Ответ на вопрос по строительству №740534: Какие расчетные условия используются при расчете прочности наклонных сечений на действие наклонных сжимающих напряжений? Q ≤ φfφb2Rbbh₀, где φf = 0,75(b`f – b) h`f/bh₀ ≤ 0,5; α = Es/Eb; μw = Asw/bS; b`f ≤ b + 3h`f; φb2 = 2. Q ≤ φb3(1+φf+φn)Rbtbh₀, где φb3 = 0,6; φf = 0,75(b`f – b) h`f/bh₀ ≤ 0,5; b`f ≤ b + 3h`f; φn = 0,1N/Rbtbh₀ ≤ 0,5. Q ≤ φfφb1Rbbh₀, где φf =Какие расчетные условия используются при расчете - Ответ на вопрос по строительству №740534Какие расчетные условия используются при расчете - Ответ на вопрос по строительству №740534
2025-06-222025-06-22СтудИзба
Какие расчетные условия используются при расчете - Ответ на вопрос по строительству №740534
Вопрос
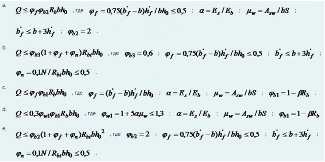
Какие расчетные условия используются при расчете прочности наклонных сечений на действие наклонных сжимающих напряжений?- Q ≤ φfφb2Rbbh₀, где φf = 0,75(b`f – b) h`f/bh₀ ≤ 0,5; α = Es/Eb; μw = Asw/bS; b`f ≤ b + 3h`f; φb2 = 2.
- Q ≤ φb3(1+φf+φn)Rbtbh₀, где φb3 = 0,6; φf = 0,75(b`f – b) h`f/bh₀ ≤ 0,5; b`f ≤ b + 3h`f; φn = 0,1N/Rbtbh₀ ≤ 0,5.
- Q ≤ φfφb1Rbbh₀, где φf = (b`f – b) h`f/bh₀; α = Es/Eb; μw = Asw/bS; φb1 = 1 – βRb.
- Q ≤ 0,3φw1φb1Rbbh₀, где φw1 = 1 + 5αμw ≤ 1,3; α = Es/Eb; μw =Asw/bS; φb1 = 1 – βRb.
- Q ≤ φb2(1+φf+φn)Rbtbh₀², где φb2 = 2; φf = 0,75(b`f – b) h`f/bh₀ ≤ 0,5; b`f ≤ b + 3h`f; φn = 0,1N/Rbtbh₀ ≤ 0,5.
Ответ
Этот вопрос в коллекциях
-29%

📚Помощь в сдаче любых видов работ✒️Более 6000 готовых студенческих работ и тестов для НСПК, ОСЭК, НИИДПО, НАДПО и других ВУЗов👨🏫Гарантирую результат или полностью верну деньги!✅💰


















