Для студентов СПбПУ Петра Великого по предмету Общая теория связи (ОТС)Задана дискретная последовательность независимых случайных величинЗадана дискретная последовательность независимых случайных величин
5,0053170
2024-04-202024-04-20СтудИзба
ДЗ 9: Задана дискретная последовательность независимых случайных величин вариант 24
Описание
Задана дискретная последовательность независимых случайных величин, имеющих Гауссовское распределение с нулевым средним и единичной дисперсией.
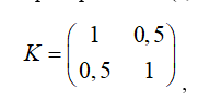
а) Сформировать последовательность пар случайных величин, имеющих совместное Гауссовское распределение с вектором средних a = (0, 1) и ковариационной матрицей
нанести на плоскость соответствующее облако точек и линию регрессии.
б) Сформировать последовательность коррелированных Гауссовских случайных величин с корреляционной функцией
![]()
а) Сформировать последовательность пар случайных величин, имеющих совместное Гауссовское распределение с вектором средних a = (0, 1) и ковариационной матрицей

б) Сформировать последовательность коррелированных Гауссовских случайных величин с корреляционной функцией

Характеристики домашнего задания
Предмет
Учебное заведение
Номер задания
Вариант
Просмотров
2
Качество
Идеальное компьютерное
Размер
127,36 Kb
Список файлов
Задание №9.docx

Если нужен другой вариант работы или отдельная задача из любой работы, пишите в комментарии