Для студентов ТПУ по предмету МатематикаМатематикаМатематика
5,0054151
2026-02-16СтудИзба

Ответы к заданиям: Математика

Новинка

Описание

Ответы на тесты 1-14 по курсу Математика 2.6 / ДОФ ТПУ

Список вопросов

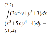
Вычислите криволинейный интеграл по кривой L от точки A(-1,-4) до точки B(2,2)
Выразите криволинейный интеграл по замкнутому контуру С через двойной интеграл по области D, ограниченной контуром С
Запишите криволинейный интеграл 1 типа по контуру треугольника АВС, где
A(5,5);
B(5;8);
C(6;5)
в координатной форме
Запишите криволинейный интеграл 1 типа по контуру треугольника АВС, где
A(-4,-4);
B(-4;1);
C(-3;-4)
в координатной форме
Вычислите криволинейный интеграл по кривой L от точки A(-1,1) до точки B(0,1)
Вычислите криволинейный интеграл по прямой l: y=2x+3 от точки M1(1;7) до точки M2(-1;8) :
Найдите точку М0(х0; у0) такую, что
∫Lxds=f(M0)l, если L – отрезок прямой, заключённый между точками A(−4; 0) и B(0; 7);
Укажите определённый интеграл, которому равен криволинейный интеграл ∫Lz2dsx2+y2, если L: x = 3cost, y = 3sint, z = 3t, 0 ≤ t ≤ π.
Вычислите криволинейный интеграл по кривой L от точки A(-2,-2) до точки B(4,3)
Выразите криволинейный интеграл по замкнутому контуру С через двойной интеграл по области D, ограниченной контуром С
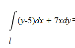
Перейти от криволинейного интеграла ∫y(x-y)dx+xdy по линии y=2x от точки A(0;0) до точки B(1;2) к определенному интегралу
Запишите криволинейный интеграл 1 типа по контуру треугольника АВС, где
A(4,4);
B(4;5);
C(5;4)
в координатной форме
Вычислите интеграл
Расставить пределы интегрирования и вычислить двойной интеграл. Выберите порядок интегрирования, при котором область D является правильной.
Найти двойной интеграл от функции z=x⋅y⋅cos(x2⋅y) по области
Область интегрирования D ограничена линиями
x = 0, y = 0, 10⋅y+3⋅x=30.
Выберите порядок интегрирования и расставьте пределы
Написать уравнение касательной плоскости к поверхности в точке M0(−1;1;2).
Уравнение касательной плоскости:
Написать уравнение касательной плоскости к поверхности в точке M0(−1;1;3).
Уравнение касательной плоскости:
Запишите достаточные условия для функции z = –x3 – y2 + xy + y + 10 в стационарной точке М(1/2; 3/4).
Сделайте вывод: в точке М(1/2; 3/4) функция
Для функции z = z(x, y) известно . Тогда точка М
Выберите один или несколько ответов:
Запишите формулу Тейлора для функции z=(x+1)3⋅ln(y+4) в окрестности точки M(0;−3) до 2-го порядка включительно.
Запишите первый и второй дифференциал в точке
Запишите разложение Тейлора
Существует функция z = f(x, y) такая, что и .
Выберите один ответ:
Найдите градиент скалярного поля и максимальную скорость изменения поля в
Найдите частные производные функции z=f(x;y) заданной неявно
Запишите первый и второй дифференциал для функции
Найдите частную производную функции

Найдите все частные производные функции u=−z2−y2⋅z+e4⋅y⋅(4⋅x−z) до 2-го порядка включительно
Запишите дифференциал функции в произвольной точке.

