Для студентов МГТУ им. Н.Э.Баумана по предмету Оптимальное управление многообъектными многокритериальными системами (ОУММС)Равновесно-арбитражная балансировка каналов двухканальной системы стабилизации летательного аппарата (V = 800)Равновесно-арбитражная балансировка каналов двухканальной системы стабилизации летательного аппарата (V = 800)
4,90547525
2021-05-162024-09-03СтудИзба
Курсовая работа: Равновесно-арбитражная балансировка каналов двухканальной системы стабилизации летательного аппарата (V = 800)
-41%
Описание
ВВЕДЕНИЕ
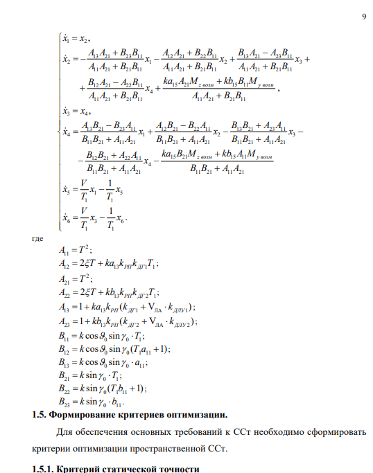
Комбинирование подходов теории игры и классической теории управления позволяет при проектировании многообъектных многокритериальных системах (ММС) учитывать факторы несогласованности (конфликтности) и неопределенности различного характера, поэтому данный подход составляет основу теории оптимизации управления ММС. Методы данной теории применяются для векторной оптимизации структурно-сложных систем, в которых требуется получить векторно-оптимальное управление, обеспечить межобъектную устойчивость или балансировку подсистем в структуре по эффективности или потерям. В данной работе рассматривается задача параметрического синтеза двухканальной системы стабилизации (ССт) в продольной и боковой плоскостях с учётом перекрёстных связей каналов статически устойчивого летательного аппарата нормальной аэродинамической схемы.
Комбинирование подходов теории игры и классической теории управления позволяет при проектировании многообъектных многокритериальных системах (ММС) учитывать факторы несогласованности (конфликтности) и неопределенности различного характера, поэтому данный подход составляет основу теории оптимизации управления ММС. Методы данной теории применяются для векторной оптимизации структурно-сложных систем, в которых требуется получить векторно-оптимальное управление, обеспечить межобъектную устойчивость или балансировку подсистем в структуре по эффективности или потерям. В данной работе рассматривается задача параметрического синтеза двухканальной системы стабилизации (ССт) в продольной и боковой плоскостях с учётом перекрёстных связей каналов статически устойчивого летательного аппарата нормальной аэродинамической схемы.




Характеристики курсовой работы
Учебное заведение
Семестр
Просмотров
8
Размер
1,33 Mb
Список файлов
Равновесно-арбитражная балансировка каналов двухканальной системы стабилизации летательного аппарата (v = 800).pdf

Друзья, спасибо за доверие! Если вам понравилась работа – поставьте 5⭐ и напишите отзыв. Это поможет другим студентам, а мне даст силы делать ещё больше качественных материалов для вас 🔥