или плотность вероятности f(x) достигает максимума)
… распределения непрерывной случайной величины ξ в точке x называется производная ее функции распределения в этой точке x, т. е., если F(x) – функция распределения случайной величины ξ, а f(x) обозначает плотность распределения, то f(x) = F'(x)
Дискретная случайная величина – это величина, которая …
- может принимать конечное или счетное число значений
- может принимать бесконечное число значений
- не может принимать конечное или счетное число значений
- может принимать число значений, равное трем
Непрерывная случайная величина – это величина, которая …
- может принимать любые значения только из некоторого конечного промежутка
- может принимать любые значения только из некоторого бесконечного промежутка
- может принимать любые значения из некоторого конечного или бесконечного промежутка
- не может принимать любые значения из некоторого конечного или бесконечного промежутка
Производящая … распределения записывается формулой pₖ = P(X = k)
Рабочий обслуживает 3 станка, вероятности выхода из строя каждого из которых в течение часа соответственно равны 0,2; 0,15; 0,1. Что следует предпринять, чтобы составить закон распределения числа станков, не требующих ремонта в течение часа?
- Найти вероятности выхода из строя соответствующих станков в течение часа; найти вероятности их безотказной работы; используя теоремы сложения вероятностей несовместных событий и умножения независимых событий, составим закон распределения случайной величины X – числа станков, не требующих ремонта в течение часа.
- Найти вероятности выхода из строя соответствующих станков в течение часа; найти вероятности их безотказной работы; используя теоремы сложения вероятностей совместных событий и умножения независимых событий, составим закон распределения случайной величины X – числа станков, не требующих ремонта в течение часа.
- Найти вероятности выхода из строя соответствующих станков в течение часа; используя теоремы сложения вероятностей несовместных событий и умножения независимых событий, составим закон распределения случайной величины X – числа станков, не требующих ремонта в течение часа.
Случайная величина – это …
- постоянная величина, которая в результате опыта может принять то или иное значение, заранее неизвестное
- величина, равная нулю, которая в результате опыта может принять то или иное значение, заранее неизвестное
- переменная величина, которая в результате опыта может принять то или иное значение, заранее известное
- переменная величина, которая в результате опыта может принять то или иное значение, заранее неизвестное
Соотнесите понятия теории вероятностей с их математическими выражениями:
A. Математическое ожидание дискретной случайной величины
B. Дисперсия дискретной случайной величины
C. Среднеквадратическое отклонение
D. Математическое ожидание непрерывной случайной величины
E.




Упорядочите вероятности безотказной работы соответствующих элементов q₁, q₂, q₃, q₄ в порядке возрастания, если известно, что электроприбор содержит два независимо работающих блока A и B, каждый из которых состоит из нескольких элементов (см. рисунок ниже) и известны вероятности отказа каждого из элементов: p₁ = 0,3, p₂ = 0,2, p₃ = 0,1, p₄ = 0,4, p₅ = 0,23, p₆ = 0,25, p₇ = 0,35:

1 q₄
2 q₁
3 q₂
4 q₃
Функцией … случайной величины называется вероятность того, что она примет значение меньше, чем заданное x, т.е. F(x) = P(ξ < x)
Функция … F(x) выражается через f(x) как F(x) = ∫f(t)dt
Числовые характеристики позволяют выразить …
- любое правило (таблица, функция), которое не позволяет находить вероятности всевозможных событий, связанных со случайной величиной
- любое правило (таблица, функция), которое позволяет находить значения случайной величины
- в сжатой форме наиболее существенные особенности распределения случайной величины
- в сжатой форме наиболее не существенные особенности распределения случайной величины
ТЕСТ 5
Время между двумя последовательными переходами Ai Aj и Aj Ak называется …
- временем не пребывания системы в состоянии Аj
- начальным моментом пребывания системы в состоянии Аj
- временем пребывания системы в состоянии Аj
- центральным моментом пребывания системы в состоянии Аj
Дискретная случайная величина X имеет геометрическое распределение если она принимает значения … с вероятностями P(X = k) = qᵏ⁻¹p, где 0 < p < 1, q = 1 – p.
- k = 1, 2, 3, … (счетное множество значений)
- k = 0,1, 2, 3, … (счетное множество значений)
- k = 1,2, 3, … (не счетное множество значений)
- k = 2, 3, … (не счетное множество значений)
Законом распределения случайной величины называется любое правило (таблица, функция), которое …
- л не позволяет находить вероятности всевозможных событий, связанных со случайной величиной
- позволяет находить значения случайной величины
- позволяет находить вероятности всевозможных событий, связанных со случайной величиной
Нормальное распределение – это распределение, у которого крайние значения признака встречаются достаточно …
- часто, а значения, близкие к средней величине - достаточно редко
- редко, а значения, близкие к средней величине не встречаются
- часто, а значения, близкие к средней величине – не встречаются
- редко, а значения, близкие к средней величине - достаточно часто
Производящая … распределения записывается формулой pₖ = P(X = k)
Случайная величина x имеет … распределение на интервале [a, b], если ее плотность распределения имеет вид: f(x) = {1/(b – a), если x ∈ (a, b]; 0, если x ⋶ (a, b].
Случайная величина X имеет … распределение с параметром λ > 0, если ее плотность равна f(X) = {0, если x < 0; λe^(–λx), если x ≥ 0
Случайная величина X распределена по … закону с параметрами (n, p), (0 ≤ p ≤ 1, n ≥ 1), если P(k) = {0, если k < 0; Cₙᵏpᵏ(1 – p)ⁿ⁻ᵏ, если k ≤ n; 0, если k > n.
Случайная величина x распределена по … закону с параметрами m и σ, если ее плотность распределения имеет вид: f(x) = 1/(σ√2π) e^(–(x–m)²/2σ²)
Соотнесите понятия теории вероятностей с их математическими выражениями:
A. Геометрическое распределение
B. Распределения по закону Пуассона
C. Биноминальное распределение
D. Нормальное распределение
E. P(X = k) = qᵏ⁻¹p, где 0 < p < 1, q = 1 – p.
F. P(m) = (λᵐ/m!) e^(– λ), m=0, 1, 2,…
G. P(k) = {0, Cₙᵏpᵏ(1 – p)ⁿ⁻ᵏ, 0, если k
H. P(a ≤ ξ ≤ b) = 1/(σ√2π) ∫e
Устройство состоит из 1000 элементов, работающих независимо. Вероятность отказа любого элемента в течение времени Т равна 0,002. По условию n=1000, р=0,002, m=
Что следует предпринять, чтобы найти вероятность того, что за время Т откажут ровно три элемента?
- Поскольку число n велико, а вероятность p мала и элементы работают независимо, воспользуемся формулой Пуассона. Найдем λₙ: λₙ = np = 1000·0,002 = 2. Искомая вероятность приближенно равна: P₁₀₀₀ (3) ≈ 2³e⁻² / 3! = 4/3·0,13534=0,18.
- Поскольку число n мало, а вероятность p велика и элементы работают независимо, воспользуемся формулой Бернулли. Найдем λₙ: λₙ = np = 1000·0,002 = 2. Искомая вероятность приближенно равна: P₁₀₀₀ (3) ≈ 2³e⁻² / 3! = 4/3·0,13534=0,18.
- Поскольку число n велико, а вероятность p мала и элементы работают независимо, воспользуемся формулой Лапласа. Найдем λₙ: λₙ = np = 1000·0,002 = 2. Искомая вероятность приближенно равна: P₁₀₀₀ (3) ≈ 2³e⁻² / 3! = 4/3·0,13534=0,18.
- Поскольку число n велико, а вероятность p мала и элементы работают независимо, воспользуемся формулой Нормального закона распределения. Найдем λₙ: λₙ = np = 1000·0,002 = 2. Искомая вероятность приближенно равна: P₁₀₀₀ (3) ≈ 2³e⁻² / 3! = 4/3·0,13534=0,18.
ТЕСТ 6
… попадания нормально распределенной случайной величины в заданный интервал вычисляют по формуле: P(a ≤ ξ ≤ b) = Ф((b – m)/σ) – Ф((a – m)/σ).
Изменение величины параметра m (математического ожидания) не изменяет формы нормальной кривой, а приводит лишь к ее сдвигу вдоль оси …
- Oy: вправо, если m возрастает, и влево, если m убывает
- Ox: влево, если m возрастает, и право, если m убывает …
- Ox: вправо, если m возрастает, и влево, если m убывает
- Oн: вправо, если m возрастает и если m убывает
Нечетная функция Ф(x) = 1/(√2π) ∫e^(–t²/2)dt называется функцией …
Нормальный закон можно рассматривать как предельный, к которому …
- не приближаются другие законы при часто встречающихся типичных условиях
- приближаются другие законы при редко встречающихся типичных условиях
- не приближаются другие законы ни при каких условиях
- приближаются другие законы при часто встречающихся типичных условиях
С возрастанием среднего квадратичного … максимальная ордината нормальной кривой убывает, а сама кривая становится более пологой
Случайная величина x имеет … распределение, если функция распределения имеет вид: F(x) = 1/(σ√2π) ∫e^(–(x–m)²/2σ²)dx
Случайная величина X имеет нормальное распределение если функция …
- распределения равна F(x) = 1/(σ√2π) ∫e^(–(t–m)²/2σ²)dt.
- плотности распределения равна F(x) = 1/(σ√2π) ∫e^(–(t–m)²/2σ²)dt.
- моментов распределения равна F(x) = 1/(σ√2π) ∫e^(–(t–m)²/2σ²)dt.
- центральных моментов распределения равна F(x) = 1/(σ√2π) ∫e^(–(t–m)²/2σ²)dt.
Случайная величина x распределена по … закону с параметрами m=0 и σ =1, если ее плотность распределения имеет вид: f(x) = 1/(√2π) e^(–x²/2)
Случайная величина X распределена по нормальному закону с математическим ожиданием a=2 и средним квадратическим отклонением σ =0,3.
Что следует предпринять, чтобы найти вероятность отклонения случайной величины X от своего математического ожидания по абсолютной величине, меньше, чем 0,4?
1 Используем формулу: P(|X – m| < δ) = 2Ф(δ/σ). В данном случае: P(|X – 9| < 6) = 2Ф(6/3) = 2Ф(2) ≈ 2·0,47725 = 0,9545 – вероятность того, что значение X отклонится по модулю от m = 9 не более чем на δ = 6.
2 Используем формулу: P(|X – a| < δ) = 2Ф(δ/σ). В данном случае: P(|X – 2| < 0,4) = 2Ф(0,4/0,3) = 2Ф(1,33) ≈ 2·0,4082 = 0,8165 – вероятность того, что X отклонится по модулю от своего математического ожидания не более чем на 0,4.
3 Используем формулу: P(|X – a| < δ) = 2Ф(δ/σ), где Ф(x) – функция Лапласа. В данном случае δ = 3,6: P(|X| < 3,6) = 2Ф(3,6/3) = 2Ф(1,2) ≈ 2·0,3849 = 0,7699 ≈ 0,77 –вероятность того, что изделие – высшего качества. Таким образом, среднее число изделий высшего качества среди 100 изготовленных: 0,77·100 = 77.
Соотнесите понятия нормального распределения с их математическими выражениями:
A. Плотность распределения
B. Функция распределения
C. Вероятность попадания случайной величины в интервал
D. Формула связи функции распределения с Функцией Лапласа
E. f(x) = 1/(σ√2π) e^(–(x–m)²/2σ²)
F. F(x) = 1/(σ√2π) ∫e^(–(t–m)²/2σ²)dt
G. P(a ≤ ξ ≤ b) = 1/(σ√2π) ∫e^(–(t–m)²/2σ²)dt
H. F(x) = 1/2 + Ф((x – m)/σ)
Упорядочите в порядке возрастания вероятности P₁(А) и P₂(В), P₃(С) если случайная величина X – ошибка измерительного прибора распределена по нормальному закону с σ = 3 см, систематическая ошибка прибора отсутствует. События А, В, С описаны в таблице.

