Для студентов МГТУ им. Н.Э.Баумана по предмету Кратные интегралы и рядыЧисловые рядыЧисловые ряды
5,00525
2015-04-132024-09-10СтудИзба
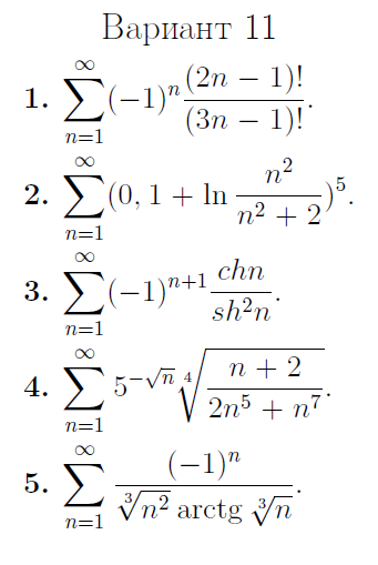
ДЗ 3.1: Числовые ряды вариант 11
-62%
Описание

Характеристики домашнего задания
Предмет
Учебное заведение
Семестр
Номер задания
Вариант
Программы
Просмотров
2618
Качество
Идеальное компьютерное
Размер
405,5 Kb
Список файлов
Числовые ряды.doc

Вам все понравилось? Получите кэшбэк - 40 рублей на Ваш счёт при покупке. Поставьте оценку и напишите положительный комментарий к купленному файлу. После Вы получите деньги на ваш счет.