Для студентов ТулГУ по предмету СтроительствоЖелезобетонные и каменные конструкции, пространственные несущие системыЖелезобетонные и каменные конструкции, пространственные несущие системы
5,0051
2025-06-212025-06-23СтудИзба
☀️Железобетонные и каменные конструкции, пространственные несущие системы | ТУлГУ сборник ответов на все тесты☀️
Ответы к заданиям Ответы на тесты: Железобетонные и каменные конструкции, пространственные несущие системы
-29%
Описание
▶️ Ответы на все тесты (жми на текст) 😎 ◀️
▶️ Готовые лабораторные работы, практические задания, услуги (жми на текст)🔥◀️
Ответы к дисциплине Железобетонные и каменные конструкции, пространственные несущие системы , ответы за все три семестра для ТулГУ, помогут при сдаче экзамена/итоговой аттестации или зачёта :)
Для поиска нужного вопроса, воспользуйтесь поиском ниже
‼️ Ответы могут подойти к другим похожим дисциплинам, проверяйте по вопросам‼️ Показать/скрыть дополнительное описание
▶️ Готовые лабораторные работы, практические задания, услуги (жми на текст)🔥◀️
Ответы к дисциплине Железобетонные и каменные конструкции, пространственные несущие системы , ответы за все три семестра для ТулГУ, помогут при сдаче экзамена/итоговой аттестации или зачёта :)
Для поиска нужного вопроса, воспользуйтесь поиском ниже
‼️ Ответы могут подойти к другим похожим дисциплинам, проверяйте по вопросам‼️ Показать/скрыть дополнительное описание
Железобетонные и каменные конструкции, пространственные несущие системы ТулГУ ответы на тест зачёт экзамен итоговая аттестация.
Список вопросов
На каком рисунке изображена ребристая плита без предварительного напряжения арматуры?
![]()

Как классифицируются железобетонные фундаменты по конструктивным признакам?
Как классифицируются плоские железобетонные перекрытия?
Как определить высоту первой ступени отдельного центрально загруженного фундамента под колонну?
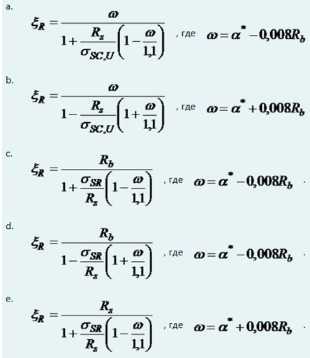
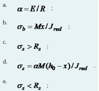
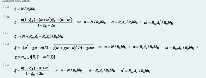
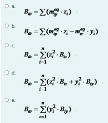
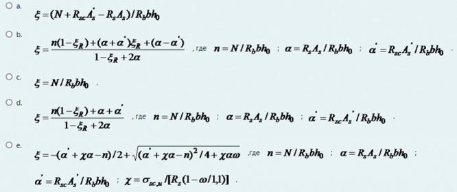
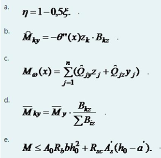
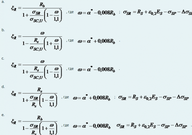
Как определить граничную относительную высоту сжатой зоны бетона для ненапрягаемых ЖБК?
![]()