1 P₁ (А)
2 P₂ (В)
3 P₃(С)
Числовыми характеристиками нормального закона распределения являются …
- мода и медиана
- математическое ожидание и мода
- математическое ожидание и дисперсия
- дисперсия и мода
ТЕСТ 7
Вероятность того, что случайная величина X, имея дисперсию D(X) = 0,001, отличается от M(X) более чем на 0,1 равна …
- 0,1
- 0.01
- 0,2
- 0,02
Неравенство … имеет вид: P(|X – M(X)| ≥ tσ(X)) < 1/t²,
Неравенство Чебышёва заключается в том, что вероятность того, что отклонение случайной величины X от ее …
- дисперсии по абсолютной величине больше положительного числа ε либо равно ε, меньше, чем D(X)/ε2
- моды по абсолютной величине больше положительного числа ε либо равно ε, меньше, чем D(X)/ε2
- математического ожидания по абсолютной величине больше положительного числа ε либо равно ε, меньше, чем D(X)/ε²
- математического ожидания по абсолютной величине меньше положительного числа ε либо равно ε, меньше, чем D(X)/ε2
Неравенство Чебышёва оценивает вероятность того, что отклонение случайной величины X от математического ожидания M(X) превзойдет заданное положительное число ε; оказывается, что эта вероятность, вообще говоря, тем меньше, чем …
- больше дисперсия D(X)
- меньше отклонится M(X)
- меньше дисперсия D(X)
Соотнесите понятия математической статистики с их описаниями:
A. Теорема Ляпунова (простейшая форма, когда Хₖ взаимно независимы и одинаково распределены)
B. Теорема Пуассона.
C. Теорема Маркова. (закон больших чисел в общей формулировке)
D. Теорема Чебышёва.
E. если случайные величины X1, X2,..... Xn взаимно независимы и имеют один и тот же закон распределения с математическим ожиданием m и дисперсией D, причем существует третий абсолютный момент V3, то при неограниченном увеличении n закон распределения суммы неограниченно приближается к нормальному
F. при неограниченном увеличении числа независимых опытов в переменных условиях частота события А сходится по вероятности к среднему арифметическому его вероятностей pi при данных испытаниях
G. если дисперсия произвольных случайных последовательности X1, X2,..... Xn удовлетворяют то для любого положительного ε > 0 имеет место Чебышева:
H. при неограниченном увеличении числа независимых испытаний среднее арифметическое наблюдаемых значений случайной величины, имеющей конечную дисперсию, сходится по вероятности к ее математическому ожиданию иначе, если X₁,X₂,… независимые одинаково распределенные случайные величины с математическим ожиданием mx и ограниченной дисперсией Dₓ, то при любом ε > 0 справедливо:
Теорема … — закон больших чисел гласит, что при неограниченном увеличении числа однородных независимых опытов частота события будет сколь угодно мало отличаться от вероятности события в отдельном опыте
Теорема … гласит, если случайные величины X₁, X₂, …, Хₖ, … попарно независимы и D(Хₖ) ≤ C для всех k, то при любом ε > 0 имеет место равенство (8):

Теоремы, носящие название закона больших чисел – это …
- условия, при выполнении которых совокупное действие многих случайных величин приводит к результату, зависящему от случайных причин
- совокупность сочетаний предметов, взаимосвязь которых изучается по интересующему нас признаку
- совокупность размещений предметов, взаимосвязь которых изучается по интересующему нас признаку
- условия, при выполнении которых совокупное действие многих случайных величин приводит к результату, почти не зависящему от случайных причин
Упорядочьте в порядке убывания значения вероятностей того, что случайная величина X с дисперсией D(X) = 0,001отличается от M(X) более чем:
1 0.3
2 0,1
3 0.2
4 0,4
Формой неравенства … является неравенство: P(|X – M(X)| ≤ ε) > 1 – D(X)/ε².
Центральная предельная теорема … гласит, если последовательность попарно независимых случайных величин X₁, X₂, …, Хₙ, …, удовлетворяет условию

ТЕСТ 8
В целях изучения стажа рабочих завода проведена 36-процентная механическая выборка, в результате которой получено следующее распределение рабочих по стажу работы (см. таблицу ниже).

На основе этих данных вычислите: средний стаж рабочих завода; средний квадрат отклонений (дисперсию); среднее квадратическое отклонение. Приведите формулы для вычислений.
- Для вычисления среднего стажа просуммируем произведения середин интервалов и соответствующих частот и полученную сумму разделим на сумму частот: x = Σxini / Σni. Вычислим дисперсию по формуле σ² = Σ(xi – x)²ni / Σni. Вычислим среднее квадратическое отклонение по формуле σ = √σ²
- Для вычисления среднего стажа просуммируем произведения середин интервалов и соответствующих частот, и полученную сумму разделим на сумму частот: σ² = Σ(xi – x)²ni / Σni. Вычислим дисперсию по формуле x = Σxini / Σni. Вычислим среднее квадратическое отклонение по формуле σ = √σ²
- Для вычисления среднего стажа просуммируем произведения концов интервалов и соответствующих частот и полученную сумму разделим на сумму частот: x = Σxini / Σni. Вычислим дисперсию по формуле σ² = Σ(xi – x)²ni / Σni. Вычислим среднее квадратическое отклонение по формуле σ = √σ²
- Для вычисления среднего стажа просуммируем произведения начальных значений интервалов и соответствующих частот и полученную сумму разделим на сумму частот. Вычислим дисперсию по формуле σ² = Σ(xi – x)²ni / Σni. Вычислим среднее квадратическое отклонение по формуле σ = √σ²
Выборка называется … , если отобранный объект в генеральную совокупность не возвращается
Выборка называется … , если отобранный объект перед началом следующего выбора возвращается в генеральную совокупность
Выборка называется …, если случайная выборка такова, что по ее распределению по некоторому признаку можно судить о распределении по этому же признаку неизвестной генеральной совокупности
Выборка называется случайной или собственно-случайной, если …
- каждый элемент из генеральной совокупности может попасть в выборку с вероятностью, зависящей от изучаемого признака
- только некоторые элементы из генеральной совокупности могут попасть в выборку с одинаковой вероятностью, не зависящей от изучаемого признака
- каждый элемент из генеральной совокупности может попасть в выборку с одинаковой вероятностью, не зависящей от изучаемого признака
Выборочный метод заключается в том, чтобы по …
- всей генеральной совокупности (выборке) сделать вывод о свойствах генеральной совокупности в целом
- некоторой части генеральной совокупности (выборке) посчитать объем генеральной совокупности в целом
- некоторой части генеральной совокупности (выборке) сделать вывод о свойствах генеральной совокупности в целом
- некоторой части генеральной совокупности (выборке) сделать вывод о свойствах отдельных частей генеральной совокупности
Генеральная совокупность – это …
- специфика теории вероятностей, распределение которой изучается по признаку
- совокупность сочетаний предметов, взаимосвязь которых изучается по интересующему нас признаку
- совокупность размещений предметов, взаимосвязь которых изучается по интересующему нас признаку
- статистическая совокупность, распределение которой изучается по интересующему нас признаку
Объем генеральной совокупности – это …
- количество элементов генеральной совокупности N
- сумма всех натуральных чисел от 1 до n
- разность всех натуральных чисел от 1 до n
- число от 1 до n
Ряд называется … рядом, если он является статистической совокупностью, у которой все данные располагаются в порядке возрастания или убывания значений случайной величины
Ряд, полученный из вариационного ряда путем объединения случайных величин в разряды, называется … рядом
Соотнесите понятия математической статистики с их описаниями:
A. Точечная оценка
B. Интервальная оценка
C. Предельная ошибка выборки
D. Средняя квадратичная ошибка
E. оценка, которая выражается одним числом
F. числовой интервал[Q₁,Q₂], который с заданной неизвестное значение параметра θ
G. наибольшее отклонение Δ выборочной средней (доли), которое возможно с вероятностью γ
H. среднее квадратическое отклонение выборочной средней и выборочной доли собственно случайной выборки
ТЕСТ 9
Генеральная средняя — это среднее … значений генеральной совокупности
Если же значения признака x₁, x₂ …, xₖ имеют соответственно частоты N₁ N₂ …, Nₖ причем N₁ + N₂ + … + Nₖ = N, то … средняя вычисляется по формуле х = (x₁N₁ + x₂N₂ + … + xₖNₖ)/N,
Если рассматривать обследуемый признак X генеральной совокупности как случайную величину, то математическое ожидание признака равно … средней этого признака
Известно, что точность прибора σ₀ = 0,02 и спомощью этого прибора проведено n =25 независимых повторных измерений некоторой физической величины, среднее выборочное равно 2,42.
Найти реализацию доверительного интервала для математического ожидания т; доверительная вероятность 1– α = 0,95. Приведите все необходимые действия.
- Подставляя х = 2,42, σ₀ = 0,02, n = 25 в выражение для реализации доверительного интервала
. Получаем (2,412; 2,428)
- По таблице квантилей стандартного нормального распределения находим квантиль порядка и получаем (2,412; 2,428)
- По таблице квантилей стандартного нормального распределения находим квантиль порядка 1-α/2: u (1-α/2)=u (0,975=1.96)
- По таблице квантилей стандартного нормального распределения находим квантиль порядка 1 – α/2: u₁– α/2 = u 0,975=1,96. Подставляя х = 2,42, σ₀ = 0,02, n = 25 в выражение для реализации доверительного интервала
. Получаем (2,412; 2,428)
Оценка называется … , если она выражается одним числом и решает задачу какую величину, вычисленной по выборочной совокупности, принять в качестве приближенного значения характеристики генеральной совокупности
Оценка называется … , если она решает задачу в каком интервале этой величины будет находится с заданной надежностью генеральная характеристика
Соотнесите понятия статистики с их характеристиками:
A. Генеральная дисперсия
B. Генеральным средним квадратическим отклонением
C. Генеральная средняя
D. Выборочная дисперсия
E.




