Для студентов МГТУ им. Н.Э.Баумана по предмету Теория функций комплексного переменного (ТФКП)Операционное исчислениеОперационное исчисление
5,0052
2023-02-012023-02-01СтудИзба
ТФКП операционное исчисление типовое дз 7 вариант см 7
ДЗ 2: Операционное исчисление вариант 7
Описание
курс ТФКП типовое дз по операционному исчислению, сдано Яковлеву, 7 вариант, факультет СМ.
1. Пользуясь теоремами интегрирования изображения оригинала найти изображения заданных функций
2. Пользуясь теоремой свёртывания найти оригинал из заданных функций, для отыскивания оригиналов в остальных использовать полученный результат, либо теорему дифференцирования, либо теорему интегрирования оригинала.
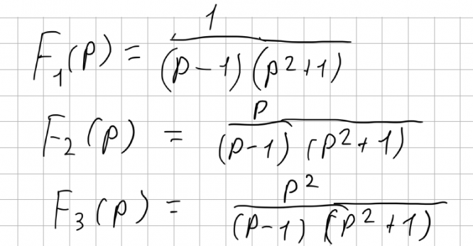
3. При помощи обобщений (третьей ) теоремы разложения найти оригиналы заданных функций, ответ проверить, пользуясь второй теоремой разложения
4. Найти изображения заданных ниже при помощи чертежей периодических функций
Показать/скрыть дополнительное описание
1. Пользуясь теоремами интегрирования изображения оригинала найти изображения заданных функций


2. Пользуясь теоремой свёртывания найти оригинал из заданных функций, для отыскивания оригиналов в остальных использовать полученный результат, либо теорему дифференцирования, либо теорему интегрирования оригинала.

3. При помощи обобщений (третьей ) теоремы разложения найти оригиналы заданных функций, ответ проверить, пользуясь второй теоремой разложения


Показать/скрыть дополнительное описание
курс ТФКП типовое дз по операционному исчислению, сдано Яковлеву, 7 вариант, факультет СМ. 1. Пользуясь теоремами интегрирования изображения оригинала найти изображения заданных функций 2. Пользуясь теоремой свёртывания найти оригинал из заданных функций, для отыскивания оригиналов в остальных использовать полученный результат, либо теорему дифференцирования, либо теорему интегрирования оригинала. 3. При помощи обобщений (третьей ) теоремы разложения найти оригиналы заданных функций, ответ проверить, пользуясь второй теоремой разложения 4. Найти изображения заданных ниже при помощи чертежей периодических функций.
Характеристики домашнего задания
Учебное заведение
Семестр
Номер задания
Вариант
Теги
Просмотров
135
Качество
Скан печатных листов
Размер
6,2 Mb
Список файлов
ТФКП дз 3 Операционное исчисление.pdf

Буду благодарен вашим отзывам)