Для студентов МГТУ им. Н.Э.Баумана по предмету Кратные интегралы и рядыКратные и криволинейные интегралыКратные и криволинейные интегралы
5,00514
2020-10-162024-09-04СтудИзба
Вариант 11 - Дз-1 "Кратные и криволинейные интегралы"
ДЗ 1: Кратные и криволинейные интегралы вариант 11
-43%
Описание
Типовой расчет по математическому анализу №1, 7 задач: "Кратные и криволинейные интегралы", зачтено
Условие:
Задача 1:
Задача 2:
Задача 3:
Задача 4:
Задача 5:
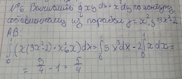
Задача 6:
Задача 7:
Показать/скрыть дополнительное описание
Условие:








Типовой расчет по математическому анализу МГТУ 3 семестр домашнее задание кратные криволинейные поверхностные интегралы теория поля ряды.
Характеристики домашнего задания
Предмет
Учебное заведение
Семестр
Номер задания
Вариант
Просмотров
224
Качество
Фото рукописных листов
Размер
2,49 Mb
Список файлов
Вариант 11 КИ 686.pdf

Спасибо за покупку! Я буду очень рад, если поставишь справедливую оценку купленному файлу :3 Ищи больше работ в моём профиле, там много нужного тебе!