Статистическая оценка, которая при n → ∞ стремится, по вероятности, к оцениваемому параметру, т.е. при увеличении количества опытов оценка θ* параметра должна стремиться (сходиться) к истинному значению этого параметра, называется …
- смещенной
- эффективной
- состоятельной
- несмещенной
Статистическую оценку θ*, математическое ожидание которой равно оцениваемому параметру θ при любом объеме выборки, т.е. M(θ*) = θ называют …
- смещенной
- эффективной
- состоятельной
- несмещенной
Статистическую оценку, которая (при заданном объеме выборки n) имеет наименьшую возможную дисперсию называют …
- смещенной
- эффективной
- состоятельной
- несмещенной
Упорядочите алгоритм действий для построения реализации доверительного интервала на основе данной реализации выборки x₁, x₂, …, xₙ:
1 формулируют предположения о распределении и о выборке x₁, x₂, …, xₙ (допущения, принимаемые при построении априорной теоретической модели)
2 выбирают значение доверительной вероятности 1– α (или уровня значимости)
3 принимают, что вероятность практически достоверного события равна l– α
4 принимают вероятность практически невозможного события равной α
5 записывают вероятностное равенство:
6 проводят эксперимент – получают конкретную реализацию выборки x₁, x₂, … , xₙ
7 вычисляют значения v₁ₑ= v₁(x₁, x₂, …, xₙ) и v₂ₑ= v₂(x₁, x₂, …, xₙ), доверительного интервала – числовой интервал (v₁ₑ; v₂ₑ)
ТЕСТ 10
Дисперсия – это показатель … значений признака относительно своего среднего арифметического значения
Известно, что уровень значимости α составляет 0,05.
Как проверить, используя критерий Пирсона, согласуется ли гипотеза о нормальном распределении генеральной совокупности X по результатам выборки? Приведите все необходимые действия.
- По выборке x₁,x₂, … , xₙ строят вариационный ряд (он может быть как дискретным, так и интервальным); по данным предыдущих исследований или по предварительным данным делают предположение (принимают гипотезу) о модели закона распределения случайной величины X; анализируют результаты и делают вывод.
- По выборке x₁,x₂, … , xₙ строят вариационный ряд (он может быть как дискретным, так и интервальным); по данным предыдущих исследований или по предварительным данным делают предположение (принимают гипотезу) о модели закона распределения случайной величины X; по выборочным данным проводят оценку параметров выбранной модели закона распределения; анализируют результаты и делают вывод.
- По выборке x₁,x₂, … , xₙ строят вариационный ряд (он может быть как дискретным, так и интервальным); по данным предыдущих исследований или по предварительным данным делают предположение (принимают гипотезу) о модели закона распределения случайной величины X; по выборочным данным проводят оценку параметров выбранной модели закона распределения; задают уровень значимости ; выбирают необходимую тестовую статистику Tₙ; определяют критическую область D₁; по реализации x₁,x₂, … , xₙ вычисляют выборочное значение тестовой статистики t = T(x₁,x₂, … , xₙ); анализируют результаты и делают вывод.
Квантиль в математической статистике – это значение, которое заданная … величина не превышает с фиксированной вероятностью
Квантиль хи-квадрат – это число (величина хи-квадрат), при котором функция распределения хи-квадрат равна заданной (затребованной) … а
Критерием согласия называется правило проверки гипотезы о предполагаемом … неизвестного распределения
Нулевая (или основная) гипотеза – это …
- выдвигаемая (проверяемая) гипотеза
- гипотеза, которая противоречит нулевой
- гипотеза, которая противоречит сама себе
- отрицание нулевой гипотезы
Ошибками первого рода называются ошибки, заключающиеся в … гипотезы
- принятии верной
- отвержении неверной
- отвержении верной
- принятии неверной
Ошибки второго рода заключаются в принятии … гипотезы
Соотнесите понятия статистики с их характеристиками:
A. Нормальное распределение
B. Описательная статистика
C. Параметрические критерии
D. Число степеней свободы
E. характеризуется тем, что крайние значения признака в нем встречаются достаточно редко, а значения, близкие к средней величине, – достаточно часто
F. изучает средние значения распределения и меры рассеивания или разброса данных
G. некоторые функции от параметров совокупности, которые служат для проверки гипотез об этих параметрах или для их оценивания
H. число классов вариационного ряда минус число условий, при которых он был сформирован
Статистический критерий – это …
- гипотеза, которая противоречит нулевой
- выдвигаемая (проверяемая) гипотеза
- правило, по которому гипотеза отвергается или принимается
- правило, по которому гипотеза формулируется
Статистической гипотезой о законе распределения называют …
- любое предположение о виде или параметрах известного закона распределения
- параметры известного закона распределения
- первоначальную формулировку закона распределения
- любое предположение о виде или параметрах неизвестного закона распределения
Упорядочите алгоритм действий согласно схеме проверки нулевой гипотезы:
1 определение объема выборки, осуществление формулировки проверяемой H₀-нулевой и H₁-альтернативной гипотез
2 выбор соответствующего уровня значимости α
3 выбор критерия K для проверки гипотезы H₀
4 определение критической области и области принятия гипотезы
5 вычисление наблюдаемого значения критерия Kнаб
6 принятие статистического решения
ИТОГОВЫЙ ТЕСТ
… без повторений – это комбинаторные соединения из n элементов по m, составленные из этих элементов и отличающиеся друг от друга только составом
… закон можно рассматривать как предельный, к которому приближаются другие законы при часто встречающихся типичных условиях
- биноминальный
- равномерный
- прямоугольный
- нормальный
… из n по k – это неупорядоченный набор из k различных элементов, взятых из некоторого множества с мощностью n, где k ≤ n, то есть набор, для которого порядок выбора не имеет значения
… из n по k – это упорядоченный набор из k различных элементов, взятых из некоторого множества с мощностью n, где k ≤ n
… с повторениями – это комбинаторные соединения из n элементов по m, составленные из этих элементов без учета порядка с возможностью многократного повторения предметов
… хи-квадрат – это число (величина хи-квадрат), при котором функция распределения хи-квадрат равна заданной (затребованной) вероятности а
……..случайной величины x распределенной по нормальному закону f(x) = 1/(3√2π) e^(–(x–6)²/18) равно 6.
…………. закон распределения описывает случайные величины, значения которых определяют количество «успехов» и «неудач» при повторении опыта N раз.
В математической статистике … – это значение, которое заданная случайная величина не превышает с фиксированной вероятностью
Вероятность — это ……..мера осуществимости некоторого события при наличии неопределённости.
Вероятность нужна для оценки возможности наступления определенного …
- закона в не случайной ситуации
- сочетания предметов в случайной ситуации
- события в не случайной ситуации
- события в случайной ситуации
Вероятность того, что отклонение случайной величины X от ее математического ожидания по абсолютной величине больше положительного числа ε либо равно ε, меньше, чем D(X)/ε2выражается неравенством …
- Маркова
- Лапласа
- Чебышёва
- Бернули
Вероятность того, что отклонение случайной величины X от математического ожидания M(X) тем меньше, чем …
- больше дисперсия D(X)
- меньше отклониться М(X)
- меньше дисперсия D(X)
Вероятность это …
- случайная оценка
- ситуативная оценка
- качественная оценка
- количественная оценка
Выборка называется …, если отобранный объект в генеральную совокупность не возвращается
- повторной
- бесповторной
- репрезентативной
Выборка называется … выборкой, если отобранный объект перед началом следующего выбора возвращается в генеральную совокупность
Выборка называется репрезентативной, если по ее распределению по некоторому признаку можно судить о распределении по этому же признаку … совокупности с учетом допустимой погрешности
Выборка называется случайной или собственно-случайной, если …
- каждый элемент из генеральной совокупности может попасть в выборку с вероятностью, зависящей от изучаемого признака
- хотя бы некоторые элементы из генеральной совокупности могут попасть в выборку с одинаковой вероятностью, не зависящей от изучаемого признака
- каждый элемент из генеральной совокупности может попасть в выборку с одинаковой вероятностью, не зависящей от изучаемого признака
Выборочный метод заключается в том, чтобы по …
- всей генеральной совокупности (выборке) сделать вывод о свойствах генеральной совокупности в целом
- некоторой части генеральной совокупности (выборке) посчитать объем генеральной совокупности в целом
- некоторой части генеральной совокупности (выборке) сделать вывод о свойствах генеральной совокупности в целом
- некоторой части генеральной совокупности (выборке) сделать вывод о свойствах отдельных частей генеральной совокупности
Дискретная случайная величина X задана законом распределения представленном в таблице, неизвестная вероятность равна..........