Найдите частные производные z′x(u;v) и z′y(u;v) сложной функции
Найдите частные производные функции
Найдите частные производные функции
Найдите частные производные функции
Запишите уравнение линии уровня функции z=−2⋅x⋅y+y+x2−5 проходящей через точку M0=(−2;−1)
Уравнение линии уровня
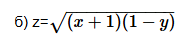
Для функции z=z(x;y) областью определения является множество точек плоскости

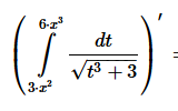
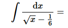
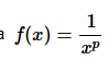
Исследуйте интеграл на сходимость
Найдите эквивалентную функцию вида f(x)=1xp и укажите показатель
Сделайте вывод относительно сходимости или расходимости интеграла.
Если интеграл сходится, введите "convergent", если расходится, введите "divergent".
Укажите несобственные интегралы
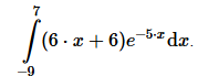
Вычислить интеграл И вычислите его:
Фигура, ограниченная параболой y=28−x2, прямой y=3⋅x и осью OY (x>0), вращается вокруг оси абсцисс. Найдите объем тела вращения.
Запишите формулу вычисления объема тела вращения И вычислите его:
Вычислите длину дуги симметричной половины кардиоиды: r=4⋅(cos(f)+1)
Запишите формулу вычисления длины дуги (переменную интегрирования обозначьте f ) И вычислите ее:
Вычислите длину дуги петли:
Запишите формулу вычисления длины дуги И вычислите ее:
Вычислите площадь фигуры, ограниченной линиями:
y(x)=4⋅x+5
y(x)=x2+x+1
Запишите формулу для вычисления площади И вычислите её:
Криволинейная трапеция с основанием [0; 3] ограничена линией y = 4–x2. Укажите интеграл, который выражает её площадь.
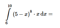
Вычислить определенный интеграл
Сделайте замену t=5−x в интеграле
И вычислите его:
Вычислить определенный интеграл
Вычислить определенный интеграл
Сделайте замену t=8−x в интеграле
И вычислите его:
Вычислить определенный интеграл
Решите уравнение ∫0x(3t2−1)dt=0.
(если корней несколько, запишите их в порядке возрастания, разделяя знаком ; без пробелов)
Дано: limx→0∫06⋅xcos(4⋅t2)dt6⋅x
Укажите тип неопределенности:
числитель стремится к
знаменатель стремится к
и найдите

Найти среднее значение функции y(x)=−4⋅x−−√+9x−−√на отрезке [ 3;4 ].
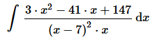
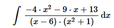
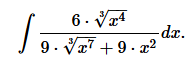
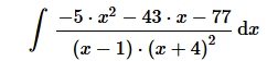
Найти интеграл

Найти интеграл
Найти интеграл
Найти интеграл

Найти интеграл

Найти интеграл
Найти интеграл

Найти интеграл

Найти интеграл
Найти интеграл
Найти интеграл

Найти интеграл

Найти интеграл
Найти интеграл
Найти интеграл
Найти интеграл
Найти интеграл
Найти интеграл
Найти интеграл
Найти интеграл
Найти интеграл
Найти интеграл
Найти интеграл
Найти интеграл
Найти интеграл
Найти интеграл
Найти интеграл
Найти интеграл
Найти интеграл
Найти интеграл
Найти интеграл
Найти интеграл
Найти интеграл
Найти интеграл
Найти интеграл

Характеристики ответов (шпаргалок) к заданиям

Тип
Предмет
Учебное заведение
Семестр
Просмотров
1
Качество
Идеальное компьютерное
Количество вопросов
Картинка-подпись
Если нужен другой вариант работы или отдельная задача из любой работы, пишите в комментарии

Комментарии

Нет комментариев
Стань первым, кто что-нибудь напишет!
Поделитесь ссылкой:
Цена: 240 руб.
Расширенная гарантия +3 недели гарантии, +10% цены
Рейтинг автора
5 из 5
Поделитесь ссылкой:
Сопутствующие материалы

