Для студентов МГТУ им. Н.Э.Баумана по предмету ФизикаДинамика материальной точкиДинамика материальной точки
5,0054
2023-02-072024-11-27СтудИзба
Услуга: Динамика материальной точки
-55%
Описание
Решение Дз № 1 - Динамика материальной точки для всех вариантов (1-20) 🔥 ⚡
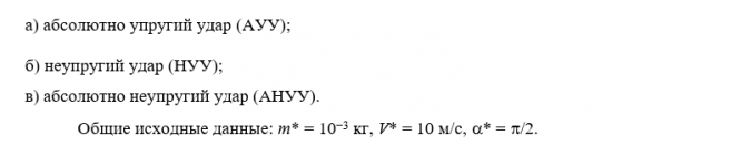
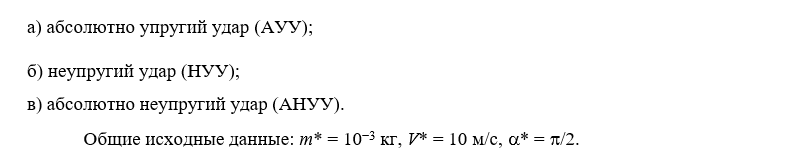
Вариант 1-10





Характеристики домашнего задания
Предмет
Учебное заведение
Семестр
Номер задания
Программы
Просмотров
203
Качество
Идеальное компьютерное
Срок выполнения
1 суток

Ваше удовлетворение является нашим приоритетом, если вы удовлетворены нами, пожалуйста, оставьте нам 5 ЗВЕЗД и позитивных комментариев. Спасибо большое!. Смотрите файлы в моем профиле, там есть много полезных !