- 0.29
- 0.2
- 0.27
Дискретная случайная величина в противоположность …величинам, заданы только отдельными значениями
- непрерывным
- динамическим
- статическим
Для того, чтобы вычислить ………. дискретной случайной величины X с помощью формулы D(X) = M (X²) – (М(X))² дополним таблицу распределения строчкой квадратов ее значений.
Достоверное событие– это …
- выбадение числа 7 при бросании игрального кубика
- монета улетит вверх
- после зимы наступит весна
Достоверное событие (для данного опыта) – это …
- группа событий, которая обязательно не произойдет
- событие, которое обязательно не произойдет
- событие, которое обязательно произойдет
Если c —… величина, то D [c]=0
Если H₁, H₂, … , Hₙ – полная группа попарно несовместных событий, то для любого события А имеет место формула … вероятности P(A)=P(H₁)P(A|H₁)+…+P(Hₙ)P(A|Hₙ)
Если M(θ*) = θ то статистическую оценку θ* называют …
- смещенной
- эффективной
- состоятельной
- несмещенной
Если X (генеральной совокупность) - случайная величина, то математическое … признака равно генеральной средней этого признака.
Если в неравенства … P(|X – M(X)| ≤ ε) > 1 – D(X)/ε² сделать подстановку ε=tσ(X) то неравенство примет вид P(|X – M(X)| ≥ tσ(X)) < 1/t²
Если же значения признака x₁, x₂ …, xₖ имеют соответственно частоты N₁ N₂ …, Nₖ причем N₁ + N₂ + … + Nₖ = N, то … средняя вычисляется по формуле х = (x₁N₁ + x₂N₂ + … + xₖNₖ)/N,
Если при заданном объеме выборки n статистическая оценка имеет наименьшую возможную дисперсию называют, то ее называют …
- смещенной
- эффективной
- состоятельной
- несмещенной
Если при увеличении количества опытов оценка θ* параметра стремиться (сходиться) к истинному значению этого параметра, то статистическая оценка называется …
- смещенной
- эффективной
- состоятельной
- несмещенной
Закон распределения дискретной случайной величины представлен в таблице, тогда математическое ожидание равно……..

- 1.35
- 1.45
- 1.5
Законом распределения случайной величины называется любое правило (таблица, функция), которое …
- не позволяет находить вероятности всевозможных событий, связанных со случайной величиной
- позволяет находить значения случайной величины
- позволяет находить вероятности всевозможных событий, связанных со случайной величиной
Интервальная оценка решает задачу в каком интервале будет находится с заданной … генеральная характеристика случайной величины
Критерий … χ² (или критерий Пирсона) – это метод позволяет оценить статистическую значимость различий двух или нескольких относительных показателей (частот, долей)
Любое предположение о виде или параметрах неизвестного закона распределения – это … о законе распределения (укажите словосочетание)
Математическое ожидание – это величина, которая является характеристикой …
- рассеяния среднего значения случайной величины
- некоторого бесконечного промежутка
- среднего значения случайной величины
Математическое ожидание и дисперсия являются числовыми характеристиками … закона распределения
- биноминального
- равномерного
- нормального
- геометрического
Множества, состоящие из конечного числа элементов, называются … множествами
- конечными
- бесконечными
- счетными
Непрерывное равномерное распределение в теории вероятностей — это распределение случайной вещественной величины, принимающей значения, принадлежащие некоторому ……….. конечной длины.
Несовместные события – …
- «началось утро» и «началась ночь»
- «начался полдень» и «посыпался град»
- «выпало карта треф» и «выпала дама»
Несовместные события – это если появление одного из них …
- исключает появление другого в одном и том же испытании
- не исключает появление другого в одном и том же испытании
- исключает появление другого в разных испытаниях
Объединением событий A и B называется такое событие C = A ∪ B, которое включает все исходы события A, все исходы события B, включая и те, что … принадлежат A и B
Объекты, из которых образовано множество, называются его …
- предметами
- сочетаниями
- размещениями
- элементами
Объем генеральной совокупности – это …
- количество элементов генеральной совокупности N
- сумма всех натуральных чисел от 1 до n
- разность всех натуральных чисел от 1 до n
- число от 1 до n
Операции над событиями: умножение, … , объединение, дополнение, разность
Оценка вероятности, по неравенству Чебышева, того, что абсолютная величина разности между числом включенных ламп в осветительной сети из 20 ламп и средним числом отказов за время Т не меньше трех равна … , причем вероятность, что за время Т лампа будет включена равна 0,8
Оценка вероятности (по неравенству Чебышева), того, что абсолютная величина разности между числом отказавших элементов в устройстве из 10 независимо работающих элементов, у которых вероятность отказа р=0,05, и средним числом отказов за время Т меньше двух равна …
- 0,88
- 0.01
- 0,2
- 0,02
Ошибки … рода, заключаются в принятии неверной гипотезы
- только первого
- только второго
- первого и второго
Пересечением событий A и B называется такое событие C = A ∩ B, включающее те и только те элементарные исходы, которые … принадлежат и событию A, и событию B
Показатель разброса значений признака относительно своего среднего арифметического значения называется …
Правило трех сигм позволяет определить вероятность нахождения значений в определенном … , но не дает точных численных значений
Правило трех сигм предполагает, что распределение случайной переменной является симметричным вокруг …
- дисперсии
- среднего квадратичного отклонения
- среднего значения
- эксцесса
Правило трех сигм рассматривает только разброс значений относительно математического … , не учитывая возможные систематические ошибки или влияние других переменных
При неограниченном увеличении числа однородных … опытов частота события будет сколь угодно мало отличаться от вероятности события в отдельном опыте, согласно теореме Бернулли
Разностью событий А и В называется событие С = А-В (или С = А В), которое происходит тогда и только тогда, когда событие А происходит, а событие В …
Расположите в порядке возрастания вероятности P(A₁), P(А₂), P(А₃), P(A₄), если на складе появились новые товары, которые были поставлены с трех разных заводов, и известно, каким заводом поставлено какое число товаров в процентном отношении от общего их количества на складе (см. таблицу ниже):

1 Р(А2)
2 Р(А4)
3 Р(А1)
4 Р(А3)
Расположите в порядке возрастания вероятности Р(D), Р(D|M), Р(D|W), если известно, что 5% мужчин и 0.25% женщин — дальтоники, M ={ выбран мужчина }, W ={ выбрана женщина }, D ={ выбранный человек дальтоник }.
1 Р(D|W)
2 Р(D),
3 Р(D|M),
Ряд называется вариационным, если он является статистической совокупностью, у которой все данные располагаются … значений случайной величины
- строго в порядке возрастания
- строго в порядке убывания
- в порядке возрастания или убывания
Ряд, полученный из … ряда путем объединения случайных величин в разряды, называется статистическим
С точки зрения теории вероятности математическое ожидание приблизительно равно среднему ………возможных значений дискретной случайной величины.
- геометрическому
- расстоянию
- арифметическому
Случайная величина X имеет … распределение если функция распределения равна F(x) = 1/(σ√2π) ∫e^(–(t–m)²/2σ²)dt.
- нормальное
- биноминальное
- равномерное
- прямоугольное
Случайная величина X имеет показательное … с параметром λ > 0, если ее плотность равна f(X) = {0, если x < 0; λe^(–λx), если x ≥ 0
Случайная величина X имеет показательное распределение с плотностью равной f(X) = {0, если x < 0; 5e⁻⁵ˣ, если x ≥ 0 с ………λ равным пяти.
Случайная величина x имеет равномерное распределение на интервале [a, b], если ее … распределения имеет вид: f(x) = {1/(b – a), если x ∈ (a, b]; 0, если x ⋶ (a, b].
Случайная величина x распределена по нормальному закону с параметрами m и σ, если ее … распределения имеет вид: f(x) = 1/(σ√2π) e^(–(x–m)²/2σ²)
Случайная величина X с дисперсией D(X) = 0,001 имеет вероятность того, что X отличается от M(X) более чем на 0,1 по неравенству Чебышёва равной …
Случайная величина может быть двух типов …
- непрерывная и статическая
- непрерывная и динамическая
- дискретная и прерывная
- дискретная и непрерывная
Событие (исход опыта, испытания) – это … (укажите 2 варианта ответа)
- результат проведения опыта (испытания
- результат реализации необходимой совокупности условий
- сумма всех опытов
- разность всех опытов
- результат опытов (испытаний) от 1 до n
Согласно правилу произведения, если объект A можно выбрать n способами и после каждого такого выбора объект B можно выбрать m способами, то для пары «A и B » есть … вариантов выбора
- 2nm
- 2n / m
- n · m
- n · 2m
Согласно правилу суммы, если объект A можно выбрать n способами, а объект B можно выбрать m способами, то объект «A или B» можно выбрать … способами
- nm + n
- (n – m) + m
- n + m
- n +mn
Соотнесите значения величин с их описаниями:
A. Оценка вероятности того, что в течение ближайшего дня потребность в воде в населенном пункте превысит 150 000 л (А: Х ≥ 150000), если среднесуточная потребность в ней составляет 50 000 л.
B. Оценка вероятности того, что в течение года в этой местности будет не более 240 солнечных дней (А: Х≤ 240 ¿, если среднее число солнечных дней в году для данной местности равно 90
C. Оценка вероятности того, что отклонение длины изготовленной детали от ее среднего значения по абсолютной величине не превзойдет 0,4 мм, если длина изготавливаемых деталей является случайной величиной, среднее значение которой 50 мм, σ=0,2 мм (А: |X−50|≤ 0.4¿.
D. Р(А)≤ 13
E. Р(А)¿0,625
F. Р(А)¿0,75
Соотнесите искомые величины задачи с их значениями, если длина X некоторой детали представляет собой случайную величину, распределенную по нормальному закону распределения, и имеет среднее значение 20 мм и среднее квадратическое отклонение − 0,2 мм:
A. вероятность того, что длина детали будет заключена между 19,7 и 20,3 мм;
B. вероятность того, что величина отклонения не превышает 0,1 мм;
C. каким должно быть задано отклонение, чтобы процент деталей, отклонение которых от среднего не превышает заданного, повысился до 54%;
D. 0, 8664
E. 0, 383
F. 0, 148
Соотнесите понятия математической статистики с их описаниями:
A. Генеральная совокупность
B. Интервальная оценка
C. Выборочная совокупность
D. Средняя квадратичная ошибка
E. статистическая совокупность, распределение которой изучается по интересующему нас признаку
F. числовой интервал[Q₁, Q₂], который с заданной неизвестное значение параметра θ
G. часть объектов, которая отобрана для непосредственного изучения из генеральной совокупности
H. среднее квадратическое отклонение выборочной средней и выборочной доли собственно случайной выборки
Соотнесите понятия математической статистики с их описаниями:
A. Репрезентативная выборка
B. Нерепрезентативная выборка
C. Средние величины - генеральная и выборочная
D. Генеральная и выборочная доли
E. выборка способная дать представительную характеристику генеральной совокупности, если ошибкой выборки можно пренебречь.
F. выборка не способная дать представительную характеристику генеральной совокупности, ошибка выборки больше известного допустимого предела
G. характеризуют типичные свойства генеральной и выборочной совокупностей по количественному признаку.
H. характеризуют удельный вес единиц в соответствующих совокупностях, обладающих той или иной качественной особенностью.
Соотнесите понятия множеств с их описаниями:
A. Множество натуральных чисел
B. Множество целых чисел
C. Множество рациональных чисел
D. Множество действительных чисел
E. N
F. Z
G. Q
H. R
Соотнесите понятия нормального распределения с их математическими выражениями:
A. Плотность стандартного распределения
B. Функция распределения
C. Вероятность попадания в интервал
D. Функция Лапласа
E. f(x) = 1/(√2π) e^(–x²/2); f(x) = 1/(√2π) e^(–x²/2)
F. F(x) = 1/(σ√2π) ∫e^(–(t–m)²/2σ²)dt
G. P(a ≤ ξ ≤ b) = Ф((b – m)/σ) – Ф((a – m)/σ)
H. Ф(x) = 1/(√2π) ∫e^(–t²/2)dt
Соотнесите понятия с их описаниями:
A. Упорядоченный выбор без возвращения
B. Неупорядоченный выбор без возвращения
C. Неупорядоченный выбор с возвращением
D. Anm
E. Сnm
F. Сnm+n−1
Соотнесите понятия статистики с их характеристиками:
A. Выборочная средняя
B. Выборочная дисперсия
C. Математическое ожидание М(Х):
D. Выборочная дисперсия
E.