Как определить длину анкеровки продольных рабочих стержней, обрываемых в пролете при наличии в изгибаемой ЖБК, имеющей поперечные стержни?
Как определить расчетные сопротивления бетона, зная нормативные характеристики?
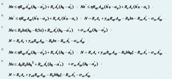
Какие расчетные условия прочности необходимы при расчете нормального сечения для элементов прямоугольного профиля с двойным ненапрягаемым армированием при ξ ≤ ξR и при x > 0 (задачи проверки прочности)?
Какие стадии напряженно-деформированного состояния проходят изгибаемые ЖБК?
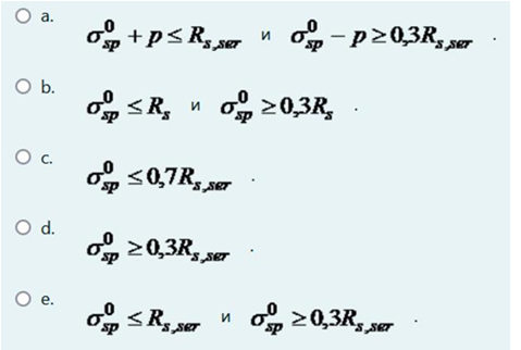
Какие требования предъявляются к ЖБК по трещиностойкости и сколько категорий трещиностойкости известно?
Выберите один ответ:
Выберите один ответ:
Какую цель преследуют при расчете по второй группе предельных состояний?
Какую цель преследуют при расчете по первой группе предельных состояний?
Как определить эксцентриситет приложения усилия предварительного обжатия бетона при наличие продольной ненапрягаемой и предварительно напряженной арматуры в сжатой и в растянутой от эксплуатационной нагрузки зоне бетона?
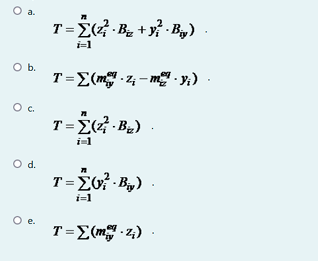
Как определить ядровое расстояние для внецентренно сжатых и изгибаемых ЖБ элементов с учетом предварительного напряжения арматуры?
Как определить ядровый момент обжатия сечения ЖБК от усилия предварительного обжатия Р?
Как определить ядровый момент от внешних нагрузок преднапряженного внецентренно растянутого ЖБ элемента?
Как определить ядровый момент от внешних нагрузок преднапряженного внецентренно сжатого ЖБ элемента?
Как определить ядровый момент от внешних нагрузок преднапряженного изгибаемого ЖБ элемента?
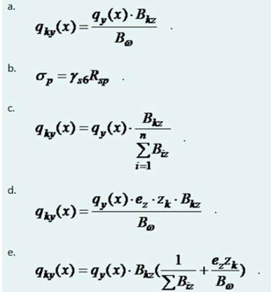
Как определяются напряжения в предварительно напряженной арматуре, установленной в сжатой зоне изгибаемой ЖБК?
Как определяется максимально допустимый шаг поперечных стержней в изгибаемых ЖБК?
Как определяется упругая характеристика кладки, если E₀ – модуль упругости кладки; Ru – временное сопротивление кладки сжатию; εb = εb,u расчетное сопротивление кладки сжатию; E – модуль деформации кладки?
![]()

Как ориентировочно определить высоту сечения сборной пустотной плиты без предварительного напряжения арматуры с учетом требований жесткости?
Как ориентировочно определить высоту сечения сборной пустотной плиты с предварительным напряжением арматуры с учетом требований жесткости?
Как ориентировочно определить высоту сечения сборной ребристой плиты без предварительного напряжения арматуры с учетом требований жесткости?
Как ориентировочно определить высоту сечения сборной ребристой плиты с предварительным напряжением арматуры с учетом требований жесткости?
Как проверить прочность каменных стен на главные растягивающие напряжения при наличии растянутой части сечения?
Как проверить прочность каменных стен на главные растягивающие напряжения при отсутствии растянутой части сечения?
Как проверить прочность центрально растянутых ЖБК без предварительного напряжения арматуры?
Как распределяются усилия от вертикальных нагрузок между колоннами и стенкой каркасной диафрагмы?
Как уточнить прогиб диафрагмы с учетом переменной жесткости сечений?
Какая наружная стеновая панель изображена на рисунке?
![]()

Какая наружная стеновая панель изображена на рисунке?
![]()

Какая наружная стеновая панель изображена на рисунке?
![]()

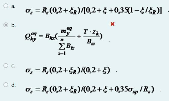
Какая общая формула для определения напряжений в преднапряженной и ненапрягаемой арматуры, установленной в растянутой зоне бетона, рекомендована последней редакцией СниП2.03.01-84*, утвержденными в 1996 году при ξ > ξR?
Какая расчетная длина сжатого каменного элемента принимается при следующем закреплении на опорах? h₀ = –0,25(hcol + bcol) + 0,5 √Ncol,n/(Rb+Pef)
![]()

Какая расчетная длина сжатого каменного элемента принимается при следующем закреплении на опорах?
![]()

Какая расчетная длина сжатого каменного элемента принимается при следующем закреплении на опорах?
![]()

