Для студентов СПбПУ Петра Великого по предмету Общая теория связи (ОТС)Совместная плотность вероятности совокупности трех случайных величинСовместная плотность вероятности совокупности трех случайных величин
5,0053326
2024-04-202024-04-20СтудИзба
ДЗ 7: Совместная плотность вероятности совокупности трех случайных величин вариант 24
Описание
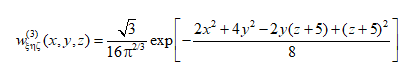
Совместная плотность вероятности совокупности трех случайных величин ξ, η и ζ имеет вид
Построить корреляционную матрицу случайных величин ξ, η и ζ.

Характеристики домашнего задания
Предмет
Учебное заведение
Номер задания
Вариант
Просмотров
1
Качество
Идеальное компьютерное
Размер
35,15 Kb
Список файлов
Задание №7.docx

Если нужен другой вариант работы или отдельная задача из любой работы, пишите в комментарии