Соотнесите понятия статистики с их характеристиками:
A. Дисперсия
B. Параметрический критерий
C. Число степеней свободы
D. показатель разброса значений признака
E. статистический метод, основанный на предположении о распределении данных в генеральной совокупности
F. число классов вариационного ряда минус число условий, при которых он был сформирован
Соотнесите понятия статистики с их характеристиками:
A. Оценка параметра
B. Генеральная средняя дискретной статистической совокупности
C. Выборочная (эмпирическая) средняя
D. определенная числовая характеристика,полученная из выборки
E. число, которое является центром рассеяния (варьирования) для всех значений изучаемого признака
F. число, которое определяется как среднее арифметическое всех выборочных значений признака
Соотнесите понятия статистики с их характеристиками:
A. Статистическая гипотеза
B. Нулевая (основная) гипотеза
C. Конкурирующая (альтернативная) гипотеза
D. гипотеза о виде неизвестного распределения или о параметрах известных распределений.
E. выдвинутая гипотезу Н₀.
F. гипотеза H₁, которая противоречит основной
Соотнесите понятия теории больших чисел с их описаниями:
A. Теорема Бернулли
B. Теорема Чебышёва (обобщенная)
C. Теорема Пуассона
D. Теорема Чебышёва
E. если случайные величины в последовательности X₁, X₂,….. Хₙ попарно независимы, а их дисперсии удовлетворяют условию, то для любого положительного ε > 0 справедливо утверждение:
F. при неограниченном увеличении числа однородных независимых опытов частота события будет сколь угодно мало отличаться от вероятности события в отдельном опыте
G. при неограниченном увеличении числа независимых опытов в переменных условиях частота события А сходится по вероятности к среднему арифметическому его вероятностей pi при данных испытаниях
H. при неограниченном увеличении числа независимых испытаний среднее арифметическое наблюдаемых значений случайной величины, имеющей конечную дисперсию, сходится по вероятности к ее математическому ожиданию иначе, если X₁,X₂,… независимые одинаково распределенные случайные величины с математическим ожиданием mx и ограниченной дисперсией Dₓ, то при любом ε > 0 справедливо:
Соотнесите понятия теории вероятностей с их описаниями:
A. Закон распределения дискретной случайной величины.
B. Многоугольник распределения
C. Математическим ожидание случайной величины
D. Отображение, при котором каждому возможному значению дискретной случайной величины соответствует вероятность события, при котором случайная величина принимает это значение
E. График закона распределения в декартовой системе координат, на горизонтальной оси которой откладываются значения x, а на вертикальной− вероятности,
F. Скалярное произведение вектора значений случайной величины на вектор соответствующих им вероятностей.
Соотнесите понятия теории вероятностей с их описаниями:
A. Математическое ожидание случайной величины, распределенной по биноминальному закону
B. Математическое ожидание случайной величины, распределенной по равномерному закону
C. Математическое ожидание случайной величины, распределенной по показательному закону
D. M(X)=np
E. M(x) = (a+b)/2
F. M(x) = 1/λ
Соотнесите понятия теории вероятностей с их описаниями:
A. Функция распределения случайной величины
B. Дисперсия непрерывной случайной величины
C. Среднеквадратическое отклонение
D. Дисперсия дискретной случайной величины
E. F(x) = P(ξ < x)
F. D = E(ξ – m)² = ∫(x – m)² f(x)dx = ∫x²f(x)dx – m²
G. σ = √D
H. D = E(ξ – m)² = Σ(xi – m)² pi = Σ pixi² – m²
Соотнесите понятия теории вероятности с их описаниями:
A. вероятное событие
B. маловероятного события
C. случайное событие
D. называем событие, когда основания для того, чтобы какое-нибудь возможное событие произошло в действительности, перевешивают противоположные основания
E. называем событие, когда основания для того, чтобы какое-нибудь возможное событие произошло в действительности, не перевешивают противоположные основания
F. называем событие, если нельзя утверждать, что это событие в данных обстоятельствах непременно произойдет
Соотнесите понятия теории вероятности с их описаниями:
A. Классическое определение вероятности
B. Геометрическое определение вероятности
C. Статистическое определение вероятности
D. Условная вероятность
E. отношение всех элементарных несовместных равновозможных исходов опыта, благоприятствующих появлению события A, ко всем исходам опыта, составляющим полную группу, называется вероятностью события A
F. если событие A – попадание точки, наугад брошенной в область D, в ее подобласть d, тогда вероятность события A определяется как отношение меры подобласти d к мере области D
G. постоянное число, около которого стабилизируется и группируется, приближаясь к нему, относительная частота этого события при неограниченном увеличении числа испытаний
H. вероятность одного события при условии, что некоторое другое событие произошло (вероятность события A при условии, что событие B произошло), можно обозначить через P(А|B)
Соотнесите понятия теории вероятности с их описаниями:
A. Частотой случайного события события А
B. Условной частотой события А относительно B
C. Относительной частотой события А
D. в данной серии испытаний называется отношение числа испытаний, в которых появилось данное событие к общему числу испытаний
E. называется отношение числа опытов, в результате которых появляются оба события, к числу всех опытов, в результате которых появляется событие В
F. события А называется отношение числа (М) появлений этого события к общему числу (N) произведенных испытаний
Среднеквадратическое (стандартное) … σ есть положительное значение квадратного корня из дисперсии
Статистическая совокупность, распределение которой изучается по интересующему нас признаку, – это … совокупность
Статистический критерий – это …
- гипотеза, которая противоречит нулевой
- выдвигаемая (проверяемая) гипотеза
- правило, по которому гипотеза отвергается или принимается
- правило, по которому гипотеза формулируется
Статистическую оценку, математическое ожидание которой не равно оцениваемому параметру называют …
- смещенной
- эффективной
- состоятельной
- несмещенной
Теорема … вероятностей гласит, что если событие С равно сумме трех не совместных событий A, D и В, то вероятность события С равна: Р(С) = P(A) + P(B) + P(C)
Теоремы, носящие название закона … чисел – это условия, при выполнении которых совокупное действие многих случайных величин приводит к результату, почти не зависящему от случайных причин
- малых
- предельных
- больших
Точечная статистическая оценка выражается … числом и решает задачу какую величину, вычисленной по выборочной совокупности, принять в качестве приближенного значения характеристики генеральной совокупности
Упорядочите алгоритм действий для исследования определённый сорт картофеля по такому признаку, как масса клубня (96 клубней). Все данные сведены в одну специальную таблицу.

1 найдем среднее арифметическое данного мерного признака
2 найдём «исправленное» среднее квадратическое отклонение данного мерного признака
3 определим ошибку среднего арифметического
4 найдём предельную ошибку выборки с доверительной вероятностью 0,95 (с надёжностью 95%)
Упорядочите алгоритм действий решения задачи: Случайные величины X и Y распределены нормально. Требуется при уровне значимости 0,05 проверить нулевую гипотезу H0: M(X)=M(Y) при конкурирующей гипотезе Н1: M(X)≠M(Y). Данные задачи представлены в таблице.