Какая расчетная схема используется в кинематическом способе метода расчета статически неопределимой ЖБ балки жестко защемленной на двух опорах по предельному равновесию, загруженной в пролете сосредоточенной силой?
![]()

Какая расчетная схема используется в статическом способе метода расчета статически неопределимой ЖБ балки жестко защемленной на двух опорах по предельному равновесию, загруженной в пролете сосредоточенной силой?
![]()

Какая стадия работы сжатой кладки изображена на рисунке?
Какая стадия работы сжатой кладки изображена на рисунке?
![]()

Какая стадия работы сжатой кладки изображена на рисунке?
![]()

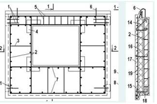
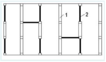
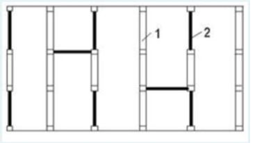
Какие виды арматуры в балке и какими номерами обозначены?
![]()

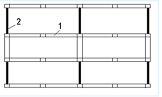
Какие виды каменной кладки применяются для несущих стен?
Какие виды нагрузок приняты при расчете ЖБК по предельным состояниям?
Какие виды силовых деформаций различают для бетона?
Какие гипотезы используются при расчете изгибаемых элементов по разрушающим нагрузкам?
Какие гипотезы принимаются при расчете диафрагмовой системы?
Какие группы предельных состояний приняты при проектировании ЖБК?
Какие дополнительные гипотезы принимаются при расчете ядро-диафрагмовой по сравнению с диафрагмовой?
Какие допущения принимаются при расчете ЖБК в общем случае по допускаемым напряжениям?
Какие классы арматуры имеют физический предел упругости?
Какие классы арматуры не имеют физического предела упругости?
Какие классы арматуры подвергаются предварительному напряжению?
Какие классы бетона приняты в СниП2.03.01-84*?
Какие марки бетона приняты в СниП2.03.01-84*?
Какие напряжения в сжатой кладке соответствуют первой стадии работы?
Какие напряжения в сжатой кладке соответствуют второй стадии работы?
Какие напряжения в сжатой кладке соответствуют третьей стадии работы?
![]()