Подобрали для Вас услуги

-17%
Вы можете использовать полученные ответы для подготовки к экзамену в учебном заведении и других целях, не нарушающих законодательство РФ и устав Вашего учебного заведения.
Свежие статьи
Популярно сейчас
Как Вы думаете, сколько людей до Вас делали точно такое же задание? 99% студентов выполняют точно такие же задания, как и их предшественники год назад. Найдите нужный учебный материал на СтудИзбе!
Ответы на популярные вопросы
Да! Наши авторы собирают и выкладывают те работы, которые сдаются в Вашем учебном заведении ежегодно и уже проверены преподавателями.
Да! У нас любой человек может выложить любую учебную работу и зарабатывать на её продажах! Но каждый учебный материал публикуется только после тщательной проверки администрацией.
Вернём деньги! А если быть более точными, то автору даётся немного времени на исправление, а если не исправит или выйдет время, то вернём деньги в полном объёме!
Да! На равне с готовыми студенческими работами у нас продаются услуги. Цены на услуги видны сразу, то есть Вам нужно только указать параметры и сразу можно оплачивать.
Отзывы студентов
Ставлю 10/10
Все нравится, очень удобный сайт, помогает в учебе. Кроме этого, можно заработать самому, выставляя готовые учебные материалы на продажу здесь. Рейтинги и отзывы на преподавателей очень помогают сориентироваться в начале нового семестра. Спасибо за такую функцию. Ставлю максимальную оценку.
Лучшая платформа для успешной сдачи сессии
Познакомился со СтудИзбой благодаря своему другу, очень нравится интерфейс, количество доступных файлов, цена, в общем, все прекрасно. Даже сам продаю какие-то свои работы.
Студизба ван лав ❤
Очень офигенный сайт для студентов. Много полезных учебных материалов. Пользуюсь студизбой с октября 2021 года. Серьёзных нареканий нет. Хотелось бы, что бы ввели подписочную модель и сделали материалы дешевле 300 рублей в рамках подписки бесплатными.
Отличный сайт
Лично меня всё устраивает - и покупка, и продажа; и цены, и возможность предпросмотра куска файла, и обилие бесплатных файлов (в подборках по авторам, читай, ВУЗам и факультетам). Есть определённые баги, но всё решаемо, да и администраторы реагируют в течение суток.
Маленький отзыв о большом помощнике!
Студизба спасает в те моменты, когда сроки горят, а работ накопилось достаточно. Довольно удобный сайт с простой навигацией и огромным количеством материалов.
Студ. Изба как крупнейший сборник работ для студентов
Тут дофига бывает всего полезного. Печально, что бывают предметы по которым даже одного бесплатного решения нет, но это скорее вопрос к студентам. В остальном всё здорово.
Спасательный островок
Если уже не успеваешь разобраться или застрял на каком-то задание поможет тебе быстро и недорого решить твою проблему.
Всё и так отлично
Всё очень удобно. Особенно круто, что есть система бонусов и можно выводить остатки денег. Очень много качественных бесплатных файлов.
Отзыв о системе "Студизба"
Отличная платформа для распространения работ, востребованных студентами. Хорошо налаженная и качественная работа сайта, огромная база заданий и аудитория.
Отличный помощник
Отличный сайт с кучей полезных файлов, позволяющий найти много методичек / учебников / отзывов о вузах и преподователях.
Отлично помогает студентам в любой момент для решения трудных и незамедлительных задач
Хотелось бы больше конкретной информации о преподавателях. А так в принципе хороший сайт, всегда им пользуюсь и ни разу не было желания прекратить. Хороший сайт для помощи студентам, удобный и приятный интерфейс. Из недостатков можно выделить только отсутствия небольшого количества файлов.
Спасибо за шикарный сайт
Великолепный сайт на котором студент за не большие деньги может найти помощь с дз, проектами курсовыми, лабораторными, а также узнать отзывы на преподавателей и бесплатно скачать пособия.
Популярные преподаватели
Добавляйте материалы
и зарабатывайте!
Продажи идут автоматически
7045
Авторов
на СтудИзбе
259
Средний доход
с одного платного файла
Обучение Подробнее