1 Найдем наблюдаемое значение критерия Z по формуле:

3 Принимаем гипотезу H₀ при Zнабл. ∈ (-Zкр., Zкр)
4 Найдем Zкр = Ф⁻¹((1-0,05)/2)=1,96 по таблице функции Лапласа Ф(х).
5 Так как Zнабл.> Zкр, то H₀ отвергается и принимается гипотеза H₁: M(X)≠M(Y).
Упорядочите алгоритм действий согласно схеме проверки нулевой гипотезы:
1 определение объема выборки, осуществление формулировки проверяемой H₀-нулевой и H₁-альтернативной гипотез
2 выбор соответствующего уровня значимости α
3 выбор критерия K для проверки гипотезы H₀
4 определение критической области и области принятия гипотезы
5 вычисление наблюдаемого значения критерия Kнаб
6 принятие статистического решения
Упорядочите в порядке возрастания вероятности попадание случайной величины, распределенной по нормальному закону, с M(X)=5.96, σ=2.77 в интервалы:
1 X ∊ [8;10]
2 X ∊ [4;6]
3 X ∊ [6;8]
4 X∊ [0;4]
Упорядочите в порядке возрастания искомые величины задачи, если дневная добыча угля в некоторой шахте распределена по нормальному закону с M(X)=870 тонн и σ=90 тонн.
1 Найдите вероятность того, что в данный день добыча угля окажется ниже 750 тонн.
2 Определите долю рабочих дней, в которые будет добыто от 860 до 940 тонн угля.
3 Найдите вероятность того, что в определенный день будут добыты по крайней мере 900 тонн угля.
Упорядочите вероятности безотказной работы соответствующих элементов q₁, q₂, q₃, q₄ в порядке возрастания, если известно, что электроприбор содержит два независимо работающих блока A и B, каждый из которых состоит из нескольких элементов (см. рисунок ниже) и известны вероятности отказа каждого из элементов: p₁ = 0,3, p₂ = 0,2, p₃ = 0,1, p₄ = 0,4, p₅ = 0,23, p₆ = 0,25, p₇ = 0,35:

1 q₄
2 q₁
3 q₂
4 q₃
Упорядочите значения выражений в порядке возрастания:
1 A²₃
2 P₁,₂,₃
3 C³₈
4 A³₂₀
Упорядочите этапы нахождения M(X − 2Y ), если две случайные величины X и Y заданы своими законами распределения:
1 Вычислим для каждой из случайных величин математическое ожидание M(X), M(Y )/
2 вычислим 2M(Y)
3 вычислим M(X − 2Y ) =M(X)− 2M(Y )
Упорядочите этапы определения закона распределения вероятностей случайной величины X – выигрыша на один билет, если выпущено 1000 лотерейных билетов и на 5 из них выпадает выигрыш в сумме 500 руб., на 10 – выигрыш в 100 руб., на 20 – выигрыш в 50 руб., на 50 – выигрыш в 10 руб.:
1 определить значения случайной величины Х
2 посчитать все вероятности появления значений случайной величины Х
3 записать закон распределения в виде таблицы
4 построить график закона распределения
Упорядочьте действия алгоритма оценки с использованием неравенства Чебышева вероятности того, что |X – M(X)| < 0.2, где Х дискретная случайная величина, заданная законом распределения (см. таблицу ниже):

1 найдем математическое ожидание
2 найдем дисперсию
3 воспользуемся неравенством Чебышева для оценки
Упорядочьте действия алгоритма решения задачи поиска насколько большим должно быть число n повторений испытания Бернулли для того, чтобы с вероятностью более 95 % можно было бы утверждать, что погрешность приближения не превышает 0,05, если вероятность p «успеха» равна 0,2?
1 определяем в каких пределах должно находиться число k «успехов»
2 определяем вероятность нахождения числа k «успехов» в определенных пределах
3 определяем значение Ф (√n/8)
4 находим значение величины √n/8 и определяем n
Упорядочьте шаги алгоритма построения статистического ряда:
1 осуществляется сбор информации, наблюдения записываются в порядке их поступления и оформляются в виде таблицы
2 данные располагаются в порядке возрастания или убывания значений случайной величины
3 представленные в вариационном ряде случайные величины объединяются в разряды, рассчитывается величина разряда C
4 подсчитывается число наблюдений, попадающих в тот или иной разряд случайной величины
Упорядочьте шаги алгоритма решения задачи: при проверке импортирования груза на таможне методом случайной выборки было обработано 200 изделий, средний вес изделия 30г., при σ=4г с вероятностью 0,997. Определите пределы в которых находится средний вес изделий генеральной совокупности.
1 находим t– критерий кратности ошибки
2 находим предельную ошибку средней
3 определяем величину средней ошибки
Формула Байеса применяется для вычисления … вероятности Р(H₁|А) гипотезы Н₁ после испытания, при котором произошло событие А: Р(Hi|А) = P(Hi)P(A|Hi) / (P(H₁)P(A|H₁)+…+P(Hₙ)P(A|Hₙ))
Формула Бернулли применяется для анализа ситуаций, когда есть только два возможных исхода: успех или …
Чем … выборка, тем более точные результаты можно получить с помощью правила трех сигм
КОМПЕТЕНТНОСТНЫЙ ТЕСТ
В 1200 испытаниях Бернулли вероятность успеха в каждом испытании равна 0,8. На основе данных оцените вероятность того, что разница между числом успехов в этих испытаниях и средним числом успехов будет меньше 60. Приведите шаги для вычислений.
- Число успехов распределено по закону Бернулли. Математическое ожидание (среднее число успехов): M(x) = n · p = 1200 · 0.8 = 960. Дисперсия: D(x) = nрq = 1200 · 0.8 · 0.2 = 192. Неравенство Чебышева: P(|m – np| < ε) ≥ 1 – npq/ε². Подставляя числовые значения, получаем: P(|m – 960| < 60) ≥ 1 – 192/60² = 0,9467. Ответ: р ≥ 0,9467
- Число успехов распределено по закону Бернулли. Математическое ожидание (среднее число успехов): M(x) = n · p = 1200 · 0.2 = 240. Дисперсия: D(x) = nрq = 1200 · 0.8 · 0.2 = 192. Неравенство Чебышева: P(|m – np| < ε) ≥ 1 – npq/ε². Подставляя числовые значения, получаем: P(|m – 240| < 60) ≥ 1 – 192/60² = 0,9467. Ответ: р ≥ 0,9467
- Число успехов распределено по закону Бернулли. Математическое ожидание (среднее число успехов): M(x) = n · p = 1200 · 0.2 = 240. Дисперсия: D(x) = nрq = 1200 · 0.8 · 0.2 = 192. Неравенство Чебышева: P(|m – np| < ε) ≥ 1 – npq/ε². Подставляя числовые значения, получаем: P(|m – 240| < 192) ≥ 1 – 192/60² = 0,9467. Ответ: р ≥ 0,9467
В партии 50 деталей, в ней 5 бракованных деталей. Наугад отбирается 5 деталей. Если среди отобранных деталей нет бракованных, то партия принимается. Как найти вероятность того, что партия будет принята, если в ней 5 бракованных деталей?
- Обозначим через А событие – партия деталей будет принята. Общее число исходов n = С⁵₅₀, а число благоприятствующих событию А исходов m = C⁵₄₅. Следовательно, P(A) = m/n ≈ 0,57.
- Обозначим через А событие – партия деталей будет принята. Число благоприятствующих событию А исходов n = С⁵₅₀, а общее число исходов m = C⁵₄₅. Следовательно, P(A) = m/n ≈ 0,57.
- Обозначим через А событие – партия деталей не будет принята. Число благоприятствующих событию А исходов n = С⁵₅₀, а общее число исходов m = C⁵₄₅. Следовательно, P(A) = m/n ≈ 0,57.
В урне 5 белых и 8 черных шаров. Из урны наудачу один за другим извлекают два шара, не возвращая их обратно. Как найти вероятность того, что оба шара будут белыми?
- Рассмотрим события: А – первый шар будет белым; В – второй шар будет белым. Найдем вероятность события AВ, состоящего в том, что 1-й шар будет белым и 2-й – белым. По классическому определению вероятности найдем P(А). Найдем Рₐ(В) – вероятность извлечения белого шара во втором испытании, при условии, что до этого был извлечен белый шар. По теореме умножения вероятностей зависимых событий найдем P(AВ) = Р(А) Pₐ(В) – вероятность того, что оба шара будут белыми.
- Рассмотрим события: А – первый шар будет белым; В – второй шар будет белым. Найдем вероятность события AВ, состоящего в том, что 1-й шар будет черным и 2-й – белым. По классическому определению вероятности найдем P(А). Найдем Рₐ(В) – вероятность извлечения белого шара во втором испытании, при условии, что до этого был извлечен белый шар. По теореме умножения вероятностей зависимых событий найдем P(AВ) = Р(А) Pₐ(В) – вероятность того, что оба шара будут белыми.
- Рассмотрим события: А – первый шар будет белым; В – второй шар будет белым. Найдем вероятность события AВ, состоящего в том, что 1-й шар будет белым и 2-й – белым. По классическому определению вероятности найдем P(А). Найдем Рₐ(В) – вероятность извлечения черного шара во втором испытании, при условии, что до этого был извлечен белый шар. По теореме умножения вероятностей зависимых событий найдем P(AВ) = Р(А) Pₐ(В) – вероятность того, что оба шара будут белыми.
В целях изучения среднего возраста служащих фирмы проведена 46%-ная выборка, в результате которой получено следующее распределение рабочих по возрасту (см. таблицу ниже).