Какие напряжения в сжатой кладке соответствуют четвертой стадии работы?
Какие по форме применяются отдельные железобетонные фундаменты под колонны?
Какие прочностные характеристики арматуры приняты как расчетные по первой группе предельных состояний первой группы?
Какие прочностные характеристики бетона приняты как нормативные?
Какие растворы применяются для кладки стен?
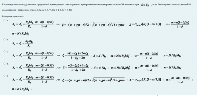
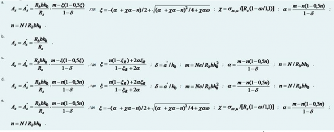
Какие расчетные условия прочности необходимы при расчете нормального сечения для элементов прямоугольного профиля с двойным смешенным армированием при ξ ≤ ξR и при x > 0 (задачи проверки прочности)?
Какие расчетные условия прочности необходимы при расчете нормального сечения для элементов прямоугольного профиля с двойным смешенным армированием при ξ ≤ ξR и при x ≤ 0 (задачи проверки прочности)?
Какие расчетные условия прочности необходимы при расчете нормального сечения для элементов прямоугольного профиля с двойным смешенным армированием при ξ ≤ ξR и при x > 0 (задачи расчета площади арматуры)?
Какие расчетные условия прочности необходимы при расчете нормального сечения для элементов прямоугольного профиля с одиночным смешенным армированием при ξ ≤ ξR (задачи расчета площади сечения продольной арматуры)?
Какие расчетные условия прочности необходимы при расчете нормального сечения для элементов прямоугольного профиля с одиночным смешенным армированием при ξ ≤ ξR (задачи проверки прочности)?
Какие расчетные условия прочности необходимы при расчете нормального сечения для элементов прямоугольного профиля с одиночным смешенным армированием при ξ > ξR (задачи проверки прочности)?
Какие расчетные условия прочности необходимы при расчете нормального сечения для элементов прямоугольного профиля с одиночным смешенным армированием при ξ > ξR (задачи проверки прочности), если в качестве напрягаемой арматуры используется арматура класса А-IIIв?
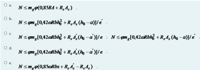
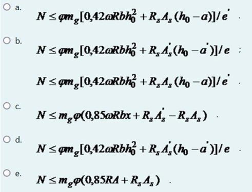
Какие расчетные условия прочности необходимы при расчете нормального сечения для элементов прямоугольного профиля с двойным ненапрягаемым армированием при ξ > ξR (задачи проверки прочности)?
Какие расчетные условия прочности необходимы при расчете нормального сечения для элементов прямоугольного профиля с двойным ненапрягаемым армированием при ξ ≤ ξR и при x ≤ 0 (задачи проверки прочности)?
Какие расчетные условия прочности необходимы при расчете нормального сечения для элементов прямоугольного профиля с одиночным ненапрягаемым армированием при ξ ≤ ξR (задачи проверки прочности)?
Какие расчетные условия прочности необходимы при расчете нормального сечения для элементов прямоугольного профиля с одиночным ненапрягаемым армированием при ξ ≤ ξR (задачи расчета площади сечения продольной арматуры)?
Какие расчетные условия прочности необходимы при расчете нормального сечения для элементов прямоугольного профиля с одиночным ненапрягаемым армированием при ξ > ξR (задачи проверки прочности)?
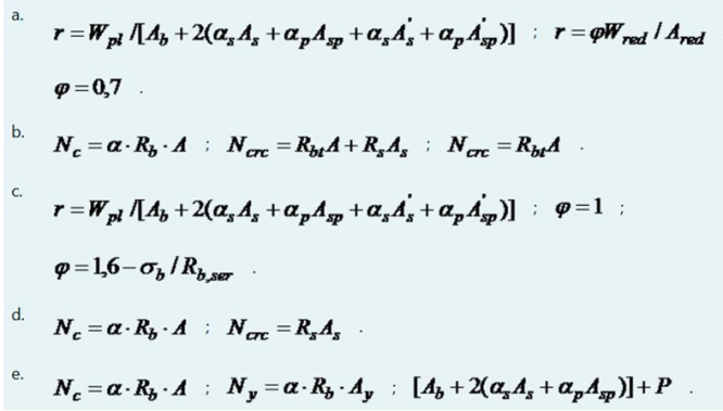
Какие расчетные формулы используются при расчете прочности нормальных сечений изгибаемых ЖБК при расчете по разрушающим нагрузкам?
Какие способы создания предварительного напряжения и натяжения арматуры используются при изготовлении преднапряженных ЖБК?
Какие стадии напряженно-деформированного состояния проходят центрально растянутые ЖБК?
Какие стадии напряженно-деформированного состояния проходят центрально сжатые ЖБК?
Какие типы размеров строительных конструкций предусматривает единая модульная система?
Какие типы связей сдвига принимаются в расчетных моделях диафрагмовых системах?
Какие три эталонных вида прочности приняты при проектировании ЖБК?
Какие формулы используются при проверке прочности таврового сечения с сжатой полкой изгибаемых ЖБК, если нейтральная ось проходит полке при ξ ≤ ξR?
Какие формулы используются при проверке прочности таврового сечения с сжатой полкой изгибаемых ЖБК со смешенным одиночным армированием, если нейтральная ось проходит в ребре при ξ ≤ ξR?
Какие формулы используются при проверке прочности таврового сечения с сжатой полкой изгибаемых ЖБК со смешенным одиночным армированием, если нейтральная ось проходит полке при ξ ≤ ξR?
Какие формулы используются, чтобы определить коэффициент, учитывающий влияние увеличения начального эксцентриситета приложения сжимающей продольной силы во внецентренно сжатых ЖБК η?
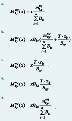
Какие формулы используются, чтобы определить положение нейтральной оси таврового сечения изгибаемых ЖБК с сжатой полкой при проверке несущей способности?
Характеристики ответов (шпаргалок) к заданиям
Тип
Коллекция: Ответы (шпаргалки) к заданиям
Предмет
Учебное заведение
Номер задания
Теги
Просмотров
30
Качество
Идеальное компьютерное
Количество вопросов

📚Помощь в сдаче любых видов работ✒️Более 6000 готовых студенческих работ и тестов для НСПК, ОСЭК, НИИДПО, НАДПО и других ВУЗов👨🏫Гарантирую результат или полностью верну деньги!✅💰