На основе этих данных нужно вычислить средний стаж рабочих завода, средний квадрат отклонений (дисперсию), среднее квадратическое отклонение.
Что следует предпринять, составьте алгоритм действий?
- 1) Для вычисления среднего возраста просуммируем произведения середин интервалов и соответствующих частот, и полученную сумму разделим на сумму частот: x = Σxini / Σni. 2) Вычислим дисперсию по формуле σ² = Σ(xi – x)²ni / Σni. 3) Вычислим среднее квадратическое отклонение по формуле σ = √σ².
- 1) Для вычисления среднего возраста просуммируем произведения середин интервалов и соответствующих частот, и полученную сумму разделим на сумму частот: σ² = Σ(xi – x)²ni / Σni. 2) Вычислим дисперсию по формуле x = Σxini / Σni. 3) Вычислим среднее квадратическое отклонение по формуле σ = √σ².
- 1) Для вычисления среднего возраста просуммируем произведения концов интервалов и соответствующих частот, и полученную сумму разделим на сумму частот: x = Σxini / Σni. 2) Вычислим дисперсию по формуле σ² = Σ(xi – x)²ni / Σni. 3) Вычислим среднее квадратическое отклонение по формуле σ = √σ².
- 1) Для вычисления среднего возраста просуммируем произведения начала интервалов и соответствующих частот, и полученную сумму разделим на сумму частот. 2) Вычислим дисперсию по формуле σ² = Σ(xi – x)²ni / Σni. 3) Вычислим среднее квадратическое отклонение по формуле σ = √σ².
Дана выборка (52, 42, 40, 38, 37). Вычислить несмещенные оценки среднего значения µ, дисперсии σ2 и стандартного отклонения σ генеральной совокупности. Запишите формулы их нахождения.
- x = 1/n Σ xi = 43,8, S² = 1/(n–1) Σ(xi – x)² = 31,76, S = √S² = 5,64.
- x = 1/n Σ xi = 33,8, S² = 1/(n–1) Σ(xi – x)² = 31,76, S = √S² = 5,64.
- x = 1/n Σ xi = 43,8, S² = 1/(n–1) Σ(xi – x)² = 21,76, S = √S² = 7,64.
Имеются две генеральные совокупности X и Y, для которых известны генеральные средние x₀ и y₀ и дисперсии σₓ² и σᵧ². Требуется по выборочным средним для заданного уровня значимости α проверить гипотезу о равенстве генеральных средних, т.е. что математические ожидания рассматриваемых совокупностей равны между собой.
Что для этого следует предпринять?
- Принимаем за H₀ : x₀ = y₀. При больших объемах выборки учитываем, что: M(x – y) = M(x) – M(y) = x₀ – y₀ = 0, σ²ₓ₋ᵧ = σₓ² + σᵧ². В качестве критерия проверки нулевой гипотезы принимаем следующую величину: Критическая область строится произвольно. Находим tkr и определяем критическую область. Делаем вывод.
- Принимаем за H₀ : x₀ = y₀. При больших объемах выборки учитываем, что: M(x – y) = M(x) – M(y) = x₀ – y₀ = 0, σ²ₓ₋ᵧ = σₓ² + σᵧ². В качестве критерия проверки нулевой гипотезы принимаем следующую величину: Критическая область строится в зависимости от выбора альтернативной гипотезы H₁ : H₁ : x₀ > y₀, или H₁ : x₀ < y₀, или H₁ : x₀ ≠ y₀. Находим tkr и определяем критическую область. Делаем вывод.
- Принимаем за H₁ : x₀ > y₀. При больших объемах выборки учитываем, что: M(x – y) = M(x) – M(y) = x₀ – y₀ = 0, σ²ₓ₋ᵧ = σₓ² + σᵧ². В качестве критерия проверки нулевой гипотезы принимаем следующую величину: Критическая область строится в зависимости от выбора альтернативной гипотезы H₁ : H₁ : x₀ > y₀, или H₁ : x₀ < y₀, или H₁ : x₀ ≠ y₀. Находим tkr и определяем критическую область. Делаем вывод.
Используя критерий Пирсона, проверяется гипотеза о нормальном распределении генеральной совокупности. Что следует предпринять для вычисления числа степеней свободы?
- Число степеней свободы вычисляется по формуле к=к₁-t-1, где t=3 это число параметров распределения, к₁-число интервалов в выборке.
- Число степеней свободы вычисляется по формуле к=к₁-t-1, где t=1 это число параметров распределения, к₁-число интервалов в выборке.
- Число степеней свободы вычисляется по формуле к=к₁-t-1, где t=0 это число параметров распределения, к₁-число интервалов в выборке.
- Число степеней свободы вычисляется по формуле к=к₁-t-1, где t=2 это число параметров распределения, к₁-число интервалов в выборке.
Монету подбрасывают 1000 раз. На основе этих данных, оцените снизу вероятность отклонения частоты появления герба от вероятности его появления меньше чем на 0,1. Приведите шаги для вычислений.
- p=q=0,5, ε=0,1, n=1000, P(|m/1000 – 1/2| < 0,1) > 1 – (0.5·0.5)/(1000·0.01) = 39/40. Неравенство |m/1000 – 1/2| < 0,1 равносильно двойному неравенству 400<m<600, поэтому вероятность числа попаданий «герба» в интервал (400;600) больше 39/40.
- p=q=0,5, ε=0,1, n=1000, P(|m/1000 – 1/2| < 0,1) > 1 – (0.5·0.5)/(1000·0.1) = 0.25/100 = 0.01. Неравенство |m/1000 – 1/2| < 0,1 равносильно двойному неравенству 400<m<600, поэтому вероятность числа попаданий «герба» в интервал (400;600) больше 0.01.
- p=q=0,5, ε=0,1, n=1000, P(|m/1000 – 1/2| < 0,1) > 1 – (0.5·0.5)/(100·0.1) = 0.25/10 = 0.025. Неравенство |m/1000 – 1/2| < 0,1 равносильно двойному неравенству 400<m<600, поэтому вероятность числа попаданий «герба» в интервал (400;600) больше 0.025.
Оператор обслуживает три линии производства, вероятности выхода из строя каждой производственной линии в течение смены соответственно равны 0,2; 0,5; 0,1. Составить закон распределения числа линий, не требующих ремонта в течение смены. Что следует предпринять?
- Найти вероятности выхода из строя соответствующих станков в течение часа; найти вероятности их безотказной работы; используя теоремы сложения вероятностей несовместных событий и умножения независимых событий, составим закон распределения случайной величины X – числа станков, не требующих ремонта в течение часа.
- Найти вероятности выхода из строя соответствующих станков в течение часа; используя теоремы сложения вероятностей несовместных событий и умножения независимых событий, составим закон распределения случайной величины X – числа станков, не требующих ремонта в течение часа.
- Найти вероятности выхода из строя соответствующих станков в течение часа; используя теоремы сложения вероятностей несовместных событий и умножения независимых событий, составим закон распределения случайной величины X – числа станков, не требующих ремонта в течение часа.
По результатам исследования цены некоторого товара в различных торговых точках города получены следующие данные (в денежных единицах): 17.5; 7.7; 8.7; 16.1; 10.6; 19.8; 17; 16; 18; 16; 18.2; 18.5; 17.4; 17.1; 19.5; 16.8; 19.6; 16.3; 16.3; 18.5; 15.8; 7.5; 9.2; 7.2; 7; 8; 7.5; 7.5; 8; 6.5. Приведите алгоритм действий, требующихся для того чтобы составить вариационный ряд.
- 1. Решаем, какой ряд составлять – дискретный или интервальный (в вопросе ничего не сказано о характере ряда). Так как цены дискретны, разброс цен довольно велик, то здесь целесообразно построить дискретный вариационный ряд. 2. Находим самое маленькое число в выборке (минимальное значение) и самое большое число в выборке (максимальное значение). 3. Считаем число интервалов в выборке по формуле Стерджеса. 4. К самой малой варианте начинаем прибавлять h, получая тем самым частичные интервалы. 5. Получили интервальный вариационный ряд.
- 1. Решаем, какой ряд составлять – дискретный или интервальный (в вопросе ничего не сказано о характере ряда). Так как цены дискретны, разброс цен довольно велик, то здесь целесообразно построить интервальный вариационный ряд. 2. Находим самое маленькое число в выборке (минимальное значение) и самое большое число в выборке (максимальное значение). 3. Вычислим размах вариации – длину общего интервала, в пределах которого варьируется цена. 4. Считаем число интервалов в выборке по формуле Стерджеса. 5. Считаем длины частичных интервалов. 6. К самой малой варианте начинаем прибавлять h, получая тем самым частичные интервалы. 7. Подсчитываем частоты по каждому интервалу. Суммируем полученные частоты и получаем объем выборки n. 8. Получили интервальный вариационный ряд.
- 1. Решаем, какой ряд составлять – дискретный или интервальный (в вопросе ничего не сказано о характере ряда). Так как цены дискретны, разброс цен довольно велик, то здесь целесообразно построить интервальный вариационный ряд. 2. Вычислим размах вариации – длину общего интервала, в пределах которого варьируется цена. 3. Считаем число интервалов в выборке по формуле Стерджеса. 4. Считаем длины частичных интервалов. 5. К самой малой варианте начинаем прибавлять h, получая тем самым частичные интервалы. 6. Получили интервальный вариационный ряд.
Поезда метро идут строго по расписанию. Интервал движения – шесть минут.
Составьте f(x) и F(x) случайной величины X – времени ожидания очередного поезда Найдите M(X), D(X).
- Случайная величина X – время ожидания очередного поезда – распределена по нормальному закону на отрезке [0;5], поэтому воспользуемся формулами
Вычислим математическое ожидание и дисперсию по формулам
- Случайная величина X – время ожидания очередного поезда – распределена равномерно на отрезке [0;6], поэтому воспользуемся формулами
Вычислим математическое ожидание и дисперсию по формулам
- Случайная величина X – время ожидания очередного поезда – распределена по нормальному закону на отрезке [0;6], поэтому воспользуемся формулами
Вычислим математическое ожидание и дисперсию по формулам
Проведено четыре измерения (без систематических ошибок) некоторой случайной величины (в мм): 8, 9, x3, 12. Несмещенная оценка математического ожидания равна 10. Найдите алгоритм нахождения выборочной дисперсии.
- Запишем формулу для вычисления выборочного среднего, приравняем его к математическому ожиданию, вычислим предварительно значение х3, вычисляем выборочную дисперсию.
- Вычислим предварительно значение х3, вычисляем выборочную дисперсию.
- Запишем формулу для вычисления генерального среднего, приравняем его к дисперсии, вычислим предварительно значение х3, вычисляем выборочную дисперсию.
- Запишем формулу для вычисления дисперсии, приравняем его к математическому ожиданию, вычислим предварительно значение х3, вычисляем выборочную дисперсию.
Рабочий обслуживает 3 станка, вероятности выхода из строя каждого из которых в течение часа соответственно равны 0,2; 0,15; 0,1. Что следует предпринять, чтобы составить закон распределения числа станков, не требующих ремонта в течение часа?
- Найти вероятности выхода из строя соответствующих станков в течение часа; найти вероятности их безотказной работы; используя теоремы сложения вероятностей несовместных событий и умножения независимых событий, составим закон распределения случайной величины X – числа станков, не требующих ремонта в течение часа.
- Найти вероятности выхода из строя соответствующих станков в течение часа; найти вероятности их безотказной работы; используя теоремы сложения вероятностей совместных событий и умножения независимых событий, составим закон распределения случайной величины X – числа станков, не требующих ремонта в течение часа.
- Найти вероятности выхода из строя соответствующих станков в течение часа; используя теоремы сложения вероятностей несовместных событий и умножения независимых событий, составим закон распределения случайной величины X – числа станков, не требующих ремонта в течение часа.
Случайная величина Х имеет нормальный закон распределения N [-1,2], известно, что X ∊ [-6,1].
Что следует предпринять, чтобы найти вероятность того, что X ∊ [-6,1]?
- Задано нормальное распределение: N (а; σ), параметры нормального распределения: а=М=-1, σ = 2. Вероятность попадания нормально распределенной СВ на заданный промежуток вычислим по формуле: P(α ≤ x ≤ β) = Ф((β–a)/σ) – Ф((α–a)/σ), где Ф x)– функция Лапласа, ее значения берут из таблиц. Если X ∊ [–1;6], то P{-6<x<1} = Ф(1) – Ф(–5,2) = Ф(1) + Ф(5,2)= 0,3413 + 0,4938 = 0,8351.
- Задано нормальное распределение: N (σ, a), параметры нормального распределения: а=М=2, σ =-1. Вероятность попадания нормально распределенной СВ на заданный промежуток вычислим по формуле: P(α ≤ x ≤ β) = Ф((β–a)/σ) – Ф((α–a)/σ), где Ф x)– функция Лапласа, ее значения берут из таблиц. Если X ∊ [–1;6], то P{-6<x<1} = Ф(1) – Ф(–5,2) = Ф(1) + Ф(5,2)= 0,3413 + 0,4938 = 0,8351.
- Задано нормальное распределение: N (σ, a), параметры нормального распределения: а=М=2, σ =-1+2=1. Вероятность попадания нормально распределенной СВ на заданный промежуток вычислим по формуле: P(α ≤ x ≤ β) = Ф((β–a)/σ) – Ф((α–a)/σ), где Ф x)– функция Лапласа, ее значения берут из таблиц. Если X ∊ [-1;6], то P{1<x<-6} = Ф(1) – Ф(–5,2) = Ф(1) + Ф(5,2)= 0,3413 + 0,4938 = 0,8351.
Случайная величина Х имеет нормальный закон распределения с параметрами a и σ², известно, что вероятности P(X<1)=0.5 и Р(-2<X<4)=0.9973
Что следует предпринять, чтобы найти параметры a и σ²?
- Используем формулу: 1) Используя формулу P(X<a)=0.5 находим математическое ожидание; 2) Согласно правилу трех сигм P(а-3 σ<X< a+3 σ)=2Ф(3)=0.9973 и P(-2<X<4)=0.9973 находим σ
- Используем формулу: 1) Используя теорему Чебышева P(X<a)=0.5 находим среднее квадратическое отклонение; 2) Согласно правилу трех сигм P(а-3 σ<X< a+3 σ)=2Ф(3)=0.9973 и P(-2<X<4)=0.9973 находим математическое ожидание
- Используем формулу: 1) Используя теорему Чебышева P(X< σ)=0.5 находим среднее квадратическое отклонение; 2) Согласно правилу трех сигм P(σ -3 a<X< σ +3 a)=2Ф(3)=0.9973 и P(-2<X<4)=0.9973 находим математическое ожидание
Требуется выбрать совместные события, если при подбрасывании игральной кости событие A = {выпало число очков, кратное трем}, событие B = {выпало число очков, кратное двум}, событие C = {выпало число очков, кратное пяти}, событие D = {выпало нечетное число очков}. Что следует предпринять, чтобы решить данную задачу?
- Найти события, которые могут наступить одновременно.
- Найти события, которые не могут наступить одновременно.
- Найти событие, которое не может наступить.
- Найти события, которые могут наступить.
Требуется найти вероятность того, что из 8 случайно выбранных для контроля студентов домашнюю работу сделали 6 человек, при условии, что на занятиях по теории вероятностей из 20 человек только 15 сделали домашнюю работу. Что следует предпринять, чтобы решить данную задачу?
- Вычислить требуемую вероятность по формуле P(A) = (C⁶₁₅·C²₅)/C⁸₂₀.
- Вычислить требуемую вероятность по формуле P(A) = (C²₁₅·C⁶₅)/C⁷₂₀.
- Вычислить требуемую вероятность по формуле P(A) = (C²₁₅·C⁶₅)/C⁴₂₀.
Требуется найти вероятность того, что наугад выбранный человек — дальтоник, если выбор производится из группы, содержащей равное число мужчин и женщин, причем известно, что 5% мужчин и 0.25% женщин — дальтоники. Что следует предпринять, чтобы решить данную задачу?
- Рассмотрим два события М = {выбран мужчина}, W = {выбрана женщина}. Так как в группе одинаковое число мужчин и женщин, то P {M} = P {W} = 1/2. Поэтому события M, W образуют полную группу. Среди мужчин 5% — дальтоники, то есть для события D = {выбранный человек дальтоник}, условная вероятность P {D | M} = 0.05. Аналогично Р {D | W} = 0.0025. Отсюда полная вероятность P {D} = 0.05 · 1 2 + 0.0025 · 1 2 = 0.02625.
- Рассмотрим два события М = {выбран мужчина}, W = {выбрана женщина}. Так как в группе одинаковое число мужчин и женщин, то P {M} =1/3 P {W} = 1/2. Поэтому события M, W образуют полную группу. Среди мужчин 5% — дальтоники, то есть для события D = {выбранный человек дальтоник}, условная вероятность P {D | M} = 0.05. Аналогично Р {D | W} = 0.0025. Отсюда полная вероятность P {D} = 0.05 · 1/3 + 0.0025 · 1/2 = 0.01825.
- Рассмотрим два события М = {выбран мужчина}, W = {выбрана женщина}. Так как в группе одинаковое число мужчин и женщин, то P {M} =1 P {W} = 1. Поэтому события M, W образуют полную группу. Среди мужчин 5% — дальтоники, то есть для события D = {выбранный человек дальтоник}, условная вероятность P {D | M} = 0.05. Аналогично Р {D | W} = 0.0025. Отсюда полная вероятность P {D} = 0.05 · 1 + 0.0025 · 1 = 0.0525.
Требуется найти у кого больше вероятность вытащить счастливый билет: у того, кто подошел первым, или у того, кто подошел вторым. Если среди 25 экзаменационных билетов имеется 5 счастливых и студенты подходят за билетами один за другим по очереди. Что следует предпринять, чтобы решить данную задачу?
- Вероятность события А = (второй студент вытащил счастливый билет} зависит от того, произошло или не произошло событие В = {первый студент вытащил счастливый билет}. Если произошло событие В, то среди 24 билетов осталось только 4 счастливых. Поэтому условная вероятность Р {А | В} = 4/24. Если же событие В не произошло, то осталось 5 счастливых билетов: Р {А | Bc} = 5/24. События В, Вс образуют полную группу событий. Их вероятности Р {В} = 5 /25 = 1/ 5, P {Bc} = 20/ 25 = 4/5. Следовательно, полная вероятность P{A}=4/24·1/5+5/24·4/5=24/120=1/5 т.е. совпадает с вероятностью события В.
- Вероятность события А = (второй студент вытащил счастливый билет} зависит от того, произошло или не произошло событие В = {первый студент вытащил счастливый билет}. Если произошло событие В, то среди 24 билетов осталось только 3 счастливых. Поэтому условная вероятность Р {А | В} = 3/24. Если же событие В не произошло, то осталось 5 счастливых билетов: Р {А | Bc} = 5/24. События В, Вс образуют полную группу событий. Их вероятности Р {В} = 5 /25 = 1/ 5, P {Bc} = 20/ 25 = 4/5. Следовательно, полная вероятность P{A} = 3/24 ·1/5 + 5/24·4/5 = 23/120 т.е. совпадает с вероятностью события A.
- Вероятность события А = (второй студент вытащил счастливый билет} зависит от того, произошло или не произошло событие В = {первый студент вытащил счастливый билет}. Если произошло событие В, то среди 24 билетов осталось только 3 счастливых. Поэтому условная вероятность Р {А | В} = 3/24. Если же событие В не произошло, то осталось 4 счастливых билетов: Р {А | Bc} = 5/24. События В, Вс образуют полную группу событий. Их вероятности Р {В} = 4 /25, P {Bc} = 21/ 25. Следовательно, полная вероятность P{A} = 3/24 ·4/25 + 5/24·21/25 = 0,195 т.е. вероятностью событий A и B одинаковы.
Требуется определить, сколькими способами можно выбрать дежурного и старосту из 18 учащихся класса. Что следует предпринять, чтобы решить данную задачу?
- Посчитать число сочетаний.
- Посчитать число размещений.
- Посчитать число перестановок.
- Посчитать дополнения.
Требуется определить, сколько различных пятизначных чисел можно составить из цифр 4, 5, 6, если четверка встречается один раз, пятерка– два раза, шестерка – два раза? Что следует предпринять, чтобы решить данную задачу?
- Посчитать число сочетаний с повторениями.
- Посчитать число размещений с повторениями.
- Посчитать число перестановок с повторениями.
- Посчитать дополнения с повторениями.
Файлы условия, демо
Характеристики ответов (шпаргалок) к зачёту
Учебное заведение
Семестр
Программы
Просмотров
174
Размер
814,86 Kb
Список файлов
ТВиМС. Тесты 1-10, итоговый, компетентностный.pdf

❓ Как копировать вопросы во время теста в Синергии?

Каждая купленная работа – это шаг к вашей успешной сдаче и мой стимул делать ещё лучше. Вместе мы создаём круговорот добра в учебе 🥰
Комментарии

Отзыв
